Главная Юзердоски Каталог Трекер NSFW Настройки

Наука

Ответить в тред Ответить в тред
Check this out!
<<
Назад | Вниз | Каталог | Обновить | Автообновление | 255 99 57
ознакомление с наукой еблан 25/04/25 Птн 21:17:27 600499 1
scale1200.png 82Кб, 902x470
902x470
недавно начал углубляться в науку. астрономию, квантовую физику, и подобные разделы. зачастую захожу на двач в поисках новых знаний, т.к не знаю, в какую сторону развиваться, и в каких областях. если не сложно, поясните за мегабазу, с которой нужно начинать ознакамливаться, какие книги читать, и что считается базой
Аноним 25/04/25 Птн 23:00:37 600504 2
Аноним 25/04/25 Птн 23:38:52 600505 3
>>600499 (OP)
Трофимова Т. И. Курс физики: учеб. пособие для вузов / Таисия Ивановна Трофимова. — 11-е изд., стер. — М.: Издательский центр «Академия», 2006. — 560 с. ISBN 5-7695-2629-7

Орир Дж. Физика: учебник / Джей Орир; пер. с англ. и научная редактура Ю. Г. Рудого и А. В. Беркова. — М. : КДУ, 2010. — 752 с. : табл., ил. ISBN 978-5-98227-366-6
27/04/25 Вск 13:56:40 600542 4
Физики не существует.
/thread
Аноним 28/04/25 Пнд 20:05:01 600566 5
>>600505
Блядь как можно было поставить в один ряд Ирина и Трофимову?
Аноним 28/04/25 Пнд 20:06:27 600567 6
>>600566
Сука уебищный т9
Орира
фикс
Аноним 29/04/25 Втр 18:29:08 600595 7
142191904356798[...].jpg 59Кб, 604x433
604x433
>>600567
Трофимова это лучшее на русском, Орир это лучше на английском. Всё просто. Я понимаю, что сейчас залетит какой-нибудь Ландау-шизик и начнёт истерить, что нет, лучшее на русском это Теоретическая физика в 10 томах. Гхм, но позвольте, кто из просто интересующихся и задающих подобный вопрос сможет осилить 10 томов Ландау-Лившица, даже если опустить теоретический и математический порог вхождения? У кого есть просто столько времени 10 томов читать? Поэтому да, Трофимова и только она.
Аноним 06/05/25 Втр 12:03:52 600813 8
174652167799789[...].jpg 6Кб, 204x247
204x247
174652170420264[...].jpg 43Кб, 280x400
280x400
>>600595
>Орир это лучше на английском.
Согласен с тобой, но прям лучшее лучшее - это ты загнул, у каждого курса есть свои достоинства и недостатки, джанколи ещё хорош, там есть акустика которой нет у Орира. Ещё хороши Фейнмановские лекции и берклеевский курс, лучше читать несколько учебников, но в условиях отсутствия выбора если не ее хочешь читать в электроне и ограниченности времени да и просто как базу лучше взять двухтомник Орира издательства мир, старый, он просто шикарен.
>Трофимова это лучшее на русском
1) Орир есть на русском, так что уже нет.
2) Трофимова это проходняк для втузов, нахуй это говно вообще.
3) 8 томник МГУ по общей физике, шпольский атомная физика так вообще лучшее, что есть на русском по атомке как общей физике
Там электричество, оптика Ландсберга вообще винчики
Аноним 06/05/25 Втр 12:13:56 600814 9
174652281191118[...].jpg 167Кб, 1190x1683
1190x1683
>>600813
>8 томник МГУ по общей физике
Так вангую что ты скажешь, что: "много букв"
1) мы говорим о том что человеку интересно изучать, то в этом случае "много буков" наверно не канает, нужно подробно и доступно, там как раз материал доступен и легко читается, плюс механика и электричество дублируются, поэтому из 4-х можно выбрать 2 какие больше нравятся. Уже не 8 будет.
2) есть же Савельев 3х томник как "минимум на 3" для общефиза на физфаках, какая трафимова нахуй
3) лекции ТулГУ ещё меньше букв и содержательнее
Аноним 06/05/25 Втр 12:40:32 600815 10
Screenshot20250[...].jpg 128Кб, 800x1080
800x1080
Screenshot20250[...].jpg 159Кб, 800x1079
800x1079
Screenshot20250[...].jpg 165Кб, 800x1070
800x1070
>>600595
>Трофимова это лучшее на русском
Просто сравни параграф про атом водорода у трофимовой и у шпольского. Где Трофимова просто пишет тебе функцию для s1
Даже не поясняя как она берется и нормальный вывод у шпольского для общего случая тупой ты дегенерат, блядь
Каким надо быть пидарасом чтобы советовать человеку трофимову , он просто потратит время и получит ноль понимания
Аноним 06/05/25 Втр 16:10:19 600818 11
>>600815
Для решения атома водорода надо знать сферические функции, а еще диффуры. Это уже хардкорное чтиво.
Аноним 06/05/25 Втр 16:28:42 600819 12
174653803830843[...].jpg 43Кб, 316x441
316x441
>>600818
>Для решения атома водорода надо знать сферические функции, а еще диффуры.
- Эсгольц. дифуры
- Никифоров. спецфункции уравнений математической физики
В помощь
Аноним 07/05/25 Срд 00:52:44 600822 13
unnamed.jpg 52Кб, 900x900
900x900
>>600813
>>600814
>>600815
О да, моё предсказание о Ландау-шизиках с их талмудами сбылось с точностью. Ошибся только в том, что их оказалось несколько) Это мне напоминает ситуаю в операционных системах: когда какой-нибудь ньюфаг приходит и пишет "хочу перейти на Линукс, посоветуйте дистрибутив для новичка". Обязательно найдется шиз, который придёт и вместо Убунту или Федоры начнёт полоскать мозги свои Арчем, мануалами на тысячи страниц, арчвики и ещё скажет, что всё обязательно через командную строку надо делать вручную, потому что это правильно. Вот это тоже самое.
Аноним 07/05/25 Срд 01:46:21 600823 14
>>600822
>О да, моё предсказание о Ландау-шизиках
Да вы, батенька, долбаеб. Какие нахуй Ландау-шизики, там чел пишет обычный физфаковский курс общей физики , а не теоретической.
Или для тебя любые вкладки сложнее Трофимовой уже теоретическая физика?
Все просто Трофимова - говно
Что ты так порвался, это мамка твоя что-ли?
Альзо
Там >>600813 же написано:
>как базу лучше взять двухтомник Орира издательства мир
Что по сути согласуется с твоим мнением, и у орира кстати нормально рассматривается атом фодорода почти как у шпольского, во всяком случие в условиях ограниченного времени решение накидывается в общих чертах с пояснением логики как его ищат и приводятся табличка с функциями для s p состояний, а не как у твоей мамки в её высере
Аноним 08/05/25 Чтв 01:49:46 600850 15
>>600499 (OP)
>поясните за мегабазу, с которой нужно начинать ознакамливаться, какие книги читать, и что считается базой
>>600505
>Трофимова Т. И.
/Thread
Ладно сжалюсь над тобой
Составлю тебе список, и подробный гайд
Аноним 08/05/25 Чтв 02:34:20 600851 16
>>600850
В первую очередь надо понимать, что математика это язык науки/природы, поэтому без владения математикой ты далеко не уедешь, физика изучает природу составляя математические модели => "законы" пример тебе: закон кулона F = q1q2/r^2 из которого по сути получается весь электромагнетизм, ну может ещё формулу био-савара-лапласа добавить разве что. Чтобы работать с матмоделями тебе надо владеть базовой математикой.
Буду исходить из того, что ты знаешь элементарную математику типа квадратных уравнений, тригонометрии, линейных уравнений, геометрии.
Стартовое чтиво:
Зельдович, Яглом, Высшая математика для начинающих физиков и техников. Это вин, читал его в 10 классе, не имел потом проблем в универе с матаном и дифурами. Читается легко, есть задачки для закрепления. Есть ебейшая часть приложения всего этого аппарата к физическим задачам.
Затем
Мышкис, лекции по высшей математике, 2007 года именно издание качай. Он читал эти лекции студентам физикам. Что это значит? То что они адекватные блядь!
Следом
Никифоров специальные функции математической физики. В первой короткой главе тебе расскажут как нормально решать дифуры второго порядка типа y'' + t(x)
y'/s(x) + g(x)*y/s(x)^2 = 0
Написано так, что даже имбецыл справится, следующие главы просто вывод спецфункций, которые ты будешь искать по мере изучения физики.
Финалочка
Левин/Очан/Нессис, методы математической физики (для педагогических институтов) написано нормально и понятно для первого знакомства.

Физика
Орир, Физика. двухтомник
+ Джанколи Физика тоже двухтомник
Задачи в них годные все делай
Если хочешь углубиться читаешь
Курс общей физики, Савельев Т1, Т2
По атомке: Шпольский атомная физика, остальные курсы общей физики на русском можешь даже не смотреть, это говно

Чтобы понять чем сейчас в основном занимаются берешь учебник по физике твердого тела Киттель

Химия
Браун, Лемей, Химия в центре наук, пиздатая книга
Аноним 08/05/25 Чтв 04:14:53 600854 17
17422889774300.png 6Кб, 471x424
471x424
Аноним 10/05/25 Суб 16:57:38 600898 18
Ну чё выучили физику аноны?
Аноним 11/05/25 Вск 06:29:37 600909 19
>>600499 (OP)
Вот у Толкина в Сильмариллионе описано как бог Илуватар всё сгенерил. Он жыл в пустоте. Ни протонов, ни электронов, нихуя не было. И он от скуки стал петь песни.

Споёт симфонию - появятся эльфы.
Завоет блатняк - появятся русские.
Зачитает рэпчину - появятся нигера.
И так далее.

Дак вот идея Толкина в том, што колебая пустоту (ноль), рождались единицы. И квантовая физика про это - колебания пустоты порождают материю.

Дак вот я так и не знаю кто у каво спиздил идею из нуля в единицу колебаниями: физики и ТОлкина или ТОлкин и физиков?

Если Толкин спёр - ну и хуй с ним. Писатель фантаст подводит научнуя базу под свои вымыслы.

А вот если физики спёрли у Толкина - то это наводит на мысль, што вся эта квантовая поебень - выдумка не имеющая никакова отношения к реальности, и всю эту КФ надо официально объявить лженаукой, каковой она по сути сёдня и является: ни экспериментов, ни вещественных доказательств - ничаво нету кроме пиздежа, вырвиглазной графики и прочих картинок.

Хотя, на безрыбье и рак рыба. Когда нету ничаво доказуемого и опытно поставленного в физике на эту тему, вот и приходится хавать выдумки и домыслы всяких научпоперов.
Аноним 11/05/25 Вск 08:54:58 600910 20
174694284364990[...].jpg 44Кб, 354x354
354x354
>>600909
>ни экспериментов, ни вещественных доказательств
Ты совсем ебобо?
>Гипотеза де Бройля, сформулированная в 1924 году, предсказала, что частицы, также как и фотоны, должны иметь волновой характер. Формула де Бройля была подтверждена тремя годами позднее для электронов (которые имеют массу покоя) с наблюдением электронной дифракции в двух независимых экспериментах Томсона и Джозефа Дэвиссона, за которые они впоследствии получили Нобелевскую премию по физике.
На пике:
>Типичная дифракционная картина электронов, полученная в просвечивающем электронном микроскопе от параллельного электронного пучка
Аноним 14/05/25 Срд 01:49:56 600944 21
>>600909
У тебя притягивание уровня
> большой взрыв описан в Коране
Аноним 24/05/25 Суб 10:59:53 601180 22
>>600851
спасибо за то что расписал брат. я все книги счас закачаю, оч помог реально. респект тебе
Аноним 31/05/25 Суб 00:10:30 601380 23
>>601180
Дополнение:
Идеальной книги нет, поэтому если идет туго или что-то не ясно, можно ещё поискать. Ну и у всех индивидуально.
Например на мой взгляд:
Про СТО лучше почитать в Берклеевский курс. Том 1. Механика.
Там очень хорошо расписано и есть много примеров про столкновения частиц. Очень хорошо разобран абсолютно неупругий удар, так же можно обращаться лекциями Герштейна Теория Поля там тоже очень хорошо рассказано про то как работать с 4х векторами.
А вот у Фейнмана сто хуево расписана.
Зато в Фейнмана очень хорошо написано как получилось решение уравнение Пуассона. оч. рекомендую.
У шпольского или Зоммерфельд атомная физика хорошо расписан гармонический осциллятор и атом водорода.

Поэтому выбираешь одну основную книгу чтобы не разбрасываться. Тут Савельев лучший вариант ТК соотношение объем/подробность наиболее оптимальные. И если что надо подробнее ищешь другую литературу, но при условии что не понял/не хватило у савельева
Аноним 31/05/25 Суб 17:54:42 601395 24
>>600851
>Буду исходить из того что ты знаешь

А я не знаю. Я забыл весь курс математики начиная с 5 класса, физику я не знал никогда в жизни, а химии у меня просто не было. Сейчас вот захотел это всё исправить и познать, мне вообще со школьных учебников лучше начать?
Аноним 31/05/25 Суб 19:19:34 601403 25
>>601395
Ну совсем все ты не мог забыть
Ну предположим у тебя совсем остаточные знания типа помню что что-то там Ньютон, а что забыл. Ну бери трёхтомник Ландсберга, он толстый но формул по минимуму, больше объяснений сути явлений, как раз что тебе надо.
Из матана: Киселев планиметрия/стереометрия
Алгебру, арифметику ну качай любой учебник советский до 1970 года. Или возьми сканави элементарная математика если есть в себе уверенность.
Аноним 01/06/25 Вск 09:41:19 601419 26
>>601395
Какая твоя конечная цель?
Просто так учить ни физику, ни химию (химия вытекает из раздела атомной/квантовой физики), ни биологию не имеет смысла. Потратишь большое количество времени с минимальным практическим результатом.
Просто любопытство? Тогда тебе с вероятностью 99% будет достаточно научно-популярной литературы, подкастов и научно-популярных видео на ютубе и статей в англоязычной википедии (в русскоязычной качество статей хуже и читаются они гораздо сложнее, при этом содержа в себе меньше полезной информации) по интересующей теме. Так ты в сжатые сроки получишь поверхностное, но достаточное для простого обывателя, представление о правилах работы этого мира и пищу для размышлений о том, стоит ли углубляться дальше и в изучение чего конкретно и мотивацию для изучения.
Если после предыдущего пункта сформировалась мотивация изучать правила работа этого мира глубже и детальнее или тебе необходимо это по профессии (но если профессия не связана с научно-исследовательской деятельностью по соответствующей дисциплине, то тут уже нужно переходить к изучению общих курсов физики, химии и/или биологии. Что касается как минимум физики, то, как тебе и написали выше в треде, формально физики занимаются построением математических моделей наблюдаемых в процессе экспериментов явлений реального мира. И именно эти математические модели ты и будешь изучать в общем курсе физики. И тут без математики никуда. Соответственно перед изучением физики нужно изучить как минимум 3 раздела математики: линейную алгебру (Кострикин), матанализ (Зорич) и диффуры (Понтрягин). После этого, собственно читаешь любой курс общей физики (например, Матвеева или те, что тебе посоветовали выше, можешь даже читать разные тома у разных авторов). Нужно понимать, что общие курсы физики довольно скучны по своему изложению и методичны, концентрируясь на изучении мат. моделей явлений, поэтому зачастую после прочтения любого общего курса физики советуют прочитать Фейнмановские лекции, так как они позволяют хорошо структурировать знания полученные в общем курсе физике и ещё глубже вникнуть именно в физическую суть явлений. Химию лучше читать после физики (Фримантл). А уже потом общий курс биологии (Тейлор, Грин, Стаут).
Если же ты собрался заниматься научной деятельностью по дисциплине в профессиональном плане, то тут уже нужно изучать узкоспециализированную профессиональную литературу по конкретному направлению исследования (для теорфизики это Ландау-Лифшиц) и читать arxiv.org, чтобы быть в курсе самых передовых исследований (для теорфизиков сейчас самые передовые исследования связаны с квантованием гравитации (уже построено большое количество мат. моделей, которые потенциально являются верными, но проблема в том, что для выбора одной из них необходимы экспериментальные данные, для получения которых у нас на данном этапе развития нет необходимых технологий); у прикладных физиков самые актуальные направления исследований на данный момент - сверхпроводники, квантовые компьютеры и термоядерный синтез).
Но тут нужно чётко понимать, что если тебе ничего из вышеперечисленного не необходимо по работе, то на практике, в том числе в быту, ты полученные знания никак не применишь и с вероятностью 99,9% никак не сможешь их монетизировать.
Если хочешь зарабатывать деньги и применять знания в быту, что напрямую положительно скажется на твоём уровне жизни, то затрата времени на освоение связки из computer science/IT и экономики (микро, макро и оценка активов) - намного более выгодное и перспективное вложение ограниченных сил и времени. Собственно большое количество физиков, химиков и биологов, получивших ученую степень кандидата/PhD - осваивают эту связку и уходят работать в индустрию/бизнес.
Аноним 01/06/25 Вск 12:07:42 601422 27
98393.jpg 17Кб, 316x480
316x480
image.png 655Кб, 525x799
525x799
image.png 532Кб, 1920x1080
1920x1080
>>601419
>Кострикин, Зорич, Понтрягин
ты ебу дал? это книги для Матфака/хорошего физфака
и даже на физфаке их читать больно, а ты советуешь их "я просто интересуюсь"-анону
Стренг. достаточно для первого знакомства с алгеброй.
и книги из списка >>600851 которых за глаза хватит чтобы понимать общефиз и классическую теорфизику
и напоминаю ты посоветовал Кострикина/Зорича чуваку который написал:
>А я не знаю. Я забыл весь курс математики начиная с 5 класса
тут для старта вообще нужен
там вообще надо Шевченко/Барсукова читать для начала
>для теорфизики это Ландау-Лифшиц
ну тут просто толстый троллинг, есть более адекватные книги
хотя бы Мессиа Квантовая механика
Аноним 05/06/25 Чтв 02:09:27 601559 28
>>600499 (OP)
Ну вы черти понаваляли.
Я лично считаю если человек хочет разобраться в некотором вопрос и у него возникает мысль - "а какую бы мне книгу почитать по данному вопросу?" - то он почти наверняка обосрется в своих начинаниях. Ну может быть один из сотни реально на столько упорен что может как Мочизука сесть читать какой то там трактат Гротендика и не вставать пока не прочтет его целиком - такой да смогет.
Путь остальных это лекции и просто видосики разной степени научпопности или глубины.
21 век на дворе - есть видосы по любым темам, а чудики все еще насаются со своими шкафами с графоманской макулатурой.

Физику можно начинать осиливать с Павла Виктора - буквально уроки для школьников или Уолтера Левина для вчерашних уже не школьников (если его не заканселили совсем)
Аноним 05/06/25 Чтв 15:26:50 601581 29
>>601559
Ага. Я ещё лучше познавательные шортики в ТикТоке))
Аноним 05/06/25 Чтв 19:45:36 601586 30
>>601581
Вообще было бы неплохо. Для этого нужно чтобы старые пердуны научились разбивать свой словесный понос на осмысленные порции по несколько минут. Но пока что в восточной европе мало кто еще даже освоил сакральное мастерство давать лекциям названия.
Аноним 05/06/25 Чтв 19:56:51 601587 31
>>601559
>Физику можно начинать осиливать с Павла Виктора - буквально уроки для школьников или Уолтера Левина для вчерашних уже не школьников (если его не заканселили совсем)
В целом двачую.
Ещё Чирцов неплох
Но книги все равно надо читать
>>601581
>в ТикТоке
А чё сразу распечатай себе уравнения максвела, лагранжа, Гамильтона, Шредингера
И в целом вся физика. Чё ты тикток смотреть будешь, это ж долго
Аноним 05/06/25 Чтв 22:48:57 601593 32
>>601587
>Чирцов
Хуита бессвязная. Как будто два подпиваса на кухне собрались перетереть за всю хуйню. Может зайдет тем кто может пересмотреть пересказ целого Во все тяжкие от Гоблоча с его подсосом.
Аноним 06/06/25 Птн 00:32:35 601600 33
>>601593
Он затянут но слушать можно.
Есть ещё лекции Овчинкина по общефизу мфти и лекции Крылова по эм и оптике. Тоже годно.
Но для себя понял, что быстрее прочитать учебник, чем это слушать.
Аноним 06/06/25 Птн 02:05:06 601605 34
>>601600
>быстрее прочитать учебник
Один знакомый любил так говорить, кек.
На деле это пиздеж и не работает. Ну или в очень ограниченых ситуациях работает. Например, когда учебник писал тот же человек который читает лекцию и ты берешь только темы что были на лекциях. И у тебя еще есть внешний стимул не растягивать это все. Т.е. во время обучения в вузике.
Главная прелесть видео формата для меня лично - если я вижу десять лекций по часу каждая то я точно знаю что их просмотр у меня замет ровно десять часов чистого времени. (А точнее пять ведь я буду смотреть на двойной скорости скорее всего). Я могу составить график какой захочу, допустим смотреть по три лекции в неделю и тогда прохождение курса займет месяц.
С другой стороны сколько времени у меня займет чтобы осилить талмуд на 600-700-800 страниц? Это буквально одному только Богу известно. Могу только совершенно точно сказать что за 5 часов я даже художественную книжку не прочитаю на 800 страниц.

Вот забавный момент когда чел говорит что на проработку одной книги у него ушло джва года
https://youtu.be/7PoajCqNKpg?t=141
В аудитории раздается смешок. Это смешно потому что это правда. Если ты разбираешься в чем то непростом и тебя никто не подгоняет это может занимать ебейшее количество времени. Буквально годы.
Аноним 06/06/25 Птн 02:23:47 601606 35
>>601419
>и статей в англоязычной википедии (в русскоязычной качество статей хуже и читаются они гораздо сложнее, при этом содержа в себе меньше полезной информации)
Англофил в тренде треде? Уже смешно. Англоязычная викия ширше, это да (на то есть разные причины). Но не обязательно во всём лучше. Ах да, ты забыл сказать, что надо учить англяз. Как-то нехорошо получилось.
Аноним 06/06/25 Птн 08:19:35 601608 36
>>601605
Фигню сморозил.
К тому же книга подробнее, для сравнение в том же Савельеве том 3 про фотоэффект и тепловое излучение написано больше чем было в лекциях МФТИ. Ничто не заменит книгу
Аноним 06/06/25 Птн 09:18:38 601609 37
IMG202506060918[...].jpg 51Кб, 736x552
736x552
>>601605
>Один знакомый любил так говорить, кек. На деле это пиздеж и не работает. Ну или в очень ограниченых ситуациях работает. Например, когда учебник писал тот же человек который читает лекцию и ты берешь только темы что были на лекциях. И у тебя еще есть внешний стимул не растягивать это все. Т.е. во время обучения в вузике. Главная прелесть видео формата для меня лично - если я вижу десять лекций по часу каждая то я точно знаю что их просмотр у меня замет ровно десять часов чистого времени. (А точнее пять ведь я буду смотреть на двойной скорости скорее всего). Я могу составить график какой захочу, допустим смотреть по три лекции в неделю и тогда прохождение курса займет месяц.
Такой подход работает только в том случае, если изучаешь что-то поверхностное. Для более глубоких тем лекций практически никогда нет, потому что условной темой может заниматься человек 10 в стране и человек 50 во всем мире.

>С другой стороны сколько времени у меня займет чтобы осилить талмуд на 600-700-800 страниц? Это буквально одному только Богу известно. Могу только совершенно точно сказать что за 5 часов я даже художественную книжку не прочитаю на 800 страниц.
Не надо гнаться за временем. Оно все равно пройдёт. Важно получать удовольствие от процесса чтения. Также важен результат получения прибавочных знаний, а не скорость их получения. Торопиться никуда не надо. Нужно обустроить себе отдельную удобную комнату под кабинет, выбрать комфортное кресло и удобный стол. Купить себе книжный шкаф, библиотечную лестницу, электронную книгу на e-ink для изданий, которые уже не найти в печати. Это не про скорость, это про вайб. Если это не твой вайб, то и наука по-хорошему не твоё.

>Вот забавный момент когда чел говорит что на проработку одной книги у него ушло джва года. В аудитории раздается смешок. Это смешно потому что это правда. Если ты разбираешься в чем то непростом и тебя никто не подгоняет это может занимать ебейшее количество времени. Буквально годы.
А ещё 2+2=4, а Волга впадает в Каспийское море. Спасибо, что поделился великой мудростью.
Аноним 06/06/25 Птн 09:40:02 601610 38
>>601609
>Не надо гнаться за временем. Оно все равно пройдёт. Важно получать удовольствие от процесса чтения. Также важен результат получения прибавочных знаний, а не скорость их получения. Торопиться никуда не надо.
ЛЮТАЯ БАЗА
Аноним 06/06/25 Птн 10:02:04 601612 39
>>601608
>Ничто не заменит книгу
Дополняю:
Но записи с демонстрациями это топ
Аноним 06/06/25 Птн 10:32:16 601615 40
>>600499 (OP)
Забавно что тред про науку, а советы по физике и математике
А где же химия, биология, геология та же астрономия?
Аноним 06/06/25 Птн 14:17:49 601620 41
174920851097033[...].jpg 89Кб, 1080x810
1080x810
174920857203383[...].jpg 31Кб, 389x480
389x480
174920860252756[...].jpg 391Кб, 726x1000
726x1000
174920865035217[...].jpg 309Кб, 845x1000
845x1000
Аноним 06/06/25 Птн 14:19:05 601621 42
174920871223776[...].jpg 5Кб, 194x259
194x259
174920872886728[...].jpg 29Кб, 200x314
200x314
Аноним 06/06/25 Птн 14:44:09 601622 43
>>601620
>Курант-Роббинс
Вроде как то тут уже анон жаловался что сложновато. Или это в отзывах на амазоне было. В любом случае, я считаю нужна неслабая подготовка чтобы такое читать и с таким "научпопом" можно себе сраку неслабо разворотить.
Тоже к Пенроузу относится. Помню забавный отзыв на эту книгу как чел с Phd не смог из его описаний понять что же такое твистор.
Аноним 06/06/25 Птн 14:58:10 601623 44
>>601622
Ну тогда есть ещё Шень алгебра неплохо
И вот тоже хороший список >>600851 Зельдович и Мышкис вполне доступные если помнишь школу. Ели не помнишь то Шень в помощь.
Аноним 06/06/25 Птн 15:04:56 601624 45
>>601606
> 21 век
> не уметь в инглиш
Ебать ты дядя из какой вообще дыры выполз?

Другое дело сам рецепт
>>601419
>научно-популярной литературы, подкастов и научно-популярных видео на ютубе и статей в англоязычной википедии
Это какие то голубцы с говном.
Аноним 06/06/25 Птн 15:11:18 601625 46
>>600499 (OP)
Самое главное если вдруг сюда заглянет какой то стремящийся анон:

не думай что макулатура которую тут накидали и всегда кидают в подобных тредах это что то полезное и из нее можно чему то реально научиться.

Тут просто отбитые долбоебы кидают названия всякого хлама который у них годами пылится на полках и который они скорее всего даже ни разу не открывали.
Аноним 06/06/25 Птн 15:20:09 601626 47
>>601625
Критикуешь - предлагай.
Какие конкретно твои претензии?
Хочешь сказать классическая механика или другой разработанный отдел отличается от книги к книге?
Что в новой версии учебника другие законы? Похоже именно ты совершенно не разберёшься в предмете и ничего не читал.
Так же твои претензии к статью не обоснованны уже сотню раз обсасывали эту тему где только можно. Современные школьные учебники написаны так, что по ним невозможно самостоятельно заниматься поэтому тут и кидают >>601422 всяких барсуковых. Возьми определение производной от туда, а потом возьми современный учебник где эта же херня обсасывается на 10 страницах на которых уже автор не понимает что в начале хотел сказать.
Единственное реальное г в рекомендациях это Ландау Лифшиц, тк Лифшиц написал отвратительную хрень, это книга не для первого чтения. Трофимова тоже говно.
Аноним 06/06/25 Птн 15:23:08 601627 48
>>601626
>твои претензии к статью
Ты о чем вообще, болезненный?
Аноним 06/06/25 Птн 15:25:34 601628 49
>>601627
>Так же твои претензии кстати не обоснованны
Не заметил.
Все ты понял. Давай выкатывай свой список уже.
Аноним 06/06/25 Птн 15:29:00 601629 50
>>601628
Нет, все еще не понял. Покажи/объясни что там за обоссывания, энурезник. О чем ты вообще.
Аноним 06/06/25 Птн 15:32:29 601630 51
>>601629
https://youtu.be/fcivbyeTpqM?si=qOkIq1Sgu1VVtO25
Вот тебе обзор
Ну а конкретно по университетским курсам, давай ввести мне курс к примеру общей физики написанный с 15-25 год. Где???
Аноним 06/06/25 Птн 15:34:38 601631 52
>>601630
>ввести
принеси
фикс
Аноним 06/06/25 Птн 15:59:33 601632 53
Screenshot20250[...].jpg 115Кб, 800x1071
800x1071
>>601625
Кстати анончик вижу ты умный, не очень понимаю этот момент в УШ для атома водорода. Откуда они решили, что раскладывать надо именно так? Можно поподробнее и строго математически вывести это разложение? Без всяких этих пантовых легко видеть что функцию надо представить в виде бля бла бла.
Аноним 06/06/25 Птн 16:21:37 601633 54
>>601625
Н-да как же быстро ты слился
Аноним 06/06/25 Птн 16:32:39 601634 55
>>601630
А, я понял. Вообще то я не писал о сравнении старого и нового (хотя чем новее учебник тем лучше как правило, кек, но это отдельная тема для дискуссии и жопных подрывов).
Очевидно что тебя стриггернули слова
>макулатура
>хлама
>пылится
люди-нейросети уже среди нас, пушка. Но посыл моего сообщения был совсем в другом.
Можно купить учебник 2025 года и 1825 года и одинаково их ни разу не открывать и поставить на полочку. Попробуй перечитать мое сообщение еще раз с этими обновленными данными, сеточка.
>Где???
На бороде)))

>>601632
>Кстати анончик вижу ты умный
Ну стремлюсь
>строго математически вывести
Чтобы строго доказать что 1+1 нужно 500 страниц формул. Оно тебе надо? Подумай над этим.
Просто взяли и угадали - скорее всего тебе дадут такой ответ как правило. Вообще там вроде дифференциалы по двум сторонам раскидываются из этого следует такое разложение.
Если ты так намекаешь что я в чем то не прав, то флаг тебе в руки иди почитай какую нибудь книжечку по диффурам на 800 страниц, там наверняка это будет. Только не забудь для начала два тома Зорича осилить как тут один шизик посоветовал. Удачи.

>>601633
Привет
Аноним 06/06/25 Птн 16:36:45 601635 56
>>601634
>Просто взяли и угадали - скорее всего тебе дадут такой ответ как правило
Хуйня а не ответ
>Вообще там вроде дифференциалы по двум сторонам раскидываются из этого следует такое разложение.
Нет, вообще нет ты не понял сути нихера. Там уже все разнесли давно.
Ладно скину тебе для общего развития
Аноним 06/06/25 Птн 16:45:26 601636 57
IMG202506061638[...].jpg 3429Кб, 3120x4160
3120x4160
IMG202506061638[...].jpg 3256Кб, 3120x4160
3120x4160
IMG202506061639[...].jpg 3406Кб, 3120x4160
3120x4160
IMG202506061637[...].jpg 3762Кб, 3120x4160
3120x4160
>>601635
Необходимая математическая теория на "800 страниц" дубль раз
Аноним 06/06/25 Птн 16:47:17 601637 58
IMG202506061640[...].jpg 3466Кб, 3120x4160
3120x4160
IMG202506061640[...].jpg 3405Кб, 3120x4160
3120x4160
IMG202506061641[...].jpg 3436Кб, 3120x4160
3120x4160
Дубль два.
И где там 800 страниц?
Аноним 06/06/25 Птн 16:50:07 601639 59
>>601637
Ну я и не вчитывался особо - у тебя там даже само уравнение попапом прикрыто, долбоебина ты рукожопая.

Не знаю стоит ли время на твои коляки-маляки тратить, я глаза свои не на помойке нашел.

Так в чем собственно твой поинт состоит можешь дописать? Или анальные зудения не позволяют, разоблачитель ты мамкин.
Аноним 06/06/25 Птн 16:55:22 601640 60
IMG202506061650[...].jpg 3061Кб, 3120x4160
3120x4160
IMG202506061650[...].jpg 2799Кб, 3120x4160
3120x4160
IMG202506061649[...].jpg 3164Кб, 3120x4160
3120x4160
IMG202506061649[...].jpg 2909Кб, 3120x4160
3120x4160
>>601637
А теперь практика.
Вот и вся твоя теория на "800 страниц"
>>601639
Ясно неосилятор)
Аноним 06/06/25 Птн 16:57:51 601641 61
>>601640
>Так в чем собственно твой поинт состоит можешь дописать? Или анальные зудения не позволяют, разоблачитель ты мамкин.
Аноним 06/06/25 Птн 17:01:20 601642 62
>>601641
Просто пояснил тебе как люди догадываются откуда берётся разложение)
Можешь дальше читать всякий кал типо трофимовой)
>>600851 тут давно уже база расписана, которую ты в макулатуру записал)
Аноним 06/06/25 Птн 17:21:27 601644 63
>>601634
>Только не забудь для начала два тома Зорича
Интересно, не мог бы ты пояснить какое отношение Зорич матанализ имеет отношение к уравнениям математической физики? Очень интересно. И кстати вполне достаточно почитать Мышкиса и вкатиться в ММФ.
Не разбираешься - не пиши.
Аноним 06/06/25 Птн 17:35:18 601645 64
>>601642
>кал типо трофимовой
Ты шизик и тебе таблетки принимать надо. Я литерали без понятия кто это такая.
Даю тебе еще одну попытку:
>Так в чем собственно твой поинт состоит можешь дописать? Или анальные зудения не позволяют, разоблачитель ты мамкин.
>тут давно уже база расписана, которую ты в макулатуру записал
Ответь это твой собственный пост? Сам себя не похвалишь... кек.

>>601644
>какое отношение
>матанализ имеет отношение к уравнениям математической физики
Ты ебобо или ебобо? Ну не знаю там... производная например в уравнениях и это понятие из матанализа. Нет, ты точно ебобо с такими то вопросами.
Так то это ирония была если что. Но такому ебобо выкупить ее смысл лучше даже не пытаться. Если ты просто мимо пробегал и не разобрался - на тему того что анон в треде предлагает почитать Зорича прежде чем браться за курс общей физики.
Аноним 06/06/25 Птн 17:42:47 601646 65
Вопросы к анонам говорящим: "многа букфф"
1) а с чего вы решили что вам нужно интересоваться наукой тогда? Может и не надо, а?
2) ну и как бы вы потратили сэкономленное на чтение время?
3) если там многа букв может это не просто так? Очевидно же, что если можно было написать покороче, написали бы покороче, не?
Приведу аналогию понятнее для "англичан" вы же не учите английский по Петрову за 16 часов, вы ж наверняка читаете блядь дохуя адаптированной литературы, оригинальной литературы, видосы смотрите. Так с хуля ли вы хотите физику или математику "за 16 часов"? Ее вообще то люди в универе учат за 4 года. Читая "талмуды" плюс к этому идут лабы, семинары с разборами задач.
Поэтому подумайте нахуй оно вам? Вот этот чел >>601419 правильно написал.99% знаний вы не примените в обычной жизни.
Просто науч поп почитайте. А если все же хотите нормально что-то понять, ну тут сорри как бы надо много читать и решать задачи. Сами думайте.
Аноним 06/06/25 Птн 17:52:39 601647 66
>>601645
>Если ты просто мимо пробегал и не разобрался - на тему того что анон в треде предлагает почитать Зорича прежде чем браться за курс общей физики.
А ну сорян тогда.
Я против зорича вообще это матфаковские толмуды. Так нельзя прикладникам преподавать.
>производная например в уравнениях и это понятие из матанализа.
Я же написал тебе Мышкиса курс высшей математики, там тебе и производные и интегралы и линал и ангем и тервер и дифуры.там нормально высшая математика расписана, чел как раз читал математику физикам и прикладникам и объем у нее поменьше зорича. Я ему же писал >>601422
Мышкиса вполне посильно читать параллельно с общефизом.
Думаю спорить ты не будешь, что без математики там бесполезно что-то учить
Аноним 06/06/25 Птн 18:06:07 601648 67
Альзо рекомендации зорича это толстый троллинг, тупорылый форс мфтишников, нам на физфаке рекомендовали фихтенгольца читать, он хоть и жирный но написан чрезвычайно прозрачно и читается почти как роман, хотя я его не читал особо, мне хватило прочитанных в школе Зельдовича и Мышкиса + лекций, хотя нового я там ничего не услышал, забавно что преподы спрашивали учился ли я где то до этого, так что думаю реклама литературы хорошая. Тем более что они в интернете бесплатно валяются. И книги мемные тк у некоторых математиков от них был лютый батхерт, как же так почему не строго излагаете.
Тот же Тихонов самарский по ММФ лютое говно, которое нельзя понимать без теории спецфункций которое не читают кстати на физфаке. Решается книжкой Никифорова теория спецфункций. Где тебе в двух параграфах излагается база >>601636.которая закрывает все вопросы которые у тебя могут возникнуть при изучении теорфиза и ММФ, причем изложена максимально понятно.
Аноним 06/06/25 Птн 19:31:12 601652 68
>>601636
Первоисточник этих каракуль какой?
Аноним 06/06/25 Птн 19:34:12 601653 69
174922760661276[...].jpg 3Кб, 180x280
180x280
>>601652
Вообще то там максимально разборчиво все написано, говно тупое ты этакое
Аноним 06/06/25 Птн 19:51:00 601654 70
>>601646
>Вопросы к анонам говорящим: "многа букфф"
ХЗ я вроде один тут такой

>1) а с чего вы решили что вам нужно интересоваться наукой тогда? Может и не надо, а?
>2) ну и как бы вы потратили сэкономленное на чтение время?
>3) если там многа букв может это не просто так? Очевидно же, что если можно было написать покороче, написали бы покороче, не?
Ебать ты у мамки демагог. Смысл вообще отвечать на такой нелепый понос?
> если можно было написать покороче, написали бы покороче, не?
eyeroll

>Приведу аналогию понятнее для "англичан"
Хочу изучить английский - посоветуйте книгу. А не... плохая аналогия, кек.

>Ее вообще то люди в универе учат за 4 года. Читая "талмуды" плюс к этому идут лабы, семинары с разборами задач.
Нет, на самом деле все наоборот. Сначала все что ты перечислил после "плюс", а уже после чтение талмудов опционально. Но только того что надо, избирательно.

>подумайте нахуй оно вам?
>Просто науч поп почитайте.
А давай ты лучше нахуй пропутешествуешь со своими советами охуительно ценными, чмо?
Аноним 06/06/25 Птн 19:54:58 601655 71
>>601653
Ты конспектировал книгу? Целиком?
>Вообще то там максимально разборчиво все написано, говно тупое ты этакое
Только таблеточки выпей чтобы руки не тряслись когда фотографируешь. Или штатив купи. И как фокус настроить разберись и освещение нормальное.
А почерк у тебя как у говна.
Аноним 06/06/25 Птн 19:57:07 601656 72
>>601608
>Фигню сморозил.
Весомо. Хоть в граните отливай.
>в том же Савельеве том 3 про фотоэффект и тепловое излучение написано больше чем было в лекциях МФТИ
ну охуеть теперь
Аноним 06/06/25 Птн 20:09:16 601659 73
>>601609
>Такой подход работает только в том случае, если изучаешь что-то поверхностное. Для более глубоких тем лекций практически никогда нет, потому что условной темой может заниматься человек 10 в стране и человек 50 во всем мире.
Чего несет лол. Ну чего блядь несет. Ты же ведь реально не представляешь чего несешь? Откуда книга то высрется в таком случае по-твоему?
Отмечу еще что ОП говорил про базу базовую, но кому то ведь так нужно высраться со своими охуительными историями.

>Не надо гнаться за временем.
ОК. Давай возьмем Голдстейна и будем неспеша решать в нем каждую задачу. Вот лет за десять думаю можно так освоить классическую механику. (На самом деле НЕТ, лень даже расписывать почему). Тогда годам к 90 доползешь до разных интересных тем вроде ОТО и КТП. Только лучше не в Раше жить, а то сами понимаете можно и не дожить...

>>601609
>Нужно обустроить себе отдельную удобную комнату под кабинет, выбрать комфортное кресло и удобный стол. Купить себе книжный шкаф, библиотечную лестницу, электронную книгу на e-ink для изданий, которые уже не найти в печати.
ТПха

>А ещё 2+2=4, а Волга впадает в Каспийское море. Спасибо, что поделился великой мудростью.
Но ты то все равно ничего не понял, хоть я и старался.
Аноним 06/06/25 Птн 20:14:32 601660 74
>>601655
>Ты конспектировал книгу? Целиком?
Блин ты б хотябы пошел скачал и посмотрел что там прежде чем задавать тупые вопросы. В этой книге самое ценное это первые два параграфа, дальше просто идёт разбор все специальных функций которые от туда можно получить. Собственно разобрал только этот маленький кусок, чтобы разобраться с решением
>>601654
>Нет, на самом деле все наоборот.
Говно тупого школьника. Как ты думаешь зачем лектор в конце спрашивает: "все ли понятно?" И всегда все молчат, потому что типа понятно. На буквально на второй же день занятий рассказывали, что студенты тоже должны в идеале готовиться к лекции, почитать блядь из книги то, что будет рассказываться, чтобы отметить себе что спросить. один хуй мы так не делали, потому что были тупыми
> а уже после чтение талмудов опционально. Но только того что надо, избирательно.
Ересь полная.
Потом получаем таких вот:
>>601634
>Просто взяли и угадали - скорее всего тебе дадут такой ответ как правило.
Интересно, ты стал бы ездить по мосту который проектировали инженеры просто угадывая конструкцию? Думаю неплохая идея. Ну или пусть тебе врач дозировку антибиотиков угадает.
У тебя только два состояния: либо тебе интересно, тогда ты читаешь и разбираешь каждый непонятный момент, или просто идёшь нафиг слушать научпоперов.
А в прочем мне пофиг что ты будешь делать. Нафиг ты нубов путаешь?
Аноним 06/06/25 Птн 20:22:37 601661 75
>>601656
>ну охуеть теперь
Да представь люди и книги ботают и задачи решают, и экзамены сдают.
И тут ты такой вываливаешься да я видео лекции посмотрел дайте мне тоже диплом.
>ОК. Давай возьмем Голдстейна и будем неспеша решать в нем каждую задачу. Вот лет за десять думаю можно так освоить классическую механику.
Ну только если ты тупой.
А прикинь ещё есть же сборник демидовича по матану там вроде около 1к этих задач было, это так только к 90 годам все сделаешь
шучу, 3 семестра
Не тот анон >>601609
Аноним 06/06/25 Птн 20:28:14 601662 76
174923072551641[...].jpg 7Кб, 282x400
282x400
174923076407940[...].jpg 17Кб, 282x400
282x400
>>601659
И да если тебя пугают толстые книги, для таких специально давно придуманы методические пособия в виде тех же лекций, только на бумаге, без мням кхм и охуительных историй от лектора, сухой минимум на 100-200 стр.
Аноним 06/06/25 Птн 20:37:58 601663 77
>>601660
>пошел скачал
Делать мне больше нехуя. Постил бы тогда эти два параграфа из книги вместо своих каракуль.
>мы так не делали, потому что были тупым
Так ты и сейчас тупой. Дебил, ты ведь реально не понимаешь что угадывание эрзаца эта стандартная практика буквально везде? А из какой сральни дастали первую (оранжевую) замену тебя не смущает? Почему для нее ты не просишь "строгого математического доказательства".
Миллионы людей по всему миру прекрасно решают уравнения Шредингера без дрочки на твоего Никифорова. Попустись, чудик.

>>601662
Ой, а как же вышло так? Неужели они не знали что единственный способ заниматься наукой-хуюкой это читать томы по 800 страниц под пледиком? Наверно тупые.
Аноним 06/06/25 Птн 20:49:51 601664 78
>>601663
>Постил бы тогда эти два параграфа из книги вместо своих каракуль.
Ты чё думаешь я их просто так выписал? Я отметил и расписал не очевидные моменты и расписал места где было "тут можно показат что" и дальше просто ответ без вывода.
>А из какой сральни дастали первую (оранжевую) замену тебя не смущает?
Сочувствую тебе. Вообще то это блядь очевидно, что в принципи можно представить неизвестную функцию в виде двух других, к тому же это ни как ее не изменит. Ты просто будешь искать другую неизвестную функцию в более простом уравнении.
> "строгого математического доказательства".
Ты понимаешь что ты хочешь доказательство типа 4 = 2*2
Не передергивай, я искал строгое обоснование получение таких замен, а не херню для шизиков с матфака.
>>601663
>Наверно тупые.
Иди предисловие их прочитай, вопросы сами собой отпадут.

Вообще не вдупляю хули ты взъелся, я в этом треде Зорич не советовал, все мои предложения содержали максимально понятные и не жирные книги.
Аноним 06/06/25 Птн 21:18:55 601665 79
>>601625
Твой подрыв начался с моего тезиза который я считаю даже не лишним продублировать т.к. он все еще актуален
>не думай что макулатура которую тут накидали и всегда кидают в подобных тредах это что то полезное и из нее можно чему то реально научиться.


Ну извини братиш если б я знал что есть такой Никифоров в которым есть целых два полезных параграфа и несколько сотен страниц спецфункций я бы не стал бы так обобщать (НЕТ).
Так полыхнула дупа аж решил подловить меня какой то нелепой хуитой. Я несколько раз пытался от тебя добиться в чем твой поинт, но так и не смог. Что ж поделать.

>можно представить неизвестную функцию в виде двух других
норм, но
>можно представить неизвестную функцию в виде экспоненты и неизвестной функции
без Никифорова не обойтись.
Ты че блядь угараешь?

>Иди предисловие их прочитай
Идти только ты можешь нахуй. Скидывай, может почитаю.
Аноним 06/06/25 Птн 21:22:16 601666 80
>>601663
>угадывание эрзаца эта стандартная практика буквально везде
А собственно с чего ты это взял? И даже допустим. А что если ты в следующий раз не угадаешь? Тебе бы не хотелось иметь стандартную теорию объясняющую как это можно угадать?
Помойму нормальное научное желание. И кстати если ты обратил внимание там попутно вывелась формула Родрига которая позволила после получения этой ебаной замены почти сразу же тупой подстановкой в эту формулу получить готовое решение, без ебли с рядами, занятие не очень очевидное и геморное.
Просто прими факт что ты обосрался.
Аноним 06/06/25 Птн 21:36:30 601667 81
>>601666
>Просто прими факт что ты обосрался.
Да, серанул тебе на лицо немножко. Можешь вытираться.
Аноним 06/06/25 Птн 21:43:29 601668 82
Screenshot20250[...].png 291Кб, 800x1280
800x1280
>>601665
>Так полыхнула дупа аж решил подловить меня какой то нелепой хуитой. Я несколько раз пытался от тебя добиться в чем твой поинт, но так и не смог. Что ж поделать.
Ебать нелепая хуита, тебе буквально важнейшая иллюстративная задача квантовой механики из которой ты получаешь все ебучие квантовые числа, плотность вероятности для электрона для этих самых состояний ака электронные облока s p d f. Из чего по сути потом строятся дальнейшие приближения и по сути вся химия и биология. И ты такой бля ну дай тут так подберём тут сяк ну там ещё решение сложно вы знайте там короче спецфункции есть ну может нароете где нибудь, ну сами ищите короче. Просто поверьте что это так. В науке же именна так поступают?
Я короче понял, что ты еблан. Мне на тебя насрать.
Но в принципе теперь любой залётный анон прочитав твой высер
>>601625
И увидев твои глубокие познания в "гадании" лишний раз подумает стоит ли слушать идиотов типа тебе или все же лишний раз открыть книгу.
>Скидывай, может почитаю.
Эта книга написана для мимокрокодилов с бесполезной учебной нагрузкой в виде БЖД педагогики русского языка физкультуры и прочего бесполезного говна которое не должно быть в вузе, они не будут заниматься физикой, но мы хотели бы чтобы они вынесли хоть что-то поэтому ужали курс как могли.
Так ну с ними ясно.
А у тебя занимающегося для себя с вагоном времени какие оправдания?
Аноним 06/06/25 Птн 21:44:32 601669 83
>>601667
Приятно что у тебя горит
Аноним 06/06/25 Птн 21:58:21 601670 84
174923620350096[...].jpg 59Кб, 1000x1352
1000x1352
Аноним 06/06/25 Птн 22:13:18 601671 85
>>601665
>Ты че блядь угараешь?
Да я угораю с тебя.
(1 - x²) y'' - 2x y' + n(n + 1) y = 0
Давай отгодай решение чё ты
Аноним 06/06/25 Птн 22:28:17 601672 86
>>601668
>важнейшая иллюстративная задача
Не спорю. И ее можно просто найти в тысячах различных источников на любой вкус.

>Эта книга написана для мимокрокодилов
Странно, но я читаю и вижу совсем другое в первом же предложении:
>для физических и инженерно-физических специальностей
Просто проходил мимо и решил так невзначай зайти на физфак. Как же ору. Надеюсь теперь любому анону будет очевидно кто тут адекват, а кто маня с искаженным восприятием реальности. Далее там идет мысль что студент внезапно может тупо не осилить те талмуды которые уже имеются в наличии за адекватное время - о чем я собственно и предостерегаю неокрепшие умы. Ну и завершается это контрольным - что даже в это т.н. "брошюрке для дурачков" (по мнению одного хуеплета) избыточное количество материала которое опять же далеко не каждый осилит за разумное время.

>>601669
Это еще что ли один калич подвывает, или все тот же?
Аноним 06/06/25 Птн 22:39:05 601673 87
>>601672
>решил так невзначай зайти на физфак
чё ты дурачком прикидываешься:
Там ниже написано:
>для студентов технических и естественнонаучных специальностей которым читается двух трёх семестровый курс физики
Ты блядь совсем дебил? Ты думаешь на физфаке читают двух трёх семестровый курс общей физики?
На читали общефиз три года. Это 6 твою мать семестров. Не говоря о том что ещё была теоретическая физика и спецы.
Естественнонаучные специальности это: биология, химия, геология и прочая херота, у нас тоже был семестровый курс хими но чёт я не химик нихуя после него.
Аноним 06/06/25 Птн 22:40:04 601674 88
>>601673
>На читали общефиз три года
>Нам
Аноним 06/06/25 Птн 22:45:21 601675 89
174923883147020[...].jpg 75Кб, 539x665
539x665
>>601672
А такую хуйню не хочешь чмоня?
Нас дрочили этим на спецах, мы писали лекции три пары подряд с перерывами между парами по пять минут.
1032 ебанных страниц, ебаной нудной хуйни.
Где твои 800 страниц нахуй? 1000 сука не хочешь.
Дай тебе ещё накину:
Микромагнетизм
Физика металлов и сплавов
Кристаллография
Введение в фксв
Дополнительные главы магнетизма с ебаным обменным взаимодействием которое как раз через кванты объясняется
Разное металловедение
Аноним 06/06/25 Птн 22:47:53 601676 90
>>601675
Я тебе ещё забыл отдельно накинуть физику магнитных материалов, это тоже отдельный курс.
Аноним 06/06/25 Птн 22:59:47 601677 91
>>601673
Извини, но если у тебя препы не могут внятно сформулировать что и для кого, то ко мне какие вопросы?

Давай ты мне просто покажешь список книг которые ты прочитал от корки до корки за время обучения. Готов поверить тебе на слово.

>>601675>>601676
Факультет прикладного месмеризма что ли у тебя?
>мы писали лекции
Первая пиздаболка проговорилась)) Зачем писать лекции когда можно прочитать весь томик на изичах.
Аноним 06/06/25 Птн 23:16:33 601679 92
>>601677
>Факультет прикладного месмеризма что ли у тебя?
Нет мы обычной физико-технический факультет были.
Со стандартной подготовкой физика конденсированного состояния вещества. Из которых подспециализация была физика магнитных явлений, учитывая что в основовном всех интересуют сильно магнитные вещества напоминая что все вещества в природе магнитные, даже у ебаного нейтрона есть магнитный момент, подумай блядь над этим занимательным фактом
>Давай ты мне просто покажешь список книг которые ты прочитал от корки до корки за время обучения
Не буду тебе врать я в основном ложил хуй на учебу.
И так:
В школе я прочитал
1) Зельдович, высшая математика для начинающих физиков и техников
2) Зельдович элементы прикладной математики
3) Мышкис лекции по высшей математике.
Берклеевский курс физики Т1. Т4.
Это с 10 11 кл
В универе
БКФ Т2.
Краткий курс теоретической физики Савельев. Т1, Т2.
Скорее всего я был не прав, но надо было более существенно заниматься. Но у меня в тот период были другие увлечения.
Вот жаль немного.
В основном интерес угас как раз из отсутствия прикла >>601653
потому что без нормального пояснения откуда берется это говно это все превращается в ебанную магию с формулами.
>Первая пиздаболка проговорилась)) Зачем писать лекции когда можно прочитать весь томик на изичах.
Потому что лень открывать учебник? Мне вообще насрать на магнетизм было я занимался моделированием. Ну да в итоге я мало что помню оттуда.


>Извини, но если у тебя препы не могут внятно сформулировать что и для кого, то ко мне какие вопросы?
Нормально там все сформулировано. Читать надо глазами а не жопой. Обычная терминология.
Аноним 06/06/25 Птн 23:18:31 601680 93
>>601679
А дополнение ещё я читал два томика фейнмановские лекций. В шкалке тоже.
В целом было полезно.
Аноним 06/06/25 Птн 23:30:09 601681 94
>>601679
Ну т.е. три графоманских книги с сомнительной ценностью за пять лет обучения в вузе. Ясно, подводя итог нашему спору
>я сам книг особо не читаю
>а вы сука читайте
Аноним 06/06/25 Птн 23:37:51 601682 95
>>601679
>даже у ебаного нейтрона есть магнитный момент, подумай блядь над этим занимательным фактом
Хуя се ебать вообще отвал бошки (ебать ты додик). А у нейтрино?
Аноним 06/06/25 Птн 23:41:20 601683 96
>>601681
>Ну т.е. три графоманских книги с сомнительной ценностью
Ну как тебе сказать, я благодаря ним полностью положил хуй на математику, потому что уже умел решать все, что требуется, а собственно балов с модульных контрольных хватало чтобы выйти на 5 автоматом или предварительную, более лайтовую сдачу экзамена и чилить потом на удлиненных каникулах ибо сессия была закрыта до сессии, согласен с тобой сомнительные книги, ну их в пизду, лучше было наверное тупить со всеми.
>три графоманских книги
Давай ещё раз посчитаем:
+1Зельдович, высшая математика для начинающих физиков и техников
+1 Зельдович элементы прикладной математики
+1Мышкис лекции по высшей математике.
+2 Берклеевский курс физики Т1. Т4.
+1БКФ Т2.
+2 два томика фейнмановские лекций
И того 8
Ну что ж ты троиш как нейронка от яндекса
Аноним 06/06/25 Птн 23:51:57 601684 97
>>601682
>Хуя се ебать вообще отвал бошки
А ты ебала тех кто его измерил в первы до теории всяких там кварков с полуцелым зарядом представил?
>А у нейтрино?
>Since they have non-zero mass, some theories permit, but do not require, neutrinos to interact magnetically; as yet there is no experimental evidence for a non-zero magnetic moment in neutrinos.
Аноним 06/06/25 Птн 23:54:02 601685 98
>>601682
>ебать ты додик
Какое же ты душное хамло.
Ты так и не догадался там ещё? >>601671
Я не знаю ты там монетку кинь или на таро разложи, вдруг озорене придет
Аноним 07/06/25 Суб 00:09:48 601686 99
Кстати гений ебанный которому не нужны книги:
Как ты думаешь чем руководствуется лектор при подготовке к лекции?
книгами. Бинго блядь! Охуеть!
Как ты думаешь нахуя при начале курса они озвучивают список рекомендованной литературы?
наверное чтобы ее читал падла.
Другой вопрос что всем похуй. Но можешь посмотреть на то какой процент выпускников занимается наукой.
Аноним 07/06/25 Суб 00:11:24 601687 100
>>601683
>сессия была закрыта до сессии
Рубрика велики достижения одного додика.
>Давай ещё раз посчитаем:
Давай еще раз почитаем:
>за пять лет обучения в вузе
Еще бы приплел что ты там в детском саду букварь прочитал. Мне вообще поебать.
>>601684
>додик гордится тем что может заглянуть в википедию
ебать ты жалкий
>>601685
Я даже не заметил тот пост. Могу только еще раз повторить что ты жалкий додик.
Аноним 07/06/25 Суб 00:14:50 601688 101
>>601686
А почему лекторы читают лекции, когда можно дать этот список студозам и пускай читают? Как ты объясняешь этот феномен, ебанашка?
Аноним 07/06/25 Суб 00:23:11 601689 102
>>601687
Давай логически рассуждать без твоих вихляний жопой, ты меня уже притомил
>Я даже не заметил тот пост. Могу только еще раз повторить что ты жалкий додик.
Ты не можешь решить ебаное уравнение Лежандра, о чем с тобой говорить можно вообще?
Где твои ебанные знания блядь если ты не можешь тупо их применить?
Ты пиздишь какую то хуиту про видео лекции. Ну давай примени просмотренные знания чмошник.
Можешь дальше изливать свой словесный понос.
Аноним 07/06/25 Суб 00:28:36 601690 103
>>601689
Трогал себя когда писал этот высер? Суть остается одна и та же:
>я сам книг особо не читаю
>а вы сука читайте
Аноним 07/06/25 Суб 00:30:02 601691 104
>>601688
Традиция, в то время когда появились первые университеты книги были неебацца дорогими, поэтому это была самая доступная форма передачи знаний.
В современных реалиях: на лекции тебя обозначают базовый круг явлений, в идеале показывают демонстрации, дальше ты пиздуешь читать учебник чтобы углубить знания. Банально по тому что у лектора нет времени разжёвывать. Ну расскажут тебе про формулу планка не hv но выводить ее не будут, времени нет, ты там как нибудь сам, если захочешь.
>А почему лекторы читают лекции, когда можно дать этот список студозам и пускай читают?
Так они и дают.
Аноним 07/06/25 Суб 00:33:46 601692 105
>>601690
Я то как раз сейчас прочитал, потому что закрываю пробелы в знаниях, чисто для себя, потому что мне не надо читать всякую хуиту типа истории философии фоном.
>Суть остается одна и та же
Именно суть остаётся та же:
Хули ты пиздишь если не можешь решить.
Иди сбегай лекцию поищи может тебе разжуют. А чё будешь делать если не найдешь? Книги же ты уже на помойку отнес, ебанашка ты тупая
Аноним 07/06/25 Суб 00:38:31 601693 106
IMG202506070036[...].jpg 87Кб, 590x796
590x796
>>601659
>Чего несет лол. Ну чего блядь несет. Ты же ведь реально не представляешь чего несешь? Откуда книга то высрется в таком случае по-твоему?
Потому что, во-первых, для получения учёной степени доктора по закону требуется опубликовать монографию, а, во-вторых, для уже защитившихся докторов существуют кафедральные планы по монографиям.

>Отмечу еще что ОП говорил про базу базовую, но кому то ведь так нужно высраться со своими охуительными историями.
Ответ адресовался не ОПу.

>ОК. Давай возьмем Голдстейна и будем неспеша решать в нем каждую задачу.
Решение задач это инженерная практика, а не научно-исследовательская, школяр.

>Только лучше не в Раше жить, а то сами понимаете можно и не дожить...
Как же уже тошнит от этой тупой русофобской пропаганды от малолеток Навального.

>Но ты то все равно ничего не понял, хоть я и старался.
Да, да, ты у нас здесь самый умный, самый талантливый. Но как работает кафедра почему-то не знаешь. И как появляется научная литература тоже не знаешь. И классификацию научных и инженерных задач не различаешь. В общем, удачи сдать ЕГЭ, не пиши сюда больше, пожалуйста.
Аноним 07/06/25 Суб 00:39:50 601694 107
>>601691
>>А почему лекторы читают лекции, когда можно дать этот список студозам и пускай читают?
>Так они и дают.
У тебя болезнь какая то когда не понимаешь смысла прочитанного и что тебя спрашивают? А, не вроде вот же ответ в самом начале
>Традиция
Понял, ты ебанат.
Аноним 07/06/25 Суб 00:41:18 601695 108
>>601693
Слава богу ты пришел, я блядь устал общаться с этим ебланом, отдаю его тебе
Аноним 07/06/25 Суб 00:47:14 601696 109
>>601692
Лол, прочитал на старости лет про уравнение Лежандра и теперь трясят им перед анонами. Какой же жалкий. А может лучше - объем тетраэдра со случайныами вершинами на сфере единичного радиуса, среднеквадратичное значение - мне лучше скажешь? Задачка в уме на пару минут. А что будет если не решишь за пару минут? Может пойдешь и вскроешься тогда?
Аноним 07/06/25 Суб 00:48:40 601697 110
>>601693
>инженерная практика
Здесь ты не прав анон
В голдстейне обычные задачки, рассматриваемые на семинарах, те ещё задачи по матану в инженерную практику запиши
другой анон
Аноним 07/06/25 Суб 00:54:35 601699 111
>>601696
V = 1/6*(смешанного произведения) там дальше разъебешья
Заебись школьник услышал про ангем охуеть просто.
Уравнение Лежандра где стрелочник?
Аноним 07/06/25 Суб 01:03:57 601700 112
>>601693
>опубликовать монографию
Оооо... ну тут есть два варианта - либо ты большой специалист и зачитываешься докторскими монографиями целыми днями либо ты такая же пиздаболка как большой любитель книг прочитавший аж целых три штуки за пять лет обучения. Даже не знаю какой более вероятный.

>Ответ адресовался не ОПу.
Ну я тот неОП. Что мешает тебе прочитать шапку треда и понять о чем он вообще? Религия?

>Решение задач это инженерная практика, а не научно-исследовательская, школяр.
Воу-воу давай полегче, а то в треде тут и так дупы рвутся как ненормальные. Если еще тему с нужностью задач поднять тут вообще все схлопнуться в сингулярность может.

>Как же уже тошнит от этой тупой русофобской пропаганды от малолеток Навального.
Статистика = русофобия. Ну конечно. Навальный вообще святой человек. У меня до сих пор вся эта история с ним в голове не укладывается.

>В общем, удачи сдать ЕГЭ, не пиши сюда больше, пожалуйста.
Хуй соси губой тряси

Только скажи, про конференции у вас там на кафедре не слыхали? Или это слишком бездуховно теперь.
Аноним 07/06/25 Суб 01:06:41 601701 113
>>601699
>V = 1/6*(смешанного произведения) там дальше разъебешья
Все что смог родить. Ясно. Как смывать позор теперь будешь - кровью или говном?

>>601699
>Уравнение Лежандра где стрелочник?
Да вот же оно на пригорочке
https://www.wolframalpha.com/input?i=(1+-+x²)+y''+-+2x+y'+%2B+n(n+%2B+1)+y+%3D+0
Аноним 07/06/25 Суб 01:47:35 601702 114
Screenshot20250[...].png 105Кб, 800x1280
800x1280
Screenshot20250[...].png 149Кб, 800x1280
800x1280
Screenshot20250[...].png 13Кб, 800x1280
800x1280
>>601699
>>601701
Ну ты и уебок, заставил деда глаза портить
Аноним 07/06/25 Суб 01:50:17 601703 115
Screenshot20250[...].png 284Кб, 800x1280
800x1280
>>601701
А тебе не кажется что это блядь немного не пригодно для теоретических выкладок?
Аноним 07/06/25 Суб 02:01:13 601704 116
>>601702
Ой прости залупа я забыл что ты хотела среднеквадратичное
На 0.14421031831934475
Аноним 07/06/25 Суб 02:14:24 601705 117
>>601703
Глаза разуть не пробовал?
>>601704
Лучше проверяй свой говнокод. Но еще лучше бы аналитическое решение.
Аноним 07/06/25 Суб 02:20:07 601706 118
>>601705
>аналитическое решение.
Тебя ебет? ты хотел получить число, я тебе доставил число.
>>601703
Хули ты мне высрал свой вольфрам альфа ебаный, я хочу чтобы ты честно получил ебаные полиномы Лежандра, а не этот не юзабельный кал который в теоретических выкладках бесполезен. Ты чё дохуя инженер?
Аноним 07/06/25 Суб 02:24:01 601707 119
>>601705
>Глаза разуть не пробовал?
А увидел
Один хрен ты их не вывел.
Аноним 07/06/25 Суб 02:24:31 601708 120
Screenshot-900.png 5Кб, 365x64
365x64
>>601706
Это лол. Еще на Лежандра подрочи, чушок.
>>601706
>я тебе доставил число
>Ты чё дохуя инженер?
Как же корежит маньку.
Я же говорю страницу полистай, там решение.
Аноним 07/06/25 Суб 02:28:35 601709 121
>>601708
А да у теты пи просто
Аноним 07/06/25 Суб 02:31:19 601710 122
>>601709
>пи просто
Думай еще.
Аноним 07/06/25 Суб 02:42:26 601711 123
>>601710
Ну от минус пи на 2 до пи на 2
Аноним 07/06/25 Суб 02:45:32 601712 124
>>601711
Ой бля... ты как блядь случайную точку на сфере выбирать собрался? Ты вообще в теории вероятностей понимаешь чего, или только на диффурах остановился и теперь с ними всем мозги ебешь?
Аноним 07/06/25 Суб 02:50:37 601713 125
>>601712
В смысле? Ты задаешь рандомно углы, радиус у тебя 1. Просто считаешь x,y,z
Потом по 4м точкам строешь 3 вектора, считаешь ебаный объем усредняешь.
Рандом у тебя от 0 до 1 нормальное распределение. Все ок будет.
Будем считать то в каждый проход не будет двух одинаковых точек, а то в падлу это проверять.
Аноним 07/06/25 Суб 02:54:12 601714 126
>>601713
>Ты задаешь рандомно углы
Нииеет. Подумай еще.
Аноним 07/06/25 Суб 03:05:37 601716 127
>>601714
В смысле нафиг нет?
У тебя:
> случайныами вершинами на сфере
значит ты можешь выбрать случайно точки x, y, z на сфере.
Как их блин выбрать?
Это точки на сфере. Радиус у тебя фиксированный. Значит ты можешь менять только fi, thetha
Аноним 07/06/25 Суб 03:10:21 601717 128
Аноним 07/06/25 Суб 03:23:26 601718 129
>>601717
Ну равномерное заебал.
Все равно ты понял к чему я клоню.
Аноним 07/06/25 Суб 11:57:43 601724 130
>>601717
Хули ты тут пиздишь 4*pi/105
>>601702
На скринах 0.1063 что в принципе близко к 0.1196
Аноним 07/06/25 Суб 14:58:56 601730 131
Screenshot20250[...].png 209Кб, 800x1280
800x1280
>>601696
>Задачка в уме на пару минут
Демагог хуев, за такое конкретно можно ебало разбить.
Хули ты хуила факты искажаешь. Давай посчитай этот интеграл в уме за 5 минут.
>>601714
>Нииеет. Подумай еще.
Пиздливый гандон хули ты несёшь. ты сам не понимаешь что такое u? Хули ты прикидываешься, это как раз cos(fi) и есть.
На промежутки интегрирования посмотри хуила.
Аноним 07/06/25 Суб 17:41:17 601744 132
IMG202506071737[...].jpg 530Кб, 1920x1080
1920x1080
>>601714
Лан, ок согласен
В действительности если выбирать z через угол, распределение будет не равномерным и всегда отличается от 4*pi/105
Поэтому надо выбирать z от -1 до 1 и тогда все сходится
Аноним 07/06/25 Суб 18:05:48 601748 133
>>601730
Какая же ты ебанашка нелепая. Я даже не знаю с какой стороны начать с тебя угарать.
Начну пожалуй с того что этот дурачок не может в английский. Это прям уже обязательный атрибут любого нелепого говна.

> пик
Так близко и так далеко. Ору.

>>601744
>Поэтому надо выбирать z от -1 до 1
Ну а на окружности допустим как ты будешь случайную точку выбирать?

Не я конечно понимаю можно по запарке там недопонять чего то и облажаться, но когда этого ебаклака буквально тыкают носом и он все еще не может понять как выбрать случайную точку на сфере и что он делает не так. Но при этом считает себя невъебенным специалистом по всем высоким материям.
Аноним 07/06/25 Суб 20:06:47 601759 134
Аноним 07/06/25 Суб 20:10:56 601760 135
Screenshot20250[...].png 301Кб, 800x1280
800x1280
Аноним 07/06/25 Суб 20:15:12 601761 136
Screenshot20250[...].png 306Кб, 800x1280
800x1280
>>601748
Вообще то они уже однородно распределены.
И 4*pi/105 подтверждается
Отъебись
Где полиномы Лежандра выведенные посчитанные твоими ручейками?
Аноним 07/06/25 Суб 20:19:43 601762 137
>>601759
>можно спиздить алгоритм
Ну, действуй тогда, тупица.
>Вообще то они уже однородно распределены.
Вот это нелепый скулеж пошел. Просто красота.
Аноним 07/06/25 Суб 20:26:52 601763 138
NG20250607-0826[...].png 372Кб, 800x1280
800x1280
>>601762
>Вот это нелепый скулеж пошел. Просто красота.
Ты блядь в глаза долбишься уебище?
Аноним 07/06/25 Суб 20:29:11 601764 139
>>601763
Так какой там у тебя ответ?
Аноним 07/06/25 Суб 20:32:40 601765 140
>>601763
ОК. Доказать этот факт сможешь?
Аноним 07/06/25 Суб 21:02:11 601767 141
Screenshot20250[...].png 544Кб, 800x1280
800x1280
>>601764
>Так какой там у тебя ответ?
На вот
>ОК.
Блядь да ты охуел? То есть ты тупо доебался по типу "а точно блядь? А доказать сможешь? А если не докажешь не считается"
>Доказать этот факт сможешь?
Нахуя? Вот когда понадобится, тогда сяду разберу. Тем более мы про это не договаривались.
Аноним 07/06/25 Суб 21:39:01 601769 142
>>601767
>Нахуя?
ЛОЛ
>пик
А если я скажу что ты все еще тупая ебанашка, ты сможешь понять намек или дать тебе еще подсказку?
Аноним 07/06/25 Суб 21:42:03 601770 143
Screenshot-901.png 16Кб, 232x41
232x41
>>601769
Лолчегоблядь. Ну это так, мелочь.
Аноним 07/06/25 Суб 22:20:44 601772 144
Screenshot20250[...].png 505Кб, 800x1280
800x1280
>>601770
Ой ну извините не заметил, не уважаемый шиз
Нихуя не поменялось.
Если ты про модуль, сначала отвечаешь на свой же вопрос >>601730 хули там под интегралом модуль.
>>601769
Все сходится, прекращай выебываться.
Аноним 07/06/25 Суб 23:19:31 601774 145
17492975378920.png 210Кб, 800x1280
800x1280
>>601772
Вот тебе подсказка. Внимательно читаешь слова в рамочке. Потом внимательно читаешь условие задачи. Думаешь как следует. Можно повторить несколько раз пока не додумаешься.

Вообще я виноват, т.к. дико орнул с бесполезного ifа, но как раз в этой области надо кое что подправить. И это не if. Ну я уже не знаю как еще жирнее намекнуть.

Когда додумаешь думку (но не раньше, это важно), можешь эту страницу вниз листануть немного, там еще очень интересные вещи написаны на самом деле.
Аноним 08/06/25 Вск 00:01:17 601777 146
Screenshot20250[...].png 486Кб, 800x1280
800x1280
Screenshot20250[...].png 451Кб, 800x1280
800x1280
>>601774
Так погоди, я сравниваю среднее теоретическое значение
со средним экспериментальным, ну вся статья взять среднее арифметическое что я и делаю: сумма объемов за N испытаний/ на число этих объемов, т.е. длина списка Vs. Ну а как ты ещё найдешь среднее арифметическое.
Веса там не нужны все равно, даже если значения совпадут ni/N все равно он там окажется, мы ж их все равно не ищем.
If нужен, если нет проверки что точки могли наложиться может появиться 0 в сумме при том к N точкам добавится ещё 1, которой вообще то нет, значит проверка нужна.
Ну а после нахождения среднего арифметического если очень хочется можно дисперсию посчитать.
Аноним 08/06/25 Вск 00:10:17 601778 147
>>601624
>Ебать ты дядя из какой вообще дыры выполз?
>
>зумер снова не понял нихуя, но всегда видит себя экспертом мирового уровня
Аноним 08/06/25 Вск 01:01:44 601779 148
>>601777
А посчитать то что тебя спрашивают не думал, еблан тупой? Это просто пиздец какой то нахуй.
Аноним 08/06/25 Вск 01:07:00 601780 149
>>601777
>If нужен, если нет проверки что точки могли наложиться может появиться 0
Давай запусти, проверь сколько у тебя там нулей получается.
Аноним 08/06/25 Вск 01:27:13 601783 150
>>601777
Так ты утверждаешь что закончил высшее учебное заведение вроде? Просто у меня стойкое ощущение что я пытаюсь что то объяснить сумасшедшему школьнику.
Аноним 08/06/25 Вск 01:32:05 601784 151
>>601779
Ну среднеквадратичное значение
0.157062... ~ 0.157
>>601780
Ок не было, тебе жалко что-ли? А если б попал?
Аноним 08/06/25 Вск 01:36:55 601785 152
>>601783
Очередной бессодержательный высер, что сказать хотел?
Я тебе тоже могу накидать графиков кривых намагничивания, тоже будешь так же сидеть ебаться определять коэрцитивную силу и энергетическое произведения, а я буду с тебя кекать. Дальше что?
Ты сам где учился/учишься?
Аноним 08/06/25 Вск 01:41:38 601786 153
>>601784
>Ну среднеквадратичное значение
>0.157062... ~ 0.157
О ХВАЛА БОГАМ
>Ок не было, тебе жалко что-ли? А если б попал?
Ну просто так еще более ясно что ты тупой еблан, если даже вдруг у кого то оставались сомнения.

Далее
>Когда додумаешь думку (но не раньше, это важно), можешь эту страницу вниз листануть немного, там еще очень интересные вещи написаны на самом деле.
Читал?
Аноним 08/06/25 Вск 01:55:01 601787 154
174933662008056[...].gif 21Кб, 508x477
508x477
174933668187449[...].gif 45Кб, 544x556
544x556
>>601783
Вот тебе две для тупых задачи, в пару действий
>>601786
>О ХВАЛА БОГАМ
То есть просто спросить "а средне квадратичное какое" ты не мог? Надо было ребусами говорить, ндаа
>Читал?
Ты про мю? Че это вообще было?
Аноним 08/06/25 Вск 02:14:43 601788 155
250px-Permeabil[...].png 10Кб, 250x222
250x222
>>601787
Там что клеточки считать надо? Решение второй задачи пикрелейтед. Так вот какие задачи решают люди когда у них нет мозгов.

>То есть просто спросить
А может просто условие прочитать, не? Не слышал?
>Ты про мю? Че это вообще было?
Ух бля... ну может там числа посмотришь какие то есть на что то похожие...
Аноним 08/06/25 Вск 02:22:27 601789 156
>>601788
Ну да задача с второго пика для даунов, в первую ты почему то заигнорил ясно)
Аноним 08/06/25 Вск 02:28:49 601790 157
Screenshot20250[...].jpg 198Кб, 800x1073
800x1073
>>601788
>Так вот какие задачи решают люди когда у них нет мозгов.
Не ну если ты настаиваешь, ну окей
Аноним 08/06/25 Вск 02:35:52 601791 158
>>601789>>601790
Маня, ты с "мю" разобралась там? А то что то ты поплыл похоже.
Аноним 08/06/25 Вск 02:38:46 601792 159
>>601791
Так я и не собирался)
Давай не отвлекайся электродинамика тебя ждет >>601790
Аноним 08/06/25 Вск 02:42:18 601793 160
>>601792
С хуя ли? Ты же тут главная клоунша. Ах как я поорал с твоих "решений". Давай продолжать. Еще чуть-чуть осталось дожать.
Аноним 08/06/25 Вск 02:58:36 601794 161
174934055732751[...].gif 21Кб, 508x477
508x477
>>601793
Да понял я тебя
https://ru.m.wikipedia.org/wiki/%D0%9C%D0%BE%D0%BC%D0%B5%D0%BD%D1%82%D1%8B_%D1%81%D0%BB%D1%83%D1%87%D0%B0%D0%B9%D0%BD%D0%BE%D0%B9_%D0%B2%D0%B5%D0%BB%D0%B8%D1%87%D0%B8%D0%BD%D1%8B
>Момент в математике — прямая аналогия с понятием момента в физике и механике
Да да интересная хуита, нам не читали на тервере. Сохранил.
Хуйня, напоминаю тебе, ты писал:
>А может лучше - объем тетраэдра со случайныами вершинами на сфере единичного радиуса, среднеквадратичное значение
.есть, есть. Остальные величины сам считай если те делать нахуй.
А чё с приклом, что не гуглится?)
Напоминаю если ты у нас здесь эксперт, можешь попиздовать считать сечения рассеяния >>601790 хотябы вольфраме
Аноним 09/06/25 Пнд 02:15:20 601816 162
>>601794
>Да понял я тебя
>Да да интересная хуита, нам не читали на тервере.

Ты такой тупорылый что я реально в ахуе, хотя я на бордах уже каких только уебанов не повидал.
Намеками что то тебе объяснять совершенно бесполезно, у тебя интеллекта меньше чем у пылесоса.
Мю два это и есть среднеквадратичное (в квадрате), то что считает твоя с горем пополам написанная программа.
Возьми калькулятор и набирай: 2 делить на 81 - равно - извлечь корень. Смотришь на цифры. Понимаешь какой же ты тупорылый (тут я конечно замечтался уже). Это твой максимальный уровень.

>считать сечения рассеяния
Ну какие тебе сечения, даунша? Ты только вчера выяснил как рассеивать равномерно точки по сфере. Ну как "выяснил" - нашел формулу в интернете, которая ты даже не понимаешь почему работает (хотя суть там элементарная). Понимать
>Нахуя?
- рубрика цитаты великих (уебанов)
Значит ты так же "решал" эти задачи на семинарах - тебе давали формулу, а ты подставлял в нее числа как обезьяна. Ну может иногда две-три формулы надо было применять если задача со звездочкой.

>А чё с приклом
Там ведь надо считать площадь под графиком, я прав? Т.е. как я уже написал
>Там что клеточки считать надо?
Просто я представил как сидит аудитория таких уебанов, некоторые уже с бородой, и пальчиком пересчитывают клеточки. Вспомнились младшие классы, как мы с палеточками площадь считали на уроке. И тут я проиграл в очередной раз.
Аноним 09/06/25 Пнд 04:40:21 601817 163
>>601816
>Там ведь надо считать площадь под графиком, я прав?
Ну разумеется нет, ещё подумай
Аноним 10/06/25 Втр 01:09:29 601841 164
>>601816
Как же ты обосрался под конец, шизик, найс, приятно видеть
Чё решил задачку по общей физике для второкурсников?
Аноним 10/06/25 Втр 01:45:02 601843 165
>>601841
Привет, ебобо.

>>601817
Лаконично. А по поводу всего остального значит тебе нечего сказать?

Давай отыграем последний аккорд в этой симфонии про одну тупую ебанашку. Последнее предложение в Вольфрамовской статье - прочитай его. Теперь ты сможешь осознать что там написано?

>>Там ведь надо считать площадь под графиком, я прав?
>Ну разумеется нет, ещё подумай
Точнее говоря сбоку, суть это не меняет.
Аноним 10/06/25 Втр 07:06:23 601845 166
>>601843
>Лаконично. А по поводу всего остального значит тебе нечего сказать?
Считал я твою мю2 тоже что и в проге, дальше что?
>Точнее говоря сбоку, суть это не меняет.
Нет, же
Ты, почитай ещё раз условие, что ты должен найти?
Аноним 11/06/25 Срд 01:48:19 601871 167
>>601845
Ты такой тупорылый, чтобы тебе разжечь сральню, надо в ней полчаса факелом шуровать.

Давай почитаем вместе
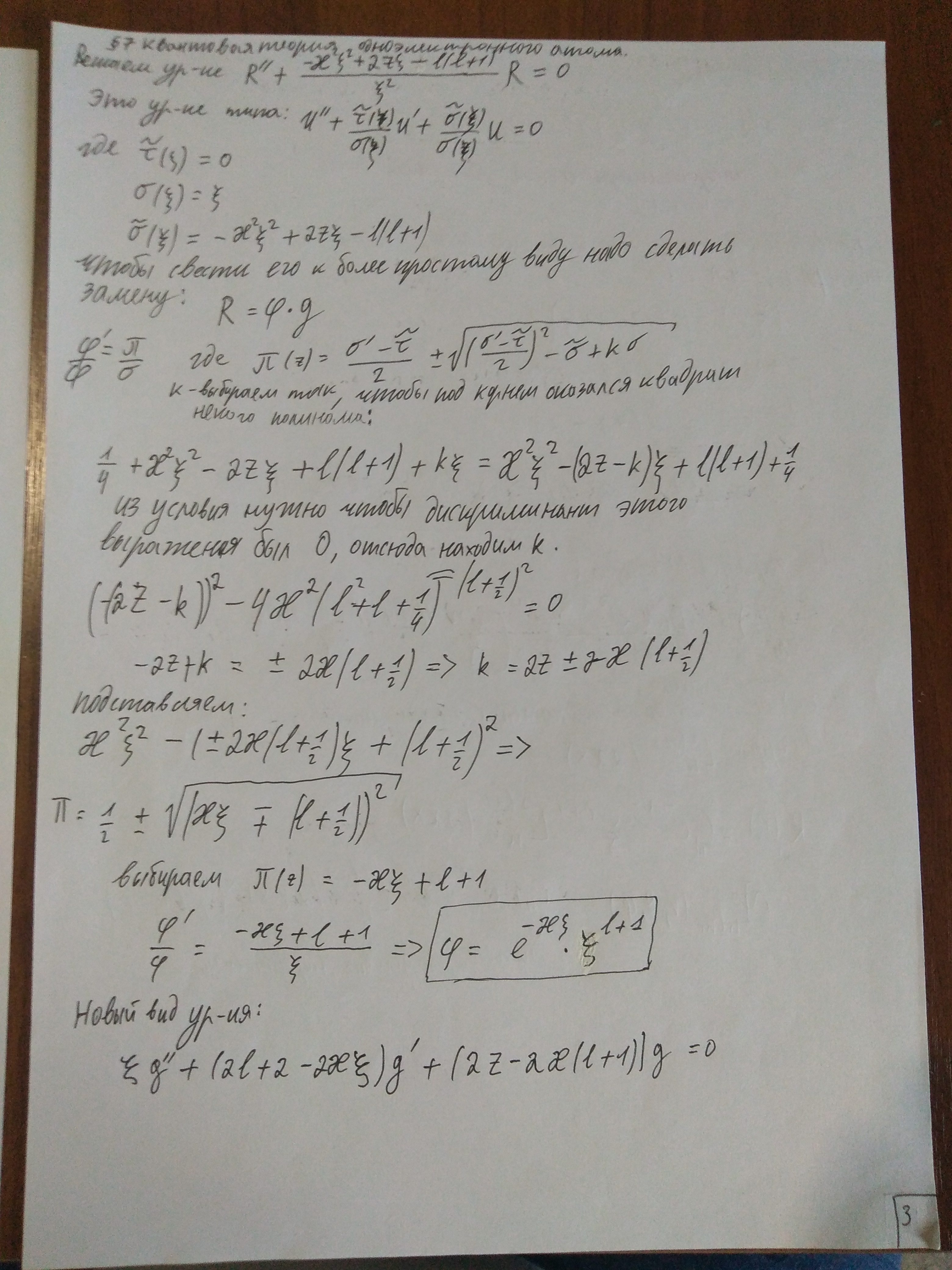
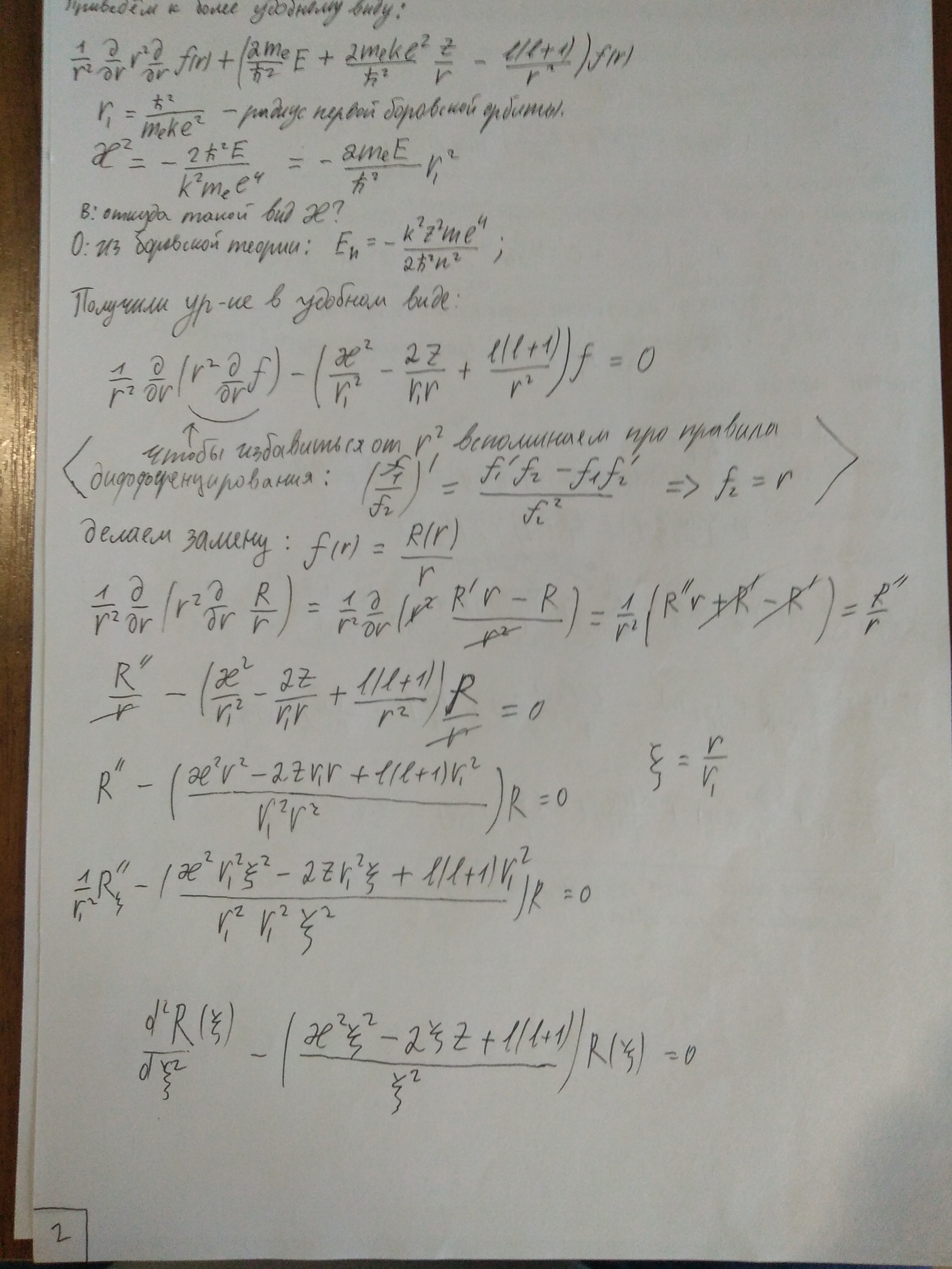
>The raw moments can be computed more easily for even n
Так что можешь не верить мне (ОК) что у этой задачи есть очень простое решение, буквально "в уме" за минуту. Но Вольфрам то пиздеть не будет? Естественно, до этого решения нужно сначала додуматься. Что при твоей терминальной тупорылости невыполнимая задача. Но тут уж тебе винить только самого себя. Мог бы лучше вообще не браться, молчал бы и может за умного сошел. Можешь еще попытаться пошерстить по интернету, вдруг чего найдешь, кто знает.

Нашел твою задачу у Иродова. Он почему то считает плотность энергии как HB/2. Хотя для ферромагнетиков эта формула неприменима как написано в википедии и любом учебнике, даже в самом Иродове. Я мог бы легко принести это "решение" как ты, но вот тебе возможность покекать - если ты знаешь почему и сможешь объяснить - настал твой звездный час.

Напомни, тупорылый баттхерт, в чем там собственно твой поинт? Ах да, ни в чем...
Аноним 11/06/25 Срд 12:04:47 601877 168
Screenshot20250[...].png 303Кб, 800x1280
800x1280
Screenshot20250[...].png 341Кб, 800x1280
800x1280
Screenshot20250[...].png 313Кб, 800x1280
800x1280
>>601871
>Напомни, тупорылый баттхерт, в чем там собственно твой поинт?
В том что ты тупое ленивое уебище, неспособное прочитать учебник, но уверн у тебя нашлось время прочитать парочку бесполезных художественных романов.
А теперь подробнее:
>Там ведь надо считать площадь под графиком, я прав? Т.е. как я уже написал
Тут не угодил
>Точнее говоря сбоку, суть это не меняет.
Угадал, но видимо сам нихуя не понял
>Нашел твою задачу у Иродова
Великолепно, долго искал? Знал что ты это напишешь. Получается без поиска ответа в задачнике ты бы ее не "решил", да ты и до сих пор не принес.
>Хотя для ферромагнетиков эта формула неприменима как написано в википедии и любом учебнике, даже в самом Иродове.
Очень рад что ты наконец раскрыл книгу. А ты че до этого этого не знал? На лекциях не рассказывали? Ну ещё почитай, там много интересного есть.
В теперь смотри если бы ты не выебывался а читал рекомендации >>600813
Ты бы увидел там приклейтед, почитай
посмотри ты там стул под собой не прожёг?
Аноним 12/06/25 Чтв 01:54:22 601882 169
>>601877
>>Точнее говоря сбоку, суть это не меняет.
>Нет, же

>>Точнее говоря сбоку, суть это не меняет.
>Угадал, но видимо сам нихуя не понял

Ну ты и ебануууутый. Хоть это и уже твердо установленный выше по треду факт, все равно я с тебя охуеваю.

Нахуй ты что то там читаешь? Ты же вообще не воспринимаешь никакой печатный текст.

Признаюсь даже припекает с твоей тупорылости. Такому тупому еблану хоть ссы в глаза - он только будет добавки просить.

Не вижу смысла продолжать эту одностороннюю дискуссию между человеком и его подобием. Поначалу пожалел тебя, вроде такой упорный вон аж целую программу высрал. Теперь все, просто иди нахуй говно.

А всем детишкам урок - будешь "читать учебник" и считать себя самым умным - вдруг может оказаться что ты вот такой тупорылый ебанат.
Аноним 12/06/25 Чтв 09:02:10 601884 170
>>600499 (OP)
Начни с пятитомника Сивухина, он на доступном уровне изложен, требуется только знание основ мат.анализа, дальше уже надо конкретизировать, потому что литература сильно зависит от области и по всем областям одни человек тебе никогда не даст дельного совета, потому что хорошо разбирающийся в одном вопросе не может знать, что происходит во всех остальных областях той же самой науки.
Аноним 12/06/25 Чтв 09:27:05 601885 171
Аноним 12/06/25 Чтв 11:34:18 601888 172
>>601882
Обтекания пошли, найс.
Если ты был уверен в своем ответе нахера полез источник задачи искать, а умник?
>Нахуй ты что то там читаешь?
Тебя ебет хуйло? Иди дифуры без вольфрама порешай еблан тупой,
Хочу и читаю, и что ты мне сделаешь тупорылый пиздюк?
Аноним 13/06/25 Птн 01:24:31 601912 173
>>601888
Было у меня минутное помутнение. Я подумал может ли быть такое что тупорылый еблан изучавший магнетизм пять лет понимает в нем лучше чем я изучавший его одну лабу. Оказалось что все впорядке, такого быть не может.

>Интересно, ты стал бы ездить по мосту который проектировали инженеры просто угадывая конструкцию? Думаю неплохая идея. Ну или пусть тебе врач дозировку антибиотиков угадает.
Мне страшно от того что такие тупорылые ебланы интегрированы в общество и чем то в нем занимаются "полезным", имеют свое охуительное мнение по всем вопросам и возможно даже принимают важные решения. Надеюсь ты какой нибудь инвалид и живешь на пенсию по шизе, таким образом нанося минимальный урон нормальным людям.
Аноним 13/06/25 Птн 02:19:24 601913 174
Screenshot20250[...].png 227Кб, 800x1280
800x1280
>>601912
А ты тупица не понял ещё почему решение Иродова правильное?
Потому что это все электромагниты делаются из магнфитомягкий материалов идиот тупорылый
Для них выражение справедливо
Блядь походу твоя тупость заразна, если с тобой долго общаться начинаешь клинить
Аноним 14/06/25 Суб 02:27:42 601956 175
>>601913
>магнфитомягкий материалов
>Для них выражение справедливо
Почему ни в задаче, ни на пикче про эти чудесные материалы с которыми все решается как надо нет ни слова? Поверить ли тупорылой ебанашке на слово? Или лучше продолжить ее унижение.
Что это за книгу ты притащил на этот раз? Какие материалы рассматриваются в этой главе на самом деле? И самое главное -
какие по-твоему условия применимости формулы 47.36 (первое равенство)?

>начинаешь клинить
Ахахаха хороший шютейка, братан. Только у меня для тебя плохие новости - ты заклиненный с самого рождения
https://www.youtube.com/watch?v=kav7tifmyTg
Аноним 14/06/25 Суб 12:04:39 601963 176
NG20250614-1158[...].png 228Кб, 800x1280
800x1280
Screenshot20250[...].png 142Кб, 800x1280
800x1280
NG20250614-1200[...].png 285Кб, 800x1280
800x1280
Screenshot20250[...].png 161Кб, 800x1280
800x1280
>>601956
Какой же ты кран
Последний пик твоя задача.
Ладно учись.
Аноним 15/06/25 Вск 02:12:55 601983 177
>>601963
Как же ущербно и нелепо выглядят твои ответные взвизги. Я бегаю кругами вокруг тебя. Сколько раз понадобилось тебя ткнуть носом чтобы ты нашел ответ на странице которую сам притащил. Теперь начался второй раунд. Только теперь я не знаю куда тебя можно ткнуть.

Ты так и не ответил ни на один вопрос. Тебя нужно в них носом потыкать?

Повторяю:
>Он почему то считает плотность энергии как HB/2. Хотя для ферромагнетиков эта формула неприменима
Какое слово в написанном тебе не понятно, уебище? Спрашивай, объясню.

Алсо, решение задач методом прочтения их в решебнике - я не удивлен. Еще один штришок к картине тупорылого еблана.
Аноним 15/06/25 Вск 02:36:56 601985 178
>>601983
>Он почему то считает плотность энергии как HB/2. Хотя для ферромагнетиков эта формула неприменима
Да еб твою мать
Потому что:
а) у тебя нет гистерезиса, подразумевается что ты намагничивает его из размагниченного состояния, постоянным током откуда у тебя гистерезис то возьмётся, мать твою, поэтому ты можешь её использовать хоть зависимость и не линейная, но однозначная
б) считаешь поле однородным везде в торе, для простоты расчетов. Поэтому плотность hb/2
Понял?
Аноним 15/06/25 Вск 05:26:34 601986 179
>>601983
Если тебя не устраивает >>601985
Дополнительно
https://all-fizika.com/article/index.php?id_article=1544
HdB
Приближенно считаем B = мюH
HdB = мюH*dH
И того (1/2)мюH^2 возвращаем назад B
И того HB/2 что то же
Если тебя не устраивает даже объяснение из ФЛФ
Выкладывай в чем твой поинт или проследуй на хуй
У меня все
Аноним 16/06/25 Пнд 01:37:28 602041 180
>>601985
>подразумевается что ты намагничивает его из размагниченного состояния, постоянным током откуда у тебя
Лол чего блядь несет. Ты не можешь просто подать сразу ток из нихуя моментально, в этом и состоит собственно феномен индукции. Это школьная физика блядь.
>хоть зависимость и не линейная
В этом и суть что она нелинейная. Ты не можешь интегрировать нелинейную функцию как линейную, ну потому что она просто блядь нелинейная.

>>601986
>Если тебя не устраивает даже объяснение из ФЛФ
Отличное объяснение, но только надо читать его глазами а не жопой и понимать что в нем написано.
>Когда петля гистерезиса очень мала, соотношение В и Н приближенно можно представлять в виде линейного уравнения.
потому что когда у тебя малые изменения чего угодно их соотношения будут линейными. Сложновато? Но тогда уже прямым текстом написано
>желательно иметь материал, у которого связь между В и Н достаточно линейна
>С другой стороны
>При этом вы должны пользоваться сложной кривой Н—В и применять при вычислениях графические или численные методы.
Теперь внимательно посмотри на кривую H-B которую ты сам притащил. Ты где там видишь линейную зависимость, ебаклак?

>в чем твой поинт
Наверное в том что ты на столько тупорылый, что мне аж страшно нахуй, как я уже писал. Признайся уже ты ведь тупорылый школьник с поддержкой чатажпт? Тут все свои. Или это какой то социальный эксперимент или там перформанс. Ну нахуй.
Аноним 16/06/25 Пнд 02:44:27 602043 181
Screenshot20250[...].png 322Кб, 800x1280
800x1280
Screenshot20250[...].png 438Кб, 800x1280
800x1280
175003091916782[...].jpg 37Кб, 600x450
600x450
>>602041
Теперь внимательно посмотри на кривую H-B которую ты сам притащил. Ты где там видишь линейную зависимость, ебаклак?
Пиздец ты книгу смотрел, нет? У Фейнмана там прямая линия что-ли? Если тебе так хочется можешь посчитать интеграл HdB
>Лол чего блядь несет. Ты не можешь просто подать сразу ток из нихуя моментально, в этом и состоит собственно феномен индукции. Это школьная физика блядь.
Але, дебич у тебя ток будет наростать до заданного значения, это не тоже самое что переменный ток, который будет менять значения от минус I до плюс I, гистерезиса не будет.
Аноним 16/06/25 Пнд 13:27:33 602076 182
>>602041
Ну вообще да ты прав я пощитал сколько там H
Это нихуя не на начале кривой.
Я в ахуе, блять сука он же сам в пособии писал что не применимо, как так то.
Реквестую у тебя норм задачник по общефизу тогда
Пс
Лан те бомбить, я закончил универ 10 лет назад 80% уже забыл, вот релил поповторять.
Аноним 16/06/25 Пнд 21:05:50 602110 183
Screenshot20250[...].jpg 18Кб, 800x187
800x187
>>602041
Ну ты и мудак. Ты специально тролишь тупостью? Я еще разок прешение поискал, плюс спасался с другом из универа сук было пиздец стыдно. Иродовская последняя формула была для парамагнетиков. HB/2 общая формула. H и B ты определяешь из графика, все решение готово. Можешь проследовать на хуй или в хуй или в пизду или куда тебе больше нравится.
Пиздец походу общение с тобой понижает уровень интеллекта. Мразота блядь. Я хуею блядь.
Зря я до тебя доебался >>601632, вообще насрать смотри ты что хочешь блядь, не надо не разбирай и вообще не решай дифуры ищи из в справочниках готовые, какая мне блядь разница.
Аноним 16/06/25 Пнд 21:31:54 602111 184
Screenshot20250[...].jpg 121Кб, 783x687
783x687
Дополняю
А если точнее мы можем ее переменить потому что поле в соленоиде однородное, понял?
Иди на хуй
Аноним 16/06/25 Пнд 21:32:56 602112 185
>>602111
Соответственно мы по условию задачи считаем поле в тороидальной катушке однородным.
Все нахуй.
Аноним 17/06/25 Втр 02:49:53 602127 186
17500987155860.jpg 177Кб, 783x687
783x687
Ебать у тебя истерика.

>>602076
>я закончил универ 10 лет назад 80% уже забыл
Так проблема не в том что ты чего то там забыл, а в том что ты нихуя не понимаешь в тексте который вот прямо перед тобой.

То что человек с таким низким уровнем интеллекта смог окончить высшее учебное заведение (если это не твои фантазии конешн) - вот что шокирует по настоящему. Говорит о том на сколько же ущербна система образования в Рашке (и не только). И потом такие тупорылые ебланы занимаются профессиональной деятельностью.
Вот стоишь ты такой у врача на приеме. И он вроде пиздец умные слова говорит. А там копнуть на сантиметр и такой винегрет у него в голове из заговоров Сионистских мудрецов, гороскопов и самое главное понимания законов природы на уровне ниже учебника по естествознанию для 3 класса.

>>602110
>Ты специально тролишь тупостью?
Тот же встречный вопрос тебе. Сириусли.

>Я еще разок прешение поискал
Ну-ну. Так ты думаешь от того что твой решебник Кумар на свой второй родной перевел, решения в нем стали более правильными?

>плюс спасался с другом из универа
Тут возможны два варианта. Либо ты по своей тупорылости снова нихуя не понял что тебе пишут. Либо твой друг такой же тупорылый как ты сам, что так же весьма вероятно. А может и то и другое.
Давай своего друга сюда в тред, я его тоже хуями накормлю.
Аноним 17/06/25 Втр 04:04:46 602128 187
175012215008448[...].png 315Кб, 800x1280
800x1280
>>602127
Тупорылое говно, что мешает тебе объяснить какое на твой взгляд должно быть решение?
Сука я перелапатил несколько курсов
-В старых и некоторых новых не говориться про то что плотность магнитного поля по HB/2 нельзя посчитать для ферромагнетиков. В том числе в Джанколи, судя по всему твой где-то сверху отрекомендованный Волтер Левин именно по нему читает. видимо такой подход это не совсем правда.
-У Калашникова, Сивухина, говорится что надо считать HdB ну да это скорее всего как раз верно.
Если у тебя действие происходит вообще с переменным током, там будет гистерезис, тогда будет вообще пизда, можешь закинуть свои расчёты вообще нахуй, тк H будет просто работать на перемагничивание и много энергии будет тратится на нагрев а не на создание магнитного поля.
-Теперь к решению индус и ещё какого то совкового хрена. Ну эти челики хоть и не совсем верно считают, но точно поумнее тебя будут, ты вообще кто блядь? Шиз с двача? Тоже мне профессор нашёлся. Кончай умничать
Подводим итоги, а нахер её вообще считать? Просто бесполезная задачка для инженеров чтобы хоть как-то определить индкутивность и энергию катушечки. Расчётная не учитывает потери на перемагничивание значит будет немного завышенная, ну для инженеров нормас тупо оценят значения сверху.
>Ну-ну. Так ты думаешь от того что твой решебник Кумар на свой второй родной перевел, решения в нем стали более правильными?
Такие же правильные как у фейнмана, кривую-линейную зависимость видел на пике? Где твои комментарии?

я тебе все сказал, давай выкатывай твоё правильное ахуительное решение и объясняй или пиздобол
Аноним 17/06/25 Втр 04:12:44 602129 188
>>602127
>Сионистских мудрецов, гороскопов и самое главное понимания законов природы на уровне ниже учебника по естествознанию для 3 класса.
>в Рашке
Пока я вижу что венегрет в голове у тебя ты собрал вообще всю херню какую только можно
>Сионистских мудрецов, гороскопов
Эти маня проекции особенно улыбнули.
Тебя что толпа рентевешников и астрологов с доброе утро на первом по кругу пустило? Что ты так носишься с горящей жопой?
Аноним 17/06/25 Втр 04:26:18 602130 189
IMG202506170419[...].jpg 321Кб, 720x1440
720x1440
IMG202506170419[...].jpg 232Кб, 720x1440
720x1440
>>602127
>Говорит о том на сколько же ущербна система образования в Рашке
А че там у пиндосов? Ну-ка че там мистер джанколи написал ну-ка на скринчики посмотрим, а где используют этот учебник, ой кажется в лекциях Walter lewine physics 2 он упоминал мистера джанколи. Ой да что ж это они такое там в mit читают, ай яй яй
> (и не только)
А ну да точно ты имел ввиду в любой стране ну ок.
Аноним 17/06/25 Втр 20:36:00 602137 190
Screenshot20250[...].png 397Кб, 800x1280
800x1280
Screenshot20250[...].png 458Кб, 800x1280
800x1280
Screenshot20250[...].png 429Кб, 800x1280
800x1280
Наконец то я от тебя отделаюсь тупое животное
HB/2 можно применять и для ферромагнетиков, без учёта гистерезиса
1) В задаче дана основная кривая намагничивания => подразумевается что намагничиваем из размагниченного состояния. Поинт 1
2) нет переменного тока => гистерезиса нет, учитывать нечего. Поинт 2
Аноним 17/06/25 Втр 21:43:54 602140 191
Screenshot20250[...].png 445Кб, 800x1280
800x1280
Screenshot20250[...].png 411Кб, 800x1280
800x1280
Аноним 18/06/25 Срд 00:08:43 602142 192
Screenshot20250[...].png 408Кб, 800x1280
800x1280
>>602140
Для совсем тугих объяснение почему можно HB/2
Кстати годная книжка
Аноним 18/06/25 Срд 00:12:32 602143 193
>>602142
>можно HB/2
Извиняюсь хуиту сморозил, хотя как mu = B/H так что и так можно.
Там речь что нельзя использовать как скалярное произведение векторов H и B
Аноним 18/06/25 Срд 00:14:44 602144 194
>>602143
А нет таки хуйня если подумать.
В нашем случае это можно потому что в торойде BH сонаправлены
Аноним 18/06/25 Срд 00:15:11 602145 195
>>602144
А вообще получается нельзя
Аноним 18/06/25 Срд 02:29:04 602147 196
>>602128
>Тупорылое говно
>пожалуйста объясни мне решение умоляю
Ахахах ну ты и чорт ебаный.

Только я уже несколько раз написал тебе что - зачем - и почему надо считать. Не представляю хуле тебе тупорылому еще надо.

>Сука я перелапатил несколько курсов
А я буквально не заглядывая никуда тебе сразу написал
>Там что клеточки считать надо?
У нас разница в интеллектуальном уровне как между небом и землей.

>Подводим итоги, а нахер её вообще считать?
Действительно зачем же это? А давай я тебе напомню зачем:
>Я тебе тоже могу накидать графиков кривых намагничивания, тоже будешь так же сидеть ебаться
Но теперь почему то ты с порванной сракой валяешься в луже собственного кала. Просчитался. Но где?

>Такие же правильные как у фейнмана, кривую-линейную зависимость видел на пике? Где твои комментарии?
Что в этом можно прокомментировать:
>Когда петля гистерезиса очень мала, соотношение В и Н приближенно можно представлять в виде линейного уравнения.
Ты не понимаешь что такое "приближенно" или "линейное уравнение", тупорылый?
Ну еще добавлю
>Если в уравнении (36.21) мы воспользуемся приближением В=μН
Значит если не пользоваться приближением нужно взять прямо уравнение 36.21. Посмотри на него, ебанько.

Ты на столько недееспособный мне даже обоссывать тебя стало грустно.

>>602130
Тут все пучком. Если в задаче написано что "μ=4000", это автоматически подразумевает что мы работаем на линейном участке. Могли бы наверное явно это написать чтобы тупорылому дурачку сраку не подорвало - но зачем.

>>602137
>HB/2 можно применять и для ферромагнетиков
Нет.
>без учёта гистерезиса
Дело в нелинейности, а не в гистерезисе.
И откуда твой Китайгородский взял формулу для энергии индуктивности. Из будущего лол. Очень педагогично. Я ж тебе тупорылый уже написал что для нелинейных элементов она не применима (ну намекнул).

>>602140
>Вследствие пропорциональности между B и H
У тебя B и H пропорциональны, ебанашка? Ты сколько еще макулатуры собираешься притащить тупорылый еблан?

>>602142
>Кстати годная книжка
Ну тебе то откуда такие суждения делать с твоими мозгами куриными.
>в случае идеализированных постоянных магнитов
Охуеть как интересно.

Ебнутый, ты там под наркотой что ли?
Аноним 18/06/25 Срд 10:09:07 602152 197
>>602147
Ок убидил, тут я конкретно обосрался
Аноним 18/06/25 Срд 13:22:27 602155 198
175024200505662[...].png 428Кб, 1447x2048
1447x2048
Ну уж тогда мы её добъем.
Если ты есчитешь точно плотность магнитной энергии, надо ещё учитывать что H зависит от радиуса.
Тогда можно посчитать и сравнить с "решением" из иродова
Аноним 18/06/25 Срд 14:36:44 602156 199
>>602155
А не там не оч сильный разброс по H, плюс ебаться с кусочками объёма тора с круглым сечением геморно, ну нахер
Аноним 19/06/25 Чтв 00:03:35 602167 200
image.png 132Кб, 1366x768
1366x768
>>602155
по клеткам 0.8 дж у иродова 2 дж пиздец приблежение.
какого хера он это в ответы вставил?
но в маленьких полях оч хорошо совпадает в 0.1 1: 0.27 и 0.28 дж
Аноним 19/06/25 Чтв 01:33:44 602168 201
>>602152
Ну надо же.

На днях весьма повеселил один коммент, явно твой собрат по разуму писал.
> в водке много калорий потому что в ней очень много сахара
Сколько же на этом свете ебанутых которые везде лезут со своим охуительно весомым мнением.
23/06/25 Пнд 20:43:34 602247 202
Аноним 25/06/25 Срд 19:15:48 602268 203
>>602247
>фатоника
?
Может
фотоника?
Аноним 29/06/25 Вск 08:00:33 602401 204
17508555174180.png 270Кб, 400x400
400x400
>>600909
> Если Толкин спёр - ну и хуй с ним
> 1942-1946
> А вот если физики спёрли у Толкина
> 1905-1940
Аноним 22/07/25 Втр 08:31:00 603263 205
Аноним 23/07/25 Срд 05:02:21 603293 206
>>600909
Толкин все спер из мифологии, а конкретно сотворение материи ("тверди") из пустоты описано в Библии. Физики тоже вдохновляются мифами, создатели атомной бомбы, например, любили почитывать "Махабхарату".
Но в классической науке хотя бы чушь нести было нельзя - нужны были четкие пруфы, а лучше эксперименты, воспроизводимые сторонними экспертами по описанной методике. Вот не нашли пруфов эфира - и выписали эфирщиков из науки, приняли СТО (которая подтверждалась).
Современная новука, увы, от этого отошла. Здесь можно и за глобальное потепление топить, и про сотни гендеров рассуждать, и составлять формулы про количество зеленых человечков во Вселенной (ни одного доказательства разума вне Земли при этом нет).
В общем, странно, что аметисты удивляются кафедре теологии в МИФИ - современный академик ничем от теолога и не отличается. Чем формула Дрейка отлична от формул средневековых теологов про количество ангелов на кончике иглы? Потому в пику теологии пора бы открывать и иные кафедры, ну там астрологию, уфологию, нумерологию...
Аноним 23/07/25 Срд 06:54:08 603299 207
>>603293
>Толкин все спер из мифологии, а конкретно сотворение материи ("тверди") из пустоты описано в Библии.
Это натурально в каждой второй религии написано задолго до Библии.

>Физики тоже вдохновляются мифами, создатели атомной бомбы, например, любили почитывать "Махабхарату".
Они поди ещё музыку слушали. Один сплошной плагиат, а?
>Но в классической науке хотя бы чушь нести было нельзя - нужны были четкие пруфы, а лучше эксперименты, воспроизводимые сторонними экспертами по описанной методике. Вот не нашли пруфов эфира - и выписали эфирщиков из науки, приняли СТО (которая подтверждалась).
>Современная новука, увы, от этого отошла. Здесь можно и за глобальное потепление топить,
Если бы ты не зашорил глаза, ты бы увидел, что антропогенное изменение климата имеет не меньше подтверждений, чем теория эволюции.
>и про сотни гендеров рассуждать,
А набор гендеров -- это вообще просто констатация факта и классификация. Тебя же не удивляет, что у нас дохуя разных видов живых существ, почему же ты так против классификации гендеров?
> и составлять формулы про количество зеленых человечков во Вселенной
А вот это реально просто упражнение для ума, никто в науке этим на самом деле не руководствуется.
Аноним 23/07/25 Срд 07:09:58 603303 208
>>601693
>Как же уже тошнит от этой тупой русофобской пропаганды от малолеток Навального.
Терпи, киберпетушинник.

мимо
Аноним 23/07/25 Срд 07:22:14 603305 209
>>601419
Ну например тот же Intel (по крайней мере то отделение, что работает с аналоговыми чипами) даже чуть ли не у technicians требует минимум диплом магистратуры, но лучше всего PhD. Так что для части узконаправленных специальностей PhD просто необходим, а тут без изучения физики никак. Правда нюанс что углубляться придется именно в отдельные разделы физики (электромагнетизм и прочее), а не учить все от корки до корки на глубоком уровне, иначе так и всей жизни не хватит.
Аноним 24/07/25 Чтв 08:52:14 603332 210
Screenshot20250[...].jpg 103Кб, 800x1067
800x1067
Аноны это канает за объяснение почему полный орбитальный момент L(L+1)?
Я примерно понял почему это не совсем классическое геометрическое сложение векторов, тупо потому что у нас нет lx ly и поэтому результат меньше чем сумма модулей.
Но как вообще пришли к формуле L(L+1)? Есть оператор полного момента? Как он выглядит тогда?
Аноним 24/07/25 Чтв 10:57:05 603333 211
7033773582.webp 59Кб, 738x1000
738x1000
>>600499 (OP)
>200 постов и никто не запостил мегабазу.
Аноним 24/07/25 Чтв 12:05:16 603336 212
175334785438870[...].jpg 6Кб, 224x224
224x224
>>603333
>эфиродинамика
Чувак ты доской ошибся
Аноним 24/07/25 Чтв 13:45:09 603338 213
Эфир.jpg 351Кб, 1478x858
1478x858
>>603336
Нет, ты. Эфир это база физики. Она с него начинала, им и продолжит. Эфир это синоним материи. Физика - наука изучающая движение материи.
Аноним 24/07/25 Чтв 14:09:53 603339 214
>>603338
Ты может и СТО и ОТО отрицаешь, шиз?
Какой эфир нахер, ты ебобо? У него изначально были ебанутые свойства просто чтобы объяснить распространение электромагнитных волн. Нахуй он нужен если скорость относительно него нельзя обнаружить? Зачем тебе нужна сущность которая никак не поддается измерению и с ней нельзя провзаимодействовать?
Жду твои оправдания.
Аноним 24/07/25 Чтв 14:38:54 603340 215
>>603339
>У него изначально были ебанутые свойства просто чтобы объяснить распространение электромагнитных волн.
Какие ебанутые свойства?
>Нахуй он нужен если скорость относительно него нельзя обнаружить?
Как это нельзя?
Опыт с интерферометром с разделенными световодами из оптически плотных сред. Дипольная анизотропия реликтового излучения. Эффект Саньяка.
Аноним 24/07/25 Чтв 14:53:01 603342 216
>>603340
>Какие ебанутые свойства?
ЭМ волны представляют собой поперечные колебания, так?
Поперечные колебания распространяются в твердых телах
=> Эфир должен обладать свойствами твердых тел. Это как?
>Как это нельзя?
опыт трутона и нобла
Опыт Майкельсона
почему они не показывают скорость тогда?
>Опыт с интерферометром с разделенными световодами из оптически плотных сред. Дипольная анизотропия реликтового излучения. Эффект Саньяка.
Уверен, что они имеют адекватные объяснения не нуждающееся в теориях разработанных профессорами из Кащенко
Аноним 24/07/25 Чтв 15:13:51 603343 217
>>603342
>ЭМ волны представляют собой поперечные колебания, так?
Раньше так считали.
>Поперечные колебания распространяются в твердых телах
Да
>Эфир должен обладать свойствами твердых тел. Это как?
Ну как бэ да. Раньше было мало понятно.
Аноним 24/07/25 Чтв 15:19:03 603344 218
>>603342
>Опыт Майкельсона
>почему не показывает скорость тогда?
Лоренц жи предложил что тела в потоке сокращают размеры на масипусечку. Поэтому простые детекторы на разности хода луча, не эффективны.
Аноним 24/07/25 Чтв 15:26:12 603345 219
>>603342
Результат опыта Майкельсона истолкован не логично.

Измеряли наличие эфирного ветра, а не наличие эфира. Соответственно, отсутствие детекта ветра означает, либо отсутствие ветра, либо несовершенство устройства интерферометра. О отсутствии эфира нельзя было сказать, поскольку это база физики, на нем все держится же, весь смысл. Эфир нельзя убрать.
Аноним 24/07/25 Чтв 15:36:37 603346 220
>>603339
>Зачем тебе нужна сущность которая никак не поддается измерению и с ней нельзя провзаимодействовать?
Как это нельзя? Вон МКС крутится по круговой траектории в вакууме. Попробуй также покружи по такой же траектории, аналогичный по массе объект, только вдали от Земли - потребуются затраты гигаватт энергии. А вокруг МКС пустота, вакуум. Так с чем же взаимодействуют атомы МКС в вакууме что получают столько энергии на изменение траектории? Что такое энергоемкое содержится в вакууме?
Аноним 24/07/25 Чтв 15:46:34 603347 221
>>603345
>Измеряли наличие эфирного ветра, а не наличие эфира. Соответственно, отсутствие детекта ветра означает, либо отсутствие ветра
>либо несовершенство устройства интерферометра.
Дайте больше деняххх на более точные интерферометры, яно.
Вообще если ты посмотришь схему даже тогда, он был в состоянии замерить хоть какое-то движение вроде порядка 1км/с не суть.
>Измеряли наличие эфирного ветра
Чувак, земля движется по орбите, если в твое время измерения движение земли совпало с "эфирным ветром" ты можешь провести опыт через пол года тогда эффект будет сильнее тк земля уже будет двигаться против "ветра", что и сделали, но не нашли.
Можно было предположить, что земля увлекает "эфир" но это бы противоречило опытам физо. И звёздной аберрации. => Эфира нет.
Буквально любой учебник общей физики раскрой, там написано.
Опыт физо кстати так же через преобразования Лоренца описывается.
И последний гвоздь забью в гроб твоих кащенских профессоров.
Лоренцево сокращение предложил внезапно Лоренц, чтобы объяснить отрицательный результат опыта и спасти теорию эфира.
Плюс все преобразования вывел Пуанкаре просто ища преобразования координат такие, чтобы уравнения электродинамики были инвариантными.
Минковский заметил что ct, x, y, z дают не евклидово пространство.
Эйнштей просто из готовых фактов сложил как говорится 1+1 и дал нормальную интерпретацию, что скорость света инвариантна, те одна и таже в любой инерциальной системе отсчета. И второе, все законы одинаковы во всех исо. В том числе и законы Эд.
Короче говоря он сказал: "нахуй твой эфир он не нужен формулы и так работают" зачем плодить сущности с которыми не надо взаимодействовать.
Аноним 24/07/25 Чтв 15:48:50 603349 222
>>603346
Ты дурак?
>Международная космическая станция (МКС) находится на низкой околоземной орбите, в пределах атмосферы, на высоте примерно от 390 до 420 километров над уровнем моря. Это экзосфера, верхняя часть атмосферы, где плотность воздуха очень низкая, но все же оказывает небольшое сопротивление движению станции, что требует периодической коррекции орбиты.
Аноним 24/07/25 Чтв 16:08:01 603352 223
>>603349
Это понятно, но ты не будешь же утвеждать что гигаватты она получает от следов атмосверы и солнечного ветра.
Аноним 24/07/25 Чтв 16:13:12 603353 224
>>603347
>Вообще если ты посмотришь схему даже тогда, он был в состоянии замерить хоть какое-то движение вроде порядка 1км/с не суть.
Да Миллер что то там мерил на уровне шумов. Суть в том что в воздухе небольшой детект есть. В вакууме детекта нет. Для такого типа интерферометра нужна оптически плотная среда, чтобы заметить разность хода. А учше разделить световоды и наполнить их разными оптически плотными средами, тогда будет выраженный детект ветра.
Аноним 24/07/25 Чтв 16:13:41 603354 225
>>603352
Оно вокруг Земли крутится. Эти гигаватты энергии она получает от Земли, которая взаимодействие с ней через гравитацию, сиречь искривление пространства-времени. В ответ Земля начинает вращаться немного медленнее.

Где тут кефир?
Аноним 24/07/25 Чтв 16:17:51 603356 226
>>603347
>скорость света инвариантна
Жи есть дисперсия скорости света в вакууме. От взрывов звезд начала приходит высокочастотка, потом низкочастотка. Разные скорости. На масипушечку, но все же.
Аноним 24/07/25 Чтв 16:19:33 603357 227
>>603347
>нахуй твой эфир он не нужен формулы и так работают
Ага, что потом плакался что в его теории эфира не хватает. Рано забанил.
Аноним 24/07/25 Чтв 16:21:01 603358 228
>>603352
>Это понятно, но ты не будешь же утвеждать что гигаватты она получает от следов атмосверы и солнечного ветра.
Нет конечно. Ты о чем вообще?
Для коррекции орбиты спутников включаются двигатели, дальше сообразить как у нее опять энергия увеличивается. Причем там это сделать легче потому что гравитационный потенциал меньше.
Ну и при чем тут твой эфир?
Аноним 24/07/25 Чтв 16:22:18 603359 229
>>603354
У тебя дальнодействие штоле? МЕЖДУ МКС и Землей, находится, внезапно, пространство. Которое наполнено чем? Вот через это ЧТО и происходит взаимодействие.
Аноним 24/07/25 Чтв 16:23:46 603360 230
>>603353
>Да Миллер что то там мерил на уровне шумов. Суть в том что в воздухе небольшой детект есть. В вакууме детекта нет. Для такого типа интерферометра нужна оптически плотная среда, чтобы заметить разность хода. А учше разделить световоды и наполнить их разными оптически плотными средами, тогда будет выраженный детект ветра.
Ты вообще то, начал с того что вакуум это фейк, нахер тебе оптическая среда тогда?
Ты учел уменьшение скорости света в среде?
Твой опыт физо и с сто объясняется прекрасно
Аноним 24/07/25 Чтв 16:43:15 603362 231
>>603359
>Вот через это ЧТО и происходит взаимодействие.
Через гравитационное поле
А ты думал, что через кефир?
Аноним 24/07/25 Чтв 16:46:06 603363 232
>>603362
>А ты думал, что через кефир?
Чем вам так не нравится слово эфир? Ну ладно, буду говорить не эфир, а материя, смысл не меняется.
>Через гравитационное поле
Гравитационное поле материально?
Аноним 24/07/25 Чтв 16:46:37 603364 233
>>603356
А гопота говорит, что в вакууме дисперсии нет.
>В вакууме скорость света не зависит от частоты или длины волны, то есть дисперсия скорости света в вакууме отсутствует
>Жи есть дисперсия скорости света в вакууме.
Ты это в учебнике Кащенского профессора почерпнул?
Аноним 24/07/25 Чтв 16:48:11 603365 234
>>603360
>Ты учел уменьшение скорости света в среде?
Да, именно из-за этого компенсация сокращением Лоренца нарушается.
Аноним 24/07/25 Чтв 16:50:58 603366 235
>>603363
>Гравитационное поле материально?
Ну да. Ты даже можешь массу прикинуть. Через E=mc2
Из сто кстати, а не из чефиродинамики.
>эфир? Ну ладно, буду говорить не эфир, а материя, смысл не меняется.
Нахуй называть материю эфиром? Чем тебе не нравится материя? Встречный вопрос.
ЭМ взаимодействие переносится фотончиками. Доказано, гугли опыт Боте.
Гравитационное вроде как тоже фотончиками переносится. Гравитоны не нашли.
Аноним 24/07/25 Чтв 16:58:13 603368 236
>>603359
Ничем оно не наполнено. Зачем тебе чем-то его наполнять?

>>603366
>Гравитационное вроде как тоже фотончиками переносится.
Ты с ума сошёл? Вот уж чем-чем, но не фотонами. У всех четырёх сил свои отдельные переносчики. Ну или возможно их нет, в случае гравитации.
Аноним 24/07/25 Чтв 16:59:16 603369 237
>>603366
>Нахуй называть материю эфиром?
Исторически более старое название, всего то. А так смысл одинаков. Поэтому охладите трахание.
Аноним 24/07/25 Чтв 17:01:13 603370 238
>>603368
>Ничем оно не наполнено. Зачем тебе чем-то его наполнять?
Материя там есть?

Вот если из вакуума убрать все фотоны, нуклоны, лептоны и прочее вещество. Материя там останется?
Аноним 24/07/25 Чтв 17:01:21 603371 239
Screenshot20250[...].jpg 180Кб, 800x1071
800x1071
>>603365
>Да, именно из-за этого компенсация сокращением Лоренца нарушается.
Чё несёшь вообще.
Вот тебе расчет из сто
Все бьётся, без всяких кефиродинамик. Нахуй она нужна тогда?
Ты понимаешь как работает наука? Чтобы теория кефира заменила ТО надо, чтобы теория кефира была не противоречивой уже не проходит и предсказывала/объясняло то что не может сто.
Аноним 24/07/25 Чтв 17:04:34 603372 240
>>603368
>Ты с ума сошёл? Вот уж чем-чем, но не фотонами
Ой действительно попутал, соре
Аноним 24/07/25 Чтв 17:06:37 603373 241
>>603369
>Исторически более старое название, всего то
Нет, кефир был придуман как среда в которой распространяются электромагнитные волны. И только. Поэтому кефир не нужен. Материя должна быть более древним терменом.
Аноним 24/07/25 Чтв 17:11:10 603374 242
>>603373
>среда в которой распространяются электромагнитные волны.
А сейчас электромагнитные волны не в материальной среде распространяются?
Аноним 24/07/25 Чтв 17:12:10 603375 243
Screenshot20250[...].jpg 208Кб, 800x1072
800x1072
Бамп вопросу >>603332
Где найти пояснение именно про то как вывести (L(L+1)) для оператора квадрата полного механического момента? В Сивухине только векторная диаграмма
Аноним 24/07/25 Чтв 17:15:58 603376 244
>>603374
>А сейчас электромагнитные волны не в материальной среде распространяются
В вакууме, ну да материальная среда. но это не кефир
Чувак у тебя (E2+H2)/2 это вообще вероятность зарегистрировать фотон вот так и распростаняются
Аноним 25/07/25 Птн 19:33:47 603419 245
Хорошо кефиродинамиков обоссали
Аноним 25/07/25 Птн 22:12:44 603427 246
>>600499 (OP)
У Толкина в Сильмариллионе вначале была пустота. И жыл Бог Илуватар. Ему стало сучно и он стал петь пестни.

Запилит симфонию - появятся эльфы.
Зачитает рэп - появятся негры.
Завоет блатняк - заспавнятся русские.

Ничо не напоминает? А мне и напоминает квантовую физику в которй из пустоты при колебании её появилась Арда. Ноль родил единицу.

Мне непонятно только одно: кто у каво спиздил идею колебания пустоты: Толкин у физиков или физики у Толкина?

Если ТОлкин - то и хуй с ним. Писатель-фантаст подводит научную базу под свои сказки.

А вот если физики начитались ТОлкина, то это приводит к двум мыслям.

1. Квантовая физика - пиздёжь.
2. А если не пиздёжь, то основоположником Кв. Физики надо объявить Толкина и дать ему нобельную премию.

А разница между Толкином и физиками только в том, што у Толкина есть причина колебаний пустоты (Бог), а у физиков причины нету - сама от нехуй дела пустота колеблется.
Аноним 26/07/25 Суб 01:29:45 603433 247
Аноним 26/07/25 Суб 05:50:31 603441 248
>>603370
Нет. Если всё убрать, то материи там не будет.
Аноним 22/11/25 Суб 17:47:41 606134 249
176382266673182[...].jpg 602Кб, 1000x982
1000x982
>>600499 (OP)
Все ваши Савельевы и Сивухины, которые вы тут нарекомендовали - говно.
Вот нормальный курс.
Аноним 27/11/25 Чтв 11:24:06 606303 250
>>606134
Говно, Ландау курить надо.
Аноним 27/11/25 Чтв 12:16:31 606305 251
>>606303
Ну вот после него и можно курить.
Причем книга оказалась реально крутой, там много примеров из техники, и нормально описан пьезо и пироэлектрический эффект, ещё есть про электрофорез, электроэндосмос. Всякие описания опытов. Реально нормальный курс общей физики - накидывает кучу экспериментальных фактов и основных закономерностей.
Если добавить к нему Джанколи или Фэйнмана будет пушка.
После этого спокойно дрочишь Ландау
Аноним 05/12/25 Птн 13:42:56 606428 252
176493054590537[...].jpg 21Кб, 516x387
516x387
176493085590043[...].jpg 9Кб, 211x238
211x238
176493096328014[...].jpg 8Кб, 177x250
177x250
176493127218458[...].jpg 37Кб, 390x512
390x512
>>600499 (OP)
Краткий гайд по физике, если учишь для себя:
1 Джанколи - нормальная книга по вводному курсу физики для американских вузов. Там все разжевано. И есть примеры из техники типа устройства электродвигателя или там электронно лучевой трубки. Написано так, что поймет даже дебил.
2 Орир, которого тут упоминали. Там поменьше материала, но хорошо описаны кванты можешь прочитать этот раздел от туда.
3 типлер современная физика. Если хочешь подразобрать получше сто и кванты.
На этом можешь считать, что ты ознакомился с общей физикой.
Задачки бери из книги Резника, если решишь все считай будешь умнее любого студиота из МухГУ
Если можешь в инглиш, слушай лекции Левина по физике от MIT. Они следуют Джанколи так как они его и читают
Там крутые демонстрации и вообще общий стиль изложения. По сравнению с ним лекции Овчинникова говно. На русском есть Козел, если найдешь записи его лекций по электричеству и магнетизму.

Для души можешь почитать Фэйнмана.

Необходимая математика есть на четвертом пике.
Любой шиз, который скажет читать талмуды типа Фихта -- даун.
Аноним 05/12/25 Птн 21:09:16 606448 253
>>600499 (OP)
>захожу на двач в поисках новых знаний
Тупиковая ветвь развития
Аноним 22/12/25 Пнд 23:38:04 606806 254
>>606448
Отнюдь, сударь, отнюдь.
Аноним 23/12/25 Втр 15:38:35 606819 255
+
Настройки X
Ответить в тред X
15000
Добавить файл/ctrl-v
Стикеры X
Избранное / Топ тредов