[Ответить в тред] Ответить в тред

02/12/16 - Конкурс визуальных новелл доски /ruvn/
15/11/16 - **НОВЫЙ ФУНКЦИОНАЛ** - Стикеры
09/10/16 - Открыта доска /int/ - International, давайте расскажем о ней!



Новые доски: /2d/ - Аниме/Беседка • /wwe/ - WorldWide Wrestling Universe • /ch/ - Чатики и конфочки • /int/ - International • /ruvn/ - Российские визуальные новеллы • /math/ - Математика • Создай свою

[Назад][Обновить тред][Вниз][Каталог] [ Автообновление ] 0 | 1 | 0
Назад Вниз Каталог Обновить

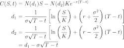
Кванты, BB, IB Аноним 07/04/17 Птн 19:32:39  984453  
Sup, 2ch
В архиваче нашел ссылку на чат в тг по квантам, иб и прочим 60+ часов в неделю интересным проффессиям.
Реквестирую ссылочку.

[Назад][Обновить тред][Вверх][Каталог] [Реквест разбана] [Подписаться на тред] [ ] 0 | 1 | 0
Назад Вверх Каталог Обновить

Топ тредов
Избранное