[Ответить в тред] Ответить в тред

02/12/16 - Конкурс визуальных новелл доски /ruvn/
15/11/16 - **НОВЫЙ ФУНКЦИОНАЛ** - Стикеры
09/10/16 - Открыта доска /int/ - International, давайте расскажем о ней!

Check this out!


Новые доски: /2d/ - Аниме/Беседка • /wwe/ - WorldWide Wrestling Universe • /ch/ - Чатики и конфочки • /int/ - International • /ruvn/ - Российские визуальные новеллы • /math/ - Математика • Создай свою

[Назад][Обновить тред][Вниз][Каталог] [ Автообновление ] 508 | 91 | 145
Назад Вниз Каталог Обновить

Моряки. Официальный тред №43 Аноним 16/02/17 Чтв 18:38:58  907341  
GS4001.jpg (75Кб, 800x600)
1382357955pirat[...].jpg (183Кб, 1280x1024)
agna69190572910[...].jpg (168Кб, 940x705)
MARPOL73-78Inst[...].png (2603Кб, 1000x1413)
Предыдущий тред тонет здесь – https://2ch.hk/wrk/res/884116.html

Блог для тех сухопутных, которые хотят погрузиться в атмосферу: http://marinecrew.info
Трекер с литературой и прочей информацией для моряков: http://seatracker.ru
Морской форум - как и где получить доки, отзывы о крюингах, масса полезной информации: http://www.morehod.ru/forum/
Сайт с инфо о любом судне: местоположение в текущем времени, фото, технические данные: http://www.marinetraffic.com/ru/
Рассчитать место судна по трем звездам за 20 минут? Легко! Годные видеогайды по морской астрономии, приливам и прочим ништякам для кадетов, матросов и штурманов появляются тут: http://key4mate.com.ua
Также подборочку можно скачать здесь: http://seatracker.ru/viewtopic.php?t=279
Блог ответы на вопросы моряков http://www.burn-media.ru/index.php/proekty/2014-10-01-19-59-34

Платиновые вопросы Общий FAQ ДА-ДА И ПРО ВМФ ТОЖЕ http://pastebin.com/wkKLFx5q

Коротенький, но атмосферный рассказ бывшего вояки КаПеРанга на пенсии, решившего таки СТАРТАНУТЬ в гражданском флоте
http://www.proza.ru/2015/03/30/420

http://odessacrewing.borda.ru - морской форум для укроморяков и не только

Для желающих узнать о salary моряков или просто поинтересоваться вакансиями:
http://www.jobatsea.org
http://maritime-zone.com
http://crewmarket.net
http://crewell.net
http://crewdata.com

Небольшой гайд о том, где хранить эту свою salary в условиях шатающейся экономики СНГ http://pastebin.com/diGSNRfh

http://pastebin.com/JyuNvJ2Q - Полезные ссылки (форумы, трекеры и все то, что поможет начинающим и не только).
http://pastebin.com/1RBSxL90 -О ВМФ в контексте торгового флота.

Архив предыдущих тредов (Есть вопрос – почитай их, уверяю, на него уже давно дали ответ):

1. Первый тред был безвозвратно утерян. Почтим память основателя.
2. http://arhivach.org/thread/18001/ - о том как собирать чемодан в дальние моря и вязать удавку.
3. http://arhivach.org/thread/28577/ - весь в монологах о судах и немытых неграх.
4. http://arhivach.org/thread/40289/ - о нелегкой кадетской доле и немного об оффшогье.
5. http://arhivach.org/thread/40669/ - пропитан романтикой Востока.
6. http://arhivach.org/thread/61516/ - о бравом Тузлуке и немного про орфографию.
7. http://arhivach.org/thread/69389/ - про декаданс и томительное ожидание списания.
8. http://arhivach.org/thread/72276/ - паранормальный.
9. http://arhivach.org/thread/78122/ - о кофеварках за 5к$ и амбициозных неофитах.
10. http://arhivach.org/thread/86235/ - насыщен страхом перед великой и ужасной МЕДКОМИССИЕЙ.
11. http://arhivach.org/thread/94238/ - о абитуриентах, шаурме и поросятах по имени Петр.
12. http://arhivach.org/thread/98261/ - о гомошутках и армии. Проситесь на флот, посоны.
13. http://arhivach.org/thread/100233/- о квадрокоптерах.
14. http://arhivach.org/thread/101269/ - о засилье школьников и мысли о перекате на форчан.
15. http://arhivach.org/thread/104576/ - о боязни окулиста на медкомиссии.
16. http://arhivach.org/thread/111037/ - о чисто плотных индонезах.
17. http://arhivach.org/thread/115076/ - об арктическом факультете и с вопросами воннаби-морячков.
18. http://arhivach.org/thread/119672/ - (чудом не проёбаный)
19. https://arhivach.org/thread/125425/ -о духовно богатых личностях в коллективе и вопросы ньюфагов.
20. https://arhivach.org/thread/129786/ - о музыке и музах.
21. http://arhivach.org/thread/133189/ - Новогодний.
22. http://arhivach.org/thread/142852/ - обо всем и не о чем.
23. https://arhivach.org/thread/147157/ - набег ньюфагов и записки морянов.
24. https://arhivach.org/thread/147588/ -все те же вопросы, все те же ответы (стабильность, епту).
25. http://arhivach.org/thread/160047/ - немного о газовозах, закончился срачебугуртом.
26. https://arhivach.org/thread/163452/ - очередной срач по поводу возраста и снова пояснения для нюфань.
27. https://arhivach.org/thread/169500/ - со стремящиеся мотористы и записками Оффшогника.
28. https://arhivach.org/thread/172880/ - фап, аниме и рисовозки.
29. https://arhivach.org/thread/175419/ - на 80% срач и бугурт.
30. https://arhivach.org/thread/176841/ - о том, что начинать морскую карьеру, если ты старше 15 лет - поздно.
31. http://arhivach.org/thread/177686/ - разглядывание фоточек кадетши немки, кают и прочего.
32. http://arhivach.org/thread/182988/ - 80% вменяемости, прогресс.
33. http://arhivach.org/thread/185264/ - очередной набег троллей новичков и объяснением, как проводить грузовые операции на танкерах.
34. http://arhivach.org/thread/186821/ - срач на тему какой тип судов самый моряцкий у моряков об элитарных направлениях флота - рыбаках и балкерах
35. http://arhivach.org/thread/188785/ - пытаемся отличить ответы тролей от нетролей, обсуждем ногти второго механика
36. http://arhivach.org/thread/190463/ - охуительные истории
37. http://arhivach.org/thread/197672/ - о том, о сем
38. http://arhivach.org/thread/208326/ - о электричестве, покупке квартиры в селе и яхтсменах
39. http://arhivach.org/thread/215611/ - заЛЁТНЫЕ шизики, репорты курсантов мореходок, новые записки 2-ого механа, боль рядовых
40. http://arhivach.org/thread/226004/ - неймфаги уходят в рейсы, тред никак не хочет перекатываться
41. http://arhivach.org/thread/234238/ - Новогодние поздравления, записки Оффшогника, и опять снова боль рядовых
42. http://arhivach.org/thread/239552/ - Дипломы рядовых, биопроблемы, фотографии от местных днищей
Аноним 16/02/17 Чтв 18:39:48  907343
Успешная морская карьера в 95% случаев это удача и немного умения

Итак, ты решил связать свою судьбу с морем? А может, просто, ищешь свой путь и это один из вариантов? В любом случае у тебя наверняка есть вопросы, чуть ниже ответы на некоторые из них:

>Вопрос возраста.
Смотри заголовок про удачу, я знаю немало удачных примеров. Есть подводные камни: на уровне свежих выпускников ты, скорее всего, будешь смотреться не очень, и будешь тупить ничего личного, это статистика. Придется доказывать, что ты не престарелый лузер, причем расклад, скорее всего, будет не в твою пользу.

> Медкомиссия.
У моряков своя медкомиссия, которая никаким образом не пересекается с другими комиссиями (военная, водительская и т.д.) Ее необходимо проходить в специальных, аккредитованных, медицинских центрах. Их перечень с легкостью подскажет Google. Если у тебя есть конкретный вопрос по здоровью обратись к ним за консультацией.

>Кем лучше стать? /Карьера.
Это вопрос из серии "синий или красный", кому что ближе. У штурмана работа более чистая, а механик всегда сможет бросить море и найти неплохую работу на берегу.

>Электромеханик. Что лучше механик или электромеханик?
У электромеханика есть два подводных камня: нет карьерного роста с другой стороны и стартовая сумма больше, чем у самого младшего механика и они есть далеко не на всех судах, штурмана и механики есть на всех и обычно их несколько. Но если ты, к примеру, отработал 10 лет наладчиком ЧПУ, то я бы выбрал электромеханика это ближе, да и конкуренции с молодежью будет меньше.

>Вхождение в профессию.
Есть два стула: рядовые и офицеры. Рядовые это матросы и мотористы судовых электриков почти не осталось в принципе, а офицеры это штурмана, механики и электромеханик (судовых программистов, переводчиков и врачей не завезли).

>Рядовой состав (матросы/мотористы/буфетчики/коки и кокши).
Уже несколько тредов идет хайп про то, что наши рядовые не нужны все места заняты филлипинцами и тд это правда но наполовину. Работы стало намного меньше, чем было лет 7 назад, исчезло очень много вкусных вакансий как раз занято филлипинцами осталось что-то сорт оф плавучего завода с начальниками-дураками, быдлом и прочим, но работа все еще есть. Это все еще довольно большие деньги до 1,8 тысяч долларов в месяц для матроса на танкере, но шанс соснуть с местом работы очень велик, если есть возможность идти офицером, то надо им идти. Там и деньги бОльшие в разы от 2 до 10 раз и работы больше, но нужно образование.

>Служба в армии.
Ненужна, нужно окончить морской ВУЗ или ССУЗ средуха. ВУЗ крайне желателен, потому, что проще с работой и другие карьерные перспективы.

>Люди, получившие ранее высшее образование.
Тебе перезачтут часть предметов, но учиться придется снова. В теории тебе нужен рабочий диплом, его выдают в мореходке вместе с таким же, как и у тебя (итого два диплома) и его как бы можно получить и без учебы в мореходке, но про такие случаи я не слышал, их нет.

>Заочная форма обучения?
Смотри заголовок про удачу, умения и знаний на заочке не дают. Не лучший вариант.

>Иностранные языки.
Английский, он в работе необходим.
Аноним 16/02/17 Чтв 18:59:20  907396
Реквестирую требований по зрению в тред. Нам же проще будет
Аноним 16/02/17 Чтв 19:21:22  907430
18Konteinerovoz[...].jpg (66Кб, 960x535)
Предыдущий тонет тут
https://2ch.hk/wrk/res/884116.html
Аноним 16/02/17 Чтв 20:08:40  907512
rps201702162108[...].jpg (27Кб, 640x854)
Успели, не проебали прошлый тред. Бамп некрокраном.
Аноним 16/02/17 Чтв 20:47:58  907625
>>907512
>Успели, не проебали прошлый тред. Бамп некрокраном.
Так хули, вон позапрошлый ещё не смыло
Аноним 16/02/17 Чтв 21:14:34  907717
>>906950
>считается с момента получения рабочего сертификата
Ну тогда ОК - у меня значит будет считаться. А вот если до вахтенного работал - тогда да, не будет.
>>906996
>Один Коваленя чего стоит
Кёниг-хуй, залогиньтесь!
>>907035
>12 месяцев и тебе дают квалификацию
Всё равно сдавать экзамен.
>>907092
>А энджин кадет разве может вахту нести?
Под присмотром дипломированного специалиста.
>>907295
>Проблема в том, что тот кто всегда перекатывал тред, похоже что ушел в море
Я пару тредов перекатывал, сейчас просто не могу из-за мобильного инета.

Кёниг почти не днищ
Аноним 16/02/17 Чтв 21:55:35  907838
>>907717
Ну а я не могу перекатывать потому что:
а) с телефона
б) синий
Но какая в этом разница?
Аноним 16/02/17 Чтв 22:57:50  908023
>>907341 (OP)
Что за древний марполовский постер? не вводите анонов в заблуждение
Аноним 16/02/17 Чтв 23:00:24  908031
>>908023
Двачую. Все сдвинулось за 12-мильную зону. Ну а после 200-мильной можно просто Ебать гусей на камеру, всем похуй
Аноним 16/02/17 Чтв 23:16:43  908078
>>907838
Зачем тогда написал, если нет разницы?
Аноним 16/02/17 Чтв 23:42:42  908127
fotonoexif 321.jpg (200Кб, 1018x826)
fotonoexif31.jpg (540Кб, 1632x1224)
fotonoexif 312.jpg (832Кб, 1632x1224)
Кстати, почему немцы разрешают мыться в киле? Мусор кидать нельзя, а мыться хоть с метал брайтом и мылом. Пыль вперемешку с гризом, сажей из трубы и прочей ебалой льется в канал, а немцы там рыбачат.
Аноним 16/02/17 Чтв 23:44:32  908131
2012-11-07-ship[...].jpg (1122Кб, 2154x2628)
>>908031
Щито? Только пищевые отходы за 12 миль вне особой зоны. Все остальное сдавать на берег/сжигать в инсенераторе.
Аноним 16/02/17 Чтв 23:46:10  908133
>>908023
А я ебался искал себе и учил. Скиньте актуальный, пожалуйста. Заебали эти экологи уже.
длинный пьяный автор переката...
Аноним 16/02/17 Чтв 23:54:57  908149
>>908133

>>908131 - this
Аноним 17/02/17 Птн 08:41:03  908352
IMG201702170922[...].jpg (511Кб, 2104x1184)
IMG201702170922[...].jpg (472Кб, 2104x1184)
Аноны, кто заказывал клапана и вообще внутряки для смывания говна? Именно такие как пике, Hansba. Стоят на большинстве китайских судов, в независимости от назначения. Гугол знает только саму кнопку, клапан смывания и поплавок. А мне нужен именно верхний клапан-фильтр и шланг.
Аноним 17/02/17 Птн 08:44:11  908355
>>906996
>Один Коваленя чего стоит. Сам с ним не пересекался пока, но наслышан и от приятелей и от мужиков с курсов, что он творит какую-то неведомую дичь
Коваленя нормальный мужик. Я трижды ему сдавался на получение \ продление диплома, каждый раз он брал документы без придирок, несмотря на то, что у меня были косяки в доках. Где-то в цензовой дед забыл расписаться, где-то в заявлении даты выдачи сертификатов перепутал или накосячил с ксерокопиями.. Последний раз диплом мне выдал за день и принял доки, несмотря на то, что у меня не было части ксерокопий и ВМП. Вот уйдет он, поставят какого-нибудь мудака, тогда всплакнем еще.
Аноним 17/02/17 Птн 11:57:58  908440
>>908133
>Заебали эти экологи уже.
Не все хотят жить в таком говне, как живут в рашке, славу Б-гу.
Аноним 17/02/17 Птн 15:25:20  908699
>>908352
Во-первых название не то, на фото же написано HANSBO иначе не найдешь
Во-вторых вот их сайт, такие вещи заказываются комплектами а не по-детально
http://www.hansbo.cn/en/products-188-3.html
В-третьих ебать у тебя толстая рука. Сколько ты весишь?
Аноним 17/02/17 Птн 17:13:13  908782
IMG201702171813[...].jpg (968Кб, 1776x3156)
>>908699
Опечатался. Был я на сайте. Там и комплекта моего нет...
С хуя ли рука жирная? Кадр неудачный просто. Вес 75
Аноним 17/02/17 Птн 17:15:35  908783
>>908782
Да ладно заливать, мы тебя раскусили жироняша.
Аноним 17/02/17 Птн 18:43:56  908913
>>908782
Ногти давай показывай! А то может как у быдла.
Аноним 17/02/17 Птн 18:50:49  908917
IMG201702171952[...].jpg (971Кб, 1776x3156)
>>908913
Ясен хуй как у быдла. С грязью, немного отросшие. Короче как у тру механика
Аноним 17/02/17 Птн 19:14:45  908950
>>908782
75 кг при росте 180?
Аноним 17/02/17 Птн 19:17:46  908956
>>908950
170. Я карлан
Аноним 17/02/17 Птн 19:41:40  909002
Моряки, подскажите пожалуйста няфане за морскую школу "Омегашип" в Керчи. Что из себя представляет? Интересно мнение опытных моряков о такой сфере.
Аноним 17/02/17 Птн 20:24:52  909079
>>908956
Я так же вешу, лол. Только я на 10 см выше
Аноним 17/02/17 Птн 21:03:08  909145
samye-korotkie-[...].jpg (136Кб, 640x480)
>>908917
Так это нормальные как раз, как у элиты. У быдла - пикрил.
Аноним 17/02/17 Птн 21:10:57  909167
>>909145
>>908913
>>908917
Вот опять вы вскрыли эту тему. Вот нахуя? Печет жи
Аноним 17/02/17 Птн 21:14:33  909175
>>909167
Ты их грызешь что-ли?
Аноним 17/02/17 Птн 21:55:46  909234
H6bWmItMkco.jpg (227Кб, 936x1664)
Бамп
Аноним 17/02/17 Птн 21:59:54  909239
>>909234
Это што? диванон?
Аноним 17/02/17 Птн 23:25:32  909324
>>908127
Бамп вопросу
Аноним 18/02/17 Суб 00:29:49  909357
>>908127
Пишу с дивана
Так мусор разлагается пиздец долго
А тут - вода и вода: сажа и пыль осядет на дне, ПАВы и щелочь разбодяжатся. Но вот на счёт лютой химозы - тут, конечно, хз
и да, шо такое "гриз"?
Аноним 18/02/17 Суб 00:37:02  909359
oil-grease-remo[...].jpg (31Кб, 300x250)
lubricants-grea[...].jpg (77Кб, 400x400)
TCL-Grease-No2.jpg (7Кб, 150x197)
>>909357
Аноним 18/02/17 Суб 04:26:42  909403
коллеги, пользуется кто-то каким-нибудь полезным софтом для андроида? посоветуйте годноты
недавно вот нашёл чеклисты от ллойдовского регистра для подготовки к проверкам пск
https://play.google.com/store/apps/details?id=org.lr.portstate
Аноним 18/02/17 Суб 05:16:37  909405
>>909239
Второй механ пытается тролить оффшогника
Аноним 18/02/17 Суб 06:25:15  909408
>>909359
Это какой-то сканворд?
>Нефть
От анонов за распрастронение процессоров
>Горящее колесо
Медведю
>Сгущенка
За цп
Медведь-педобир, элементарно
Аноним 18/02/17 Суб 07:32:32  909416
smeh.webm (1334Кб, 320x240, 00:00:35)
>>909408
>Горящее колесо
Аноним 18/02/17 Суб 08:50:37  909437
>>908127
> Кстати, почему немцы разрешают мыться в киле? Мусор кидать нельзя, а мыться хоть с метал брайтом и мылом. Пыль вперемешку с гризом, сажей из трубы и прочей ебалой льется в канал, а немцы там рыбачат.
В принципе, марпол никак не регламентирует слив за борт сажи в растворенном в воде виде Annex 6 про сажу, но в виде выхлопа из трубы
А вот Metal Brite это Annex 2 а grease это Annex 3 наверное так что сие косяк. Другое дело что и того и другого выливается такое маленькое количество, что никто не заметит а уж немец рыбак и подавно. Зато если лоцман услышит об этом в разговоре или заметит что-то подобное, то наверняка заложит.
Вангую еще что у вас там переходы оче короткие и помыться где-то в море просто нет возможности.
Аноним 18/02/17 Суб 10:09:16  909459
>>909416
> >Горящее колесо
Вы только подумали, а в Африке уже сделали

https://en.m.wikipedia.org/wiki/Necklacing

https://video-tub-ru.yandex.net/i?id=6219512065b4eea85c630cf972e5653f-00-96&n=1040&w=564&h=318
Аноним 18/02/17 Суб 11:51:46  909498
>>909408
Чет орнул в голос
Аноним 18/02/17 Суб 12:16:01  909508
>>909234
Откуда пикче?

http://iqdb.org/?url=https%3A%2F%2F2ch.hk%2Fwrk%2Fsrc%2F907341%2F14873577461150.jpg
Аноним 18/02/17 Суб 12:56:36  909524
>>909508
Второй механ вроде не анимупидар...
Аноним 18/02/17 Суб 13:00:42  909528
>>909524
Так на пике же офшорнек. Может он?
Аноним 18/02/17 Суб 13:33:58  909554
>>909437
Спасибо
Аноним 18/02/17 Суб 14:06:56  909573
>>909528
Та не, не я. На фото вообще какая-то пасмурная погода, в эмиратах такое редкость
Аноним 18/02/17 Суб 16:00:44  909708
>>909573
Чем докажешь что не ты?
Аноним 18/02/17 Суб 16:44:36  909738
>>909708
Могу элитные ногти еще раз пруфануть
Аноним 18/02/17 Суб 17:08:19  909755
>>909738
Ну так то да, это пруф, лол.
Расскажи лучше что у вас там происходит в Эмиратах?
Аноним 18/02/17 Суб 17:59:11  909817
>>909755
Да все как обычно. Ремонты ЗАВОСЕМЬДНЕЙМАКСИМУМ, араб ебет мозги регулярно. Ничего нового и интересного.
Аноним 18/02/17 Суб 18:40:15  909861
>>909817
Арабы по субботам работают или это харам?
Вообще побампай фоток в тред, особенно если есть из машины из серии было/стало
Аноним 18/02/17 Суб 19:59:35  909918
>>909861
У них пятница выходной, но наш араб и в пятницу на борту. Ниразу не видел чтоб он молился. Дед от этого бугуртит малец, так как оба муслимы. У деда все четко, пять раз в день.
С фотками проебался. Хотел сфоткать до и забыл. Сейчас могу сделать только "между".
Аноним 18/02/17 Суб 20:12:39  909938
>>909573
Пиздишь. Вот только позавчера песчанная буря была небольшая, ветер, даже дождь лил, я аж охуел с такой неожиданности.

Мимотреха
Аноним 18/02/17 Суб 20:46:04  909965
>>909938
Да и так понятно, что это он. Тот же выпуск, той же специальности, огромное число групп с автобарахолками любители некропрулей поймут итд.
Но не хочет палиться и чтобы называли в треде Сережа, вот и маневрирует, лол.
Аноним 18/02/17 Суб 20:57:54  909976
IMG201702190159[...].jpg (622Кб, 2104x1184)
>>909938
Было дело. Сегодня тоже чуть пасмурно было. Но это не частое явление. А ты давай там пили что за треха, на чем.
>>909965
Хуевый Шерлок из тебя. То Алеша, то Сирожа.
Бамп адг
Аноним 18/02/17 Суб 21:11:32  909985
>>909976
Да знаю, что редко, но последние несколько недель погода временами не очень. Вон дней 10 назад штормило в оманском море и персидском заливе по ощущениям, как будто в Бискай попал. Да ничего особенного, третий помоха с хеви лифта, правда нас поставили на контейнерную линию, так что без хеви лифтов, ходим Оман - Эмираты, заходы по 3-4 часа - тлен и уныние в город не выбраться, но я уже второй контракт тут, так что привык.
Аноним 18/02/17 Суб 21:46:16  910010
>>909985
Расскажи про хэви лифты. У тебя тот который притопляется или тот что с кранами? Как проходит расчет остойчивости? Кто и как кокпит груз?
Побампай фотками груза плз
Аноним 18/02/17 Суб 21:46:33  910011
>>910010
Крепит, не кокпит
Аноним 18/02/17 Суб 22:43:16  910063
>>909985
Кто судовладелец? Сколько платят? Пили про крю, состояние судна и прочее
Аноним 18/02/17 Суб 22:46:48  910071
>>910010
Обычный хевик с кранами не притопляемый. Расчет остойчивости в спец проге делается (тысячи их, в каждой компании своя) easycon называется. Все зависит от груза, чаще всего экипаж крепит и за это кстати доплачивают норм, если много хеви лифтов матросы чуть ли не двойную зарплату получают за счет этого, штурмана тоже неплохо получают за это, а вот машина в пролете, они же не участвуют в грузовых операциях. Но сейчас все плохо, мы возим контейнеры, хеви лифтов нету, так что бонусного бабла нету. Могу поискать фотки старых грузов, но это позже уже будет.
Аноним 18/02/17 Суб 22:57:13  910087
>>910063
Зарплата 3к. Судовладелец Оман, но менеджмент от индийского офиса v.ships. Экипаж все с России и Украины, ни филипков ни индусов ничего такого нет. На судне царит совок, рабочий день у матросов до 18, я с утра на палубе, вахты только вечером стою, но после сплита я привыкший, так что норм. В целом судно крайне убитое, его филипки с постройки гондонили и наши экипажи только 2 года назад сели, что смогли починили, но косяков еще прилично.
Аноним 18/02/17 Суб 23:54:58  910139
>>910071
Да, фотки были бы очень кстати.
>>910087
Есть кулстори про экипаж: пьянки, неадекваты итд?
Аноним 19/02/17 Вск 00:30:22  910186
IMG-14840810172[...].jpg (1885Кб, 3264x1840)
Вечер в каюту, посоны! Я снова на связи. Вчера в машину прибывало пополнение - я предложил полотенце белое в ЦПУ постелить, а он не догнал. А что интересного у вас?

ББК.
Аноним 19/02/17 Вск 00:32:16  910189
>>910186
Он - это дед наш.

А это баланда от филипасовского повара.
Аноним 19/02/17 Вск 00:32:41  910190
IMG-14858813999[...].jpg (1297Кб, 3264x1840)
Аноним 19/02/17 Вск 00:35:56  910195
>>910190
Нихера себе, табаску жрут! Лакшери, ёпту! А это чё, суп с бобами?
Аноним 19/02/17 Вск 01:06:01  910259
IMG-ba6bc0cd07e[...].jpg (2268Кб, 3264x2448)
IMG-14858814895[...].jpg (1800Кб, 3264x1840)
>>910195
Гороховый то.
Аноним 19/02/17 Вск 01:09:05  910268
1487448634296.jpeg (17Кб, 288x512)
1487448634726.jpeg (18Кб, 512x288)
Рыбак кум на связи
Аноним 19/02/17 Вск 01:12:08  910280
1487448810110.jpeg (130Кб, 512x288)
1487448810514.jpeg (127Кб, 512x288)
Аноним 19/02/17 Вск 01:13:36  910286
>>910268
Сильно вьебывать там надо? Летом нихера не платят а зимой хер устроишься?
Аноним 19/02/17 Вск 01:16:05  910293
1487449046140.jpeg (122Кб, 512x288)
1487449046543.jpeg (147Кб, 288x512)
Аноним 19/02/17 Вск 01:18:59  910302
1487449206095.jpeg (519Кб, 1676x628)
>>910286
5й рейс полет нормальный.работаем в Анголе.
Аноним 19/02/17 Вск 01:22:00  910313
1487449390590.jpeg (138Кб, 288x512)
1487449391024.jpeg (119Кб, 288x512)
Аноним 19/02/17 Вск 01:50:56  910410
>>907341 (OP)
берут ли на ваши корабли "с улицы" на работу и сколько платят?
Аноним 19/02/17 Вск 04:44:59  910484
>>910071
Мотористов не пускают на крепеж?
Аноним 19/02/17 Вск 04:56:28  910488
>>910410
Читай фак или уйди из треда.
Аноним 19/02/17 Вск 05:35:21  910494
>>910302
Поясни за помощника капитана по радиоэлектронике гидроакустика?. Ну там как видишь со стороны его работу (может кулстори какие) и т.п.
Кем сам ходишь?
Аноним 19/02/17 Вск 09:13:06  910545
rps201702191012[...].jpg (74Кб, 768x1024)
rps201702191013[...].jpg (69Кб, 768x1024)
Бамп с хевика. Как и говорил, возим ящики, так что ничего интересного. Позже запилю фотки норм груза.
Аноним 19/02/17 Вск 09:14:00  910546
>>910484
Иногда пускают, а если еще варить умеешь, то вообще збс.
Аноним 19/02/17 Вск 09:18:42  910547
>>910139
Да особых нету кулстори. Так то сухой закон на пароходе и пьянок нет.
Аноним 19/02/17 Вск 10:38:59  910600
>>910546
> Иногда пускают, а если еще варить умеешь, то вообще збс.
Это редкость сейчас? Слышал что на хэвилифтах дохуя варят, поэтому варить все умеют
Аноним 19/02/17 Вск 10:57:36  910609
>>910600
>>910600
Не все варят, у нас 3 моториста в машине, а варит только один из них, такие дела
Аноним 19/02/17 Вск 11:29:29  910639
>>910609
Ну ок. Так как насчет фото груза? Еба яхты там, вертолеты, вот это вот все.
Как вообще сам оцениваешь работу на хэви лифтах? Лучше чем на обычном контейнере или сухогрузе?
Аноним 19/02/17 Вск 11:50:40  910658
Вот всякие фото груза. Всяких яхт, вертолетов и т.д. не было, точнее яхты то у меня были, но фото нету с ними, а так чаще всего на хеви лифтах вот всякую такую хрень возят.
Аноним 19/02/17 Вск 11:51:26  910659
И еще немного.
Аноним 19/02/17 Вск 11:56:47  910663
>>910639
А насчет сравнения с контейнером и сухогрузом...ну по сравнению с контейнерами переходы обычно гораздо длиннее и нету по овердохуя портов в месяц, по сравнению с сухогрузами...ну так хеви лифты могут и обычные груза возить, по сути это то же MPP судно, просто краны по овердохуя тонн могут брать. По специфике работы, за крепеж очень прилично доплачивают, но очень много еботни при погрузке выгрузке (там собрать пересобрать спредер, слинги, приготовить крепеж, закрепить все и еще куча всяких мелочей, чаще всего непосредственно погрузка на старпоме, а помощники на подхвате и бывало старпом просто по 2-3 суток вообще не спал, пока все не погрузят\выгрузят) Короч такой режим работы меня не очень радует, надеюсь как нибудь соскочить на танкера\химики\газ)
Аноним 19/02/17 Вск 12:05:48  910673
>>910259
кокой-то странный горох. А в целом ничего, выглядит питательно.
>>910302
Что за компания? Калининград или ДВ? Сколько платят мотористам? Не наёбывают ли? Реально устроиться или своих жопой жуй? Расскажи что значит пай - я так нихуя не пойму как и в каком случае он влияет на зарплату. Ты вообще на мостике или в машине?
Аноним 19/02/17 Вск 12:12:29  910680
>>910658
Расскажи про слинги. Они у вас свои? Кто их тестирует?
Аноним 19/02/17 Вск 19:19:36  911208
1487521322028.png (734Кб, 614x819)
Бамп
Аноним 19/02/17 Вск 19:26:26  911235
>>910680
Слинги свои. Тестирований никаких нету на них, но перед каждой погрузкой выгрузкой старпом их осматривает и если есть сомнения заказывают новые. И да на каждый слинг всегда должен быть сертификат специальный.
Аноним 19/02/17 Вск 20:23:16  911314
IMG201702191419[...].jpg (66Кб, 604x416)
>>911235
Ох лол. Периодически выходит работа по тесту слингов. Выкатываю их все более 20 и пытаюсь сверить пломбы. Пломб нет уже полгода как слингами же работают. Еще неделю неспешно выражаю из алюминия новые пломбы и Кое-как подгоняю их к тем что забиты в сертификатах.
Аноним 19/02/17 Вск 20:28:34  911322
>>911314
Смекалочка
в хорошем смысле
Аноним 19/02/17 Вск 21:09:33  911387
>>911314
Лол. Не видел, чтобы старпом наш этим занимался. Ну правда мы и хевики уже почти год, как не грузили, одни ящики возим.
Аноним 19/02/17 Вск 21:16:27  911401
IMG201702192215[...].jpg (506Кб, 2104x1184)
Бамп пацанами, меняющими ваер на тагер винче
Аноним 19/02/17 Вск 21:17:35  911403
>>911387
Грузили или не грузили, а ревизия всех слингов, цепей не якорных и талевок должна выходить раз в год. Раз в 3или 5 лет ревизия на берегу, в остальное время на борту. По чесноку могу сказать, что если замечу что слинг изношен то он пойдет в мусор моментально. Лучше перебздеть чем он лопнет под весом
Аноним 19/02/17 Вск 21:18:40  911405
IMG201702041142[...].jpg (44Кб, 564x485)
>>911401
Ну Серега, ну трос-то сами могли бы поменять нэ?
Аноним 19/02/17 Вск 22:08:19  911446
>>911405
Так это и есть наши матросы ебучий Шерлок
Аноним 19/02/17 Вск 22:48:03  911528
>>911446
А стиралку куда поставите?
Аноним 19/02/17 Вск 23:30:12  911627
>>911528
В лондри, очевидно же. У нас всего две. Надо было пруфануть какое там чуханство было после индонезов. Старпом половину сразу в мусор отправил, перестановка, покраска... Вообще я смотрю для этих пиздоглазых друзей желтые прокуренные переборки это норма. Живность в виде тараканов тоже. В большей части кают говно смывали ведром и черпаком. У капитана была самая убитая каюта на пароходе. Просто нора какая-то. На камбузе сток забит был долгое время. Из раковины шланг и в дренаж на палубе.
Аноним 20/02/17 Пнд 01:11:09  911787
Сап мариманы.Вообщем я салажонок приперся с практики и успешно списал плавуху,но вот казус одно задание запороли.Вообщем не гоните ссаными тряпками ,а помогите.Я б и сам попытался ,но лимит попыток исчерпан.
Аноним 20/02/17 Пнд 08:42:18  911956
>>911787
Расскажи что конкретно тебе надо.
>>911627
А мне вчера сменщик написал. Спрашивал, как менять местами компрессора провизионки и как мыть утиль котёл. Что-то я очкую возвращаться на тоже судно, боюсь увидеть что он там сделал/не сделал за контракт
Аноним 20/02/17 Пнд 10:30:00  912159
>>911956
Бдлжад. И это сука за чирик зелени. А он откуда?
Аноним 20/02/17 Пнд 11:22:37  912257
>>912159
Далеко в Юго-восточной Азии есть такие острова
Аноним 20/02/17 Пнд 12:42:27  912359
>>912257
У твоего сменщика-индонеза или откуда от там зп такая же как и у тебя?
Аноним 20/02/17 Пнд 12:52:00  912364
Теперь тут жжение не только у рядовых, а и у офицеров...
Аноним 20/02/17 Пнд 13:44:11  912421
>>912359
Нет, у него меньше. Но не намного.
Аноним 20/02/17 Пнд 15:44:57  912583
>>911956
рисунок огни на разводных частях моста.Тоесть инфу то я нашел,а вот рисунок нормальный нихерена,да начертить сам не могу.Знак подводного перехода.Ну вроде все.Буду очень признателен.
Аноним 20/02/17 Пнд 16:26:54  912685
x052.gif (6Кб, 277x373)
>>912583
>Знак подводного перехода
Ты про вот этот?
Аноним 20/02/17 Пнд 16:30:30  912695
i-4.jpeg (12Кб, 480x316)
>>912583
> рисунок огни на разводных частях моста.Тоесть инфу то я нашел,а вот рисунок нормальный нихерена,да начертить сам не могу
Начиная с пункта 6.3, рисунок там же

http://www.studfiles.ru/preview/1854998/page:2/
Аноним 20/02/17 Пнд 16:37:58  912707
>>912695
>>912685
спасибо парни!
Аноним 20/02/17 Пнд 16:46:30  912717
А потом такие дауны становятся офицерами
Аноним 20/02/17 Пнд 17:12:53  912746
145024014014014[...].jpg (19Кб, 700x477)
>>912707
> спасибо парни!
Какие парни, я тут один и даже не штурман ни разу и вся мощь яндекса в моем смартфоне. Сириусли, ты не пробовал сам погуглить перед тем как спросить в треде? В 95% случаев ответ плавает на поверхности да да и про твои отношения с тян тоже, и почему ее нет
Аноним 20/02/17 Пнд 20:04:13  913054
IMG3475.JPG (2191Кб, 3648x2736)
бамп
Аноним 20/02/17 Пнд 20:27:14  913108
>>912746
ну кстати рисунок говно все равно.
Да у меня котелок уже не варит ,ибо убил веществами.
>>912717
ну может быть.Но не я ,ебал я такую работу.Лучше дома сычевать.
Аноним 20/02/17 Пнд 20:38:15  913110
>>907341 (OP)
1
Аноним 20/02/17 Пнд 20:39:33  913117
IMG201702201841[...].jpg (675Кб, 2104x1184)
IMG201702200902[...].jpg (530Кб, 2104x1184)
IMG201702200902[...].jpg (1218Кб, 1776x3156)
записки оффшогника
Сегодня какой-то день поломок. Утро началось с отключения кондишки, провизионки и гидрофора забортной воды для снятия клапанов на всасывание. Перекрыли клапана, запустили аварийное охлаждение, а кондишка не пускается. Никаких алармов, трипов. Просто соленоид не открывается и компрессор не пускается. Щелкали, пробовали то, се. Пришел электрон, посмотрел схему. Я толкнул идею может из-за того, что давление воды меньше и срабатывает защита. Начали его осматривать, клацать внешне как кусок говна выглядел. Попробовал отверткой ковырнуть пружину вручную, чтоб замкнуло контакт и тут с пресостата пизданула струя воды. Дед взбугуртнул, я молча пошел взял новый, быстро поставили с электроном, а в ответ нихуя. Пробовали поменять компрессор местами. Только запускать и тут пизданула трубка с возврата масла перетерлась об другую. Блять, подумал я. Быстро перекрываю клапана, меняю опять на первый компрессор, запускаю, а давление в системе низкое. Ну думаю ща по шурику с второго конденсатора возьму всасывание, перекатаю в в первый фреончика и все будет заебок. Только открываю клапан на конденсаторе и как пизданет струя фреона через сальник. Думал палец отморозит нахуй. Кое как пытаюсь зажать до предела сальник, более менее получается, но один хуй фреон понемногу уходит. Деду с третьего раза вдолбил, что надо СЕЙЧАС писать репорт. Он как всегда очкует что его что-то будут спрашивать, но все таки сел писать. По итогу кое как работает кондишка на низком давлении, но хорошо что погода свежая.
На вечерней вахте только пришел чайку попить на палубу, моторист зовет. Говорит кондишка трипанула. Смотрю, давление воды упало. Пикрелейтед наше аварийное охлаждение. Запустил балластник вместо пожарника, пока живем.
Сегодня пришли индусы варить выхлоп в фальш трубе и менять компенсатор на ДГшке. Основные работы двигаются к концу.
на сколько я понимаю эта простыня исключительно для второго механа. Ну может еще и для залетных электронов
Аноним 20/02/17 Пнд 20:47:38  913134
>>913117
Только что с другого судна прислали нового повара, старого отправили на другое судно, так как там почти все индонезы. Как же хорошо, когда человек понимает тебя с первого раза
Аноним 20/02/17 Пнд 20:51:55  913146
>>913117
Интересно. Пиши ещё.

мимо полгода слежу за тредом
Аноним 20/02/17 Пнд 21:04:19  913162
>>913108
Ну и расскажи, кем себя в итоге видишь? Всегда было интересно, кем утсраиваются на берегу будущие штурмана
Аноним 20/02/17 Пнд 21:06:28  913172
>>913146
Поддерживаю.

примерно столько же читающий местные былины переводчик
Аноним 20/02/17 Пнд 21:14:09  913206
>>913117
>Перекрыли клапана, запустили аварийное охлаждение, а кондишка не пускается. Никаких алармов, трипов
Ну то есть ты понял уже что проблема была не в кондишке а в хилом пожарнике? По крайней мере похоже это получется из твоего рассказа и да, я подписываюсьвместе с остльными, интересно читать, пеши исчо Серж.
Кстати, как художник художнику:
1. Покрути вручную тот компрессор, где ты сальник подтягивал чисто чтобы убедиться что не пережал
2. Косяк пожарника это очень серьезный косяк, фиксить его надо как можно скорее
3. Азиаты очень болезненно реагируют на то что подчиненный с ними не согласен. Возможно будет плохой аппрайзал от деда
Аноним 20/02/17 Пнд 21:16:46  913220
Вот что накопал тут. Кто-то пользовался? Какие подводные камни?
пока по описанию отсутвие тарификации в мессенджерах выглядит очень заманчиво

http://www.sim-travel.ru/tariff/privet-kak-dela/
Аноним 20/02/17 Пнд 21:24:04  913242
>>913117
Интересно интересно, даже хоть я и штурман, но все равно интересно читать.
Аноним 20/02/17 Пнд 21:30:14  913252
>>913162
Да не знаю пока.Хата вроде есть.ДЛя начала в магазе поработаю,может барменом.А вообще хочу вернуться к истокм и пойти на повора учиться.Меня в свое время отговорили идти на повара в моей шараге мол "че ты там среди баб будешь делать" ну и я повелся.А зря.
Аноним 20/02/17 Пнд 21:42:41  913282
>>913252
Это успех, учиться 4-6 лет водить железный лапоть, чтобы потом пойти торговать за прилавком
Аноним 20/02/17 Пнд 21:54:08  913298
>>913282
Тоже об этом думаю. Сейчас колледж мучаю на судовода. Может ненужен он.
начал в треде сидеть и прошел квест до OS-а
Аноним 20/02/17 Пнд 22:16:05  913335
>>913220
Телефон все равно будет в фоне подсасывать траффик, скорее всего, за него ты будешь платить 0.25$/мб. У меня айфон от этого отучить так и не удалось.
Аноним 20/02/17 Пнд 22:21:48  913349
>>913117
Ты что! Я же тоже читаю!
*местный днищемоторист".
Аноним 20/02/17 Пнд 22:30:34  913362
>>913282
тащет 2 с половой
Аноним 20/02/17 Пнд 23:18:59  913441
>>913362
> тащет 2 с половой
Это на кого и где? Поделись лайфхаком
Аноним 20/02/17 Пнд 23:24:56  913457
>>913206
>Ну то есть ты понял уже что проблема была не в кондишке а в хилом пожарнике?
Да проблема так и не найдена. Я накрутил пресостат на минимум и все равно компрессор пускался. Сейчас трипит по воде если в системе совсем нет давления. Проблема какая-то плавающая. Как-то было разок тоже самое. Поклацали то тут, то там и прошло.
>>913206
>2. Косяк пожарника это очень серьезный косяк, фиксить его надо как можно скорее
Знаю, тем более инспекция скоро. Пусть дед пишет письма, надоело упрашивать его.
>3. Азиаты очень болезненно реагируют на то что подчиненный с ними не согласен. Возможно будет плохой аппрайзал от деда

Вообще похую. Да и не думаю что будет какая-то писанина, так как тут такое не заведено. Да и косяков от меня не было, в основном только саппорт, в отличии от того же трехи, плывущего по течению.

>Покрути вручную тот компрессор
Ты имел ввиду клапан? Я его 100% пережал, так как сифонило жиденьким. Крутил до упора. И как мне рассказывали местные технишены, если резко начал херачить фреон, то скорее всего он повредил сальник и ты ничего уже не сделаешь
Аноним 20/02/17 Пнд 23:37:20  913473
8q6Mj00beCo.jpg (34Кб, 340x604)
21 лвл собираюсь поступать в универ на электромеханика, не поздно ли? может лучше на механика пойти, еще у меня псориаз, покурил форумы, ребята с болячками посерьезнее работают и как то комиссии проходят, это как блядь?
Аноним 21/02/17 Втр 00:41:43  913531
Поясните за Пермское речное училище
Аноним 21/02/17 Втр 00:58:40  913552
>>913441
Вангую очевидную средуху на базе 11 классов там аккурат 2 с лихуем года

>>913473
> как то комиссии проходят, это как блядь?
Ты это серьёзно?
Аноним 21/02/17 Втр 05:31:50  913605
bryan-cranston-[...].jpg (693Кб, 1157x867)
>>913473
У тебя рак и ты в море собрался?
Аноним 21/02/17 Втр 05:35:51  913608
>>913605
> псориаз
>> рак
Лил.

мимо
Аноним 21/02/17 Втр 06:00:27  913630
>>913054
По турбине на ГД или две на один ГД? Это ДГ на заднем плане?
На пароходе, где практику проходил, главный двигатель был такой же, как эта динамка.
Аноним 21/02/17 Втр 09:55:17  913751
>>913630
По две турбины на каждый ГД такая же история и с ДГ, всего два 12-цилиндровых V-образных Главных Двигателя, около 5000 кВт каждый.
Так что думаю что вряд ли у тебя были такие динамки
>>913531
>Пермское речное училище
Лучше не стоит, потому что речное Потом проблематично перебираться в моряки, а на реке зарплаты заметно ниже
Аноним 21/02/17 Втр 10:00:27  913754
>>913457
>Я накрутил пресостат на минимум и все равно компрессор пускался
Вангую что крутил ты прессостат по низкому давлению всасыванию, а косячит возможно дифференциальный прессостатт по давлению охлаждающей воды либо перепаду давления воды вокруг конденсатора
>Проблема какая-то плавающая
Ну так это классика же. Когда пружин прессостата изнашивается либо когда решили сэкономить и купить на таобао прессостатов занидороха то работать она начинает невсегда то есть то отрабатывает, то нет.
>Покрути вручную тот компрессор
>Ты имел ввиду клапан?
Нет, я думал что начало ссать по валу компрессора там иногда тоже сальник бывает, который можно поджать. А так норм
Аноним 21/02/17 Втр 10:28:46  913781
IMG201702211118[...].jpg (652Кб, 2104x1184)
IMG201702211119[...].jpg (780Кб, 2104x1184)
>>913754
>Вангую что крутил ты прессостат по низкому давлению всасыванию
Хреновая из тебя Ванга. Я воду крутил, чтоб на низком давлении можно было запустить. Но один хрен когда какой-то пресостат не срабатывает, должен быть аларм. Его не было, так что проблема возможно с какими-то контактором или хуй знает вообще с чем.

А тем временем мы стоим примотанные к драй доку, который плавно опускается под воду. А вместе с ним отпускаются на воду буксир и landing craft. По пикче думаю понятно сколько забытого говна смывается с палубы драй дока в канал...
Аноним 21/02/17 Втр 12:54:58  913920
бумп
Аноним 21/02/17 Втр 13:16:51  913945
>>913781
У вас какие-то алармы есть на компрессоре? У нас только лампочка загорелась на прессостате по низкому давлению масла. Все остальное нужно самому исксть
Аноним 21/02/17 Втр 13:41:56  913970
>>913945
Нифига нет. Две лампы, на каждый компрессор по одной. По параметрам смотришь и все.
Аноним 21/02/17 Втр 15:18:12  914076
H6bWmItMkco.jpg (227Кб, 936x1664)
>>913970
>Но один хрен когда какой-то пресостат не срабатывает, должен быть аларм.
>алармы есть на компрессоре? Нифига нет
Wat?
Аноним 21/02/17 Втр 19:02:42  914415
>>914076
Ты так и будешь форсить этого Сирожу? Все ведь и так поняли, что ты обосрался второй раз со своим диваноном. Я хз как ты сдиванонил Виталика. Наверно чисто его неосторожность и твоя удача.
Аноним 21/02/17 Втр 22:04:43  914743
>>914415
>Я хз как ты сдиванонил Виталика
Он был подписан на паблика Двача.
Аноним 21/02/17 Втр 22:30:25  914780
>>914415
Довольно бугурта, Сергей.
Аноним 21/02/17 Втр 23:22:17  914874
69825-133085325[...].jpg (49Кб, 800x600)
Посоветуйте годной литературы будущему электромеханику поступаю в этом году
Аноним 21/02/17 Втр 23:33:29  914904
>>914874
Основы электротехники, любое издание любого года.
Судовой электропривод, те же издание и год.
Введение в микроконтроллеры, но это лучше на потом
Аноним 22/02/17 Срд 01:11:39  915002
4lTROAEjaqc.jpg (289Кб, 604x604)
Господа, у меня встал вопрос насчет жилья. Так вышло, что из родных мне не на кого положиться в этом плане, а все близкие друзья - тоже моряки. Когда у меня появится возможность приобрести жилье, купить но скорее всего в ипотеку, потому что я не накоплю быстро нужной суммы, а ипотеку можно просто быстрее погасить, с моим графиком работы - 4/2 и потом 3/3, вопрос, нормально ли оставлять так квартиру? Конечно, у меня есть вариант дать ключи моему другу-не-моряку, но все же, может есть другие варианты? Тян не предлагать, отца нет, мать поехавшая, родственникам не доверяю, а нормальные родственники на другом краю страны живут.
Аноним 22/02/17 Срд 05:40:26  915052
>>915002
Что это у тебя за график такой? На чем и кем?
Аноним 22/02/17 Срд 05:43:08  915054
>>914874
Зачем тебе, студенту, литература? Ты думаешь тебя хватит на САМОРАЗВИТИЕ?
Аноним 22/02/17 Срд 05:52:43  915055
Служащим флота Великобритании запретили смотреть порно на корабле
O kurwa
Аноним 22/02/17 Срд 06:26:34  915059
>>915055
Хули, пусть теперь обеспечивают кораблю юнгами.
Аноним 22/02/17 Срд 07:28:33  915077
Как-то в Дубай зашел бритовский военный корабль и вояки ломанулись в симэнс клаб. У них столько ебабельных тянок! Подтянутые, подкаченные.
Аноним 22/02/17 Срд 08:21:08  915081
>>915077
Что за сименс клаб?
Аноним 22/02/17 Срд 08:42:40  915089
>>915081
Ну загугли, епта.
А тем временем мы продолжаем стоять возле драй дока, который медленно уходит под воду. По слухам зайдет судно, которое в аренде у нашего судовладельца. У него развалило редуктор и вывалился шафт. Механы не чистили кулер, давление масла падало, дедушка добавлял масло. Добавил походу под край, пока не пиздануло. Но это все со слов нашего араба
Аноним 22/02/17 Срд 08:43:02  915090
>>915081
Туда пускают только если у тебя телефон сименс, такой вот интернациональный клуб. Смех

Вот не поебать ли им что у меня в номере лежит журнальчик и я по тихой грусти выпускаю напряжение. Я же не подбегаю к девке на борту и не показываю картиночки, при этом двигая тазом и урча. Куда мир катится.
Аноним 22/02/17 Срд 08:50:22  915095
IMG201702220939[...].jpg (482Кб, 2104x1184)
>>915089
Отклеилась
Аноним 22/02/17 Срд 09:57:32  915155
>>915052
Это один из завсегдатаев треда, доучивается в ушаковке на штурмана.
>>915002
Я бы на твоем месте, брал бы не ипотеку а рассрочку в строящемся доме. Ее ты сможешь выплатить без влезания в ипотеку, особенно с графиком 4\2. Более того, с учетом твоей профессии, я бы возможно, взял что-то не в самом Новороссе а в окресностях Кабардинка итд и сэкономил бы лям.
Но с дивана пишу, вот
Аноним 22/02/17 Срд 10:55:43  915217
IMG201702221006[...].jpg (612Кб, 2104x1184)
IMG201702221005[...].jpg (650Кб, 2104x1184)
Бумп немного припечатавшимся парохедом
Аноним 22/02/17 Срд 13:17:20  915421
>>914743
Там 185 к подписчиков. Ты каждого проверил?
Аноним 22/02/17 Срд 16:20:03  915692
>>915421
Каждого кто учился в нужной, кажетс это была Маринеско одесской средней мореходке и подходил по возрасту. Догадайся как много таких людей было?
Аноним 22/02/17 Срд 20:00:30  916132
IMG201702211919[...].jpg (558Кб, 2104x1184)
Бамп локальным перегревом
Аноним 22/02/17 Срд 20:20:15  916169
>>916132
Сергей, это АДГ или ДГ?
Аноним 23/02/17 Чтв 01:31:34  916468
>>916132
>локальным перегревом
Из-за чего так? Каналы охлаждения забиты были?
Аноним 23/02/17 Чтв 02:01:35  916479
1.png (118Кб, 792x355)
2.png (125Кб, 740x296)
Sup коллеги. Не подскажите как вычислить угол динамической устойчивости грузовых мест, для критерия несмещаемости.
Прост не втыкаю в формулу.
Аноним 23/02/17 Чтв 02:18:19  916498
2pom.jpg (74Кб, 1321x547)
>>916479
>Прост не втыкаю в формулу.
Ты и правда второй помощник?
Аноним 23/02/17 Чтв 02:31:09  916509
>>916498
Да
Аноним 23/02/17 Чтв 06:42:55  916583
>>916479
Всё просто.
Аноним 23/02/17 Чтв 07:07:32  916586
Безымянный.jpg (242Кб, 1280x800)
Мне как мотористу стоит беспокоиться по поводу ценза, или селёдка написала бред? Я так-то не хочу всю жизнь на рыбаках просидеть.
Аноним 23/02/17 Чтв 11:38:39  916690
>>916586
Самое логичное позвонить в дипломный отдел ближайшего МАПа. Бюрократия это такая хуйня вещь что вряд ли кто-то в треде скажет наверняка, как и что сейчас.
>>916479
Один стармех рассказывал, как динамическая остойчивость считалась в старое время это когда рабы и чайные клиппера.
Погрузка шла медленно и все время, вахтенный помощник как бы невзначай крутится вокруг гальюна ходил с секундомером от борта к борту. Он считал секунды, когда судно касалось с борта на борт. Это значение должно было быть не больше определенной величины.
Если аноны-штурмана что-то про это знают, то будь ласка расскажите в треде Стармех понятное дело не все знал о методе
Аноним 23/02/17 Чтв 12:18:01  916715
148780449606802.jpg (21Кб, 743x133)
>>916583
Допустим Тета s из этого, как это получить. Подставить тупа заместо тета амплитуду? Вывести тета s. Использовать как функцию?
Аноним 23/02/17 Чтв 12:40:10  916734
5146912.jpg (47Кб, 638x474)
>>916715
>тупа
>заместо
Аноним 23/02/17 Чтв 12:42:55  916736
>>916734
ты что то знаешь?
Аноним 23/02/17 Чтв 12:54:01  916744
>>916736
Да
Аноним 23/02/17 Чтв 13:25:21  916835
75486783597593.jpg (145Кб, 1600x900)
>>916586
СТЫДНО блядь...
Пиздец, читаешь какую-то дичь, бабу Маню у падъезда ещё спроси, ты же ей будешь свои документы подавать, а не инспектору в Администрации порта.
Администрации торговых и рыбных портов уже давно объединились по всей РФ, и дипломы/свидетельства сейчас единого образца. Хотя у штурманов могут быть различные ограничения по типам судов, но в данном случае не об этом, нам скорее важна мощность, производитель и тип двигателя. Но это в перспективе, для начала хоть куда устроиться.
Длинный, только не говори, что это ты.

Кёниг днищ
Аноним 23/02/17 Чтв 13:58:34  916898
>>916835
слушай, бга на этой неделе работает?
Аноним 23/02/17 Чтв 14:23:25  916970
>>916835
Да, Костя, это я )))). Меня как-то уверенный тон этой мадам смутил.
В марте буду звонить в БАМР, колхоз Ленина на май набирает, ещё недавно нашёл в Мурманске пару контор. В Вестрыбфлот что-то не охота звонить, учитывая их обязательность. Остальные нерыбаки все воротят морду от моего "Вахтенного" сучилищи
Аноним 23/02/17 Чтв 14:26:40  916976
>>916835
быстро в догонку
У них же сам знаешь как всё меняется. Не угадаешь какой заёб схватят. Вот сегодня залез к этим: http://www.msco.ru
А там: "В связи с внесением изменений в Трудовой Кодекс РФ с 01.01.2017 года члены экипажей судов обязаны при трудоустройстве предъявить справку о том, является или не является гражданин подвергнутым административному наказанию за потребление наркотических средств или психотропных веществ без назначения врача либо новых потенциально опасных психоактивных веществ."

Ну ёмана, конечно это как снег на голову! И всё это узнаётся в последний момент.
Аноним 23/02/17 Чтв 14:38:15  916994
>>916898
Без понятия.
>>916970
У вас большой город, куча крюингов, неужели совсем нет вариантов на торгаши? Рифера те же, например.
>>916976
Слышал в Мурманске такие справки начинают требовать. У нас пока вроде без них, т-т-т.
Аноним 23/02/17 Чтв 15:48:07  917086
>>916586
http://base.garant.ru/70184664/

закрепите уже в шапку
Аноним 23/02/17 Чтв 16:40:05  917145
>>917086
>В стаж плавания для получения диплома судомеханика с главной двигательной установкой менее 750 кВт учитывается плавание на судах с главной двигательной установкой стационарного типа мощностью более 55 кВт.
Это че можно пойти на лодку с двигателем и этот стаж засчитается?
Аноним 23/02/17 Чтв 17:12:09  917183
>>917145
Да нет, это вахтенный механик с ограничением по мощности не более 750 кВт. Работу для таких не завезли
Аноним 23/02/17 Чтв 18:08:13  917226
>>916715
ну это самоеее кто-нить? не проходите мимо
Аноним 23/02/17 Чтв 21:00:46  917471
>>916970
>буду звонить в БАМР.
Ебанулся? Хули там делать в этом БАМРе, в советские времена не спорю, там бабло рубили. Сейчас рядовым там делать нечего. Зарплаты мизер, рейсы по 8-11мес. Вы что блять, ебанутый?
Аноним 23/02/17 Чтв 21:07:51  917473
>>916970
>Да, Костя, это я
Опять кого-то сдвиванонили или я что-то пропустил?
Аноним 23/02/17 Чтв 23:34:55  917637
1.png (7Кб, 114x55)
>>916690
Существует так называемая капитанская формула, которая связывает период бортовой качки с метацентрической высотой мера начальной статической остойчивости судна. Измерив период качки секундомером можно оценить остойчиво ли судно.

Динамическая остойчивость сейчас оценивается по критерию погоды должен быть больше 1. Луркайте резолюцию A.749.

>>916835
У меня в дипломе стоит ограничение "только нерыболовные суда"

старпом-кун
Аноним 24/02/17 Птн 00:07:42  917687
>>917471
Мне там сказали что гарантийка 58000. Я понимаю, что сказать много можно. Но в целом та же штука баксов. Мне выбирать не приходится. Ещё прозвоню в Питере кто, но я уже с сентября найти ничего не могу, и это с английским. Варианта два - или до лета я что-то нахожу, или иду искать работу на земле.
Аноним 24/02/17 Птн 02:40:02  917750
Хочу устроится на рыболов
http://www.farpost.ru/blagoveshchensk/job/vacancy/ryboobrabotchiki-s-vyhodom-v-more-47677836.html

Какие подводные камни?
Много нужно документов собирать?
Или тыкните в faq, чет про рыбаков рядовых ничего не нашел.
Аноним 24/02/17 Птн 02:58:20  917752
Йоу, моряки, залетел с рандомным, любопытным для меня вопросом: с вышки по специальности криогеника, холодильные системы и кондиционирование можно какие-то значительные профиты извлечь в море или пойду по общему конкурсу, и это будет даже не плюс в резюмешке?
Аноним 24/02/17 Птн 06:08:06  917776
>>917752
Скорее всего не зачтётся, но погугли про реф механиков. Ну и при получении вышки часть предметов перезачтут.
Аноним 24/02/17 Птн 07:33:42  917802
Антуаны, те кто недавно заканчивал курсы моториста, подскажите много ли там училось дядек 28+ годиков?
Аноним 24/02/17 Птн 09:29:45  917829
>>917752
Очевидный газовый механик. Для работы рефмехаником нужно профильное образование их вместе с Манильскими поправками снова ввели в STCW А газовых забыли
Аноним 24/02/17 Птн 10:25:28  917845
>>917802
Хватало, на заочке мужики 35+ есть.
Аноним 24/02/17 Птн 13:38:13  917974
>>917845
>Хватало, на заочке мужики 35+ есть.
Ну, на заочке эт понятно, а непосредственно пытающихся вкатиться в профессию, начинающих с курсов мотористов?
Аноним 24/02/17 Птн 14:30:27  918029
>>917802
В основном 28+ и были. Один был 46, а на матросню даже мужик пришёл ему хорошо за 50 было.
Аноним 24/02/17 Птн 14:34:11  918043
>>917750
Догадываюсь, что всё то же, что и для матроса, плюс санминимум (синяя медкнижка с крестом).
Звони и узнавай, но будь осторожен с фирмами которые помогают с оформлением. Бывает так, что отдаешь им деньги, они якобы берут тебя оформлять, а в результате фирма через месяц исчезает. Схем подобной этой есть несколько в разных сферах, читай договор, когда будешь платить: если это договор об оказании информационных услуг - беги оттуда.
Аноним 24/02/17 Птн 14:41:14  918057
CES, палуба, суппорт лвл для контейнеровозов. пиздос или я дубина, или тест сложный
почти OS
Аноним 24/02/17 Птн 14:52:29  918080
>>918043
Спасибо.
Сам уже почитал форумы.
Как то на самом деле все не так радужно как пишут в вакансиях. На форумах полно объяв от опытной матросни, работу ищут. Вахты по 8 месяцев. И как я понял если выйдет 70к в месяц за вахту это уже успех считается. Еще пишут что много всякой швали набирают в матросы. И ебашат там 16/8.

Сам канечно не попробуешь не узнаешь...

Сколько сейчас по деньгам комплект доов выходит? Знает кто?
Аноним 24/02/17 Птн 14:55:44  918087
>>918080
>комплект доов выходит
Комплект документов
Аноним 24/02/17 Птн 15:59:04  918141
>>918087
1k $
Аноним 24/02/17 Птн 16:06:09  918146
>>918080
А что, 70000 в месяц для рядового - это плохо? Ты на зарплату под флагом посмотри, те же деньги и выйдут плюс-минус в рублях. Я уж не говорю про среднюю зарплату пидарашки на берегу в 30000 минус еда, коммуналка, проезд, одежда и остаётся десятка в месяц от силы и это ещё очень хорошо. Тут в том треде фрезеровщик из Калининграда пробегал, с з.п. в 15000. А фрезеровщик хороший - это тебе не хрен собачий.
>Сколько сейчас по деньгам комплект доов выходит? Знает кто? >>918141
На самом деле, как бы не больше с учётом практики (найдешь - дешевле, не найдёшь - будешь покупать от 7000руб. до 30000руб.).
Аноним 24/02/17 Птн 16:06:39  918148
>>918057
CES своим умом пройти невозможно в принципе. Гугли ответы в интернете
Аноним 24/02/17 Птн 16:10:42  918158
>>918080
А что ты увидел радужного в вакансиях?
Сейчас нужны на любую позицию люди с опытом, либо мастер на все руки в случае для рядовых. И то и другое предполагает трату кучи денег и времени, что бы претендовать на эту вакансию. Так же не забывай что у многих людей это все есть прямо сейчас.
Аноним 24/02/17 Птн 16:13:23  918165
>>918146
>>918146
>70000 в месяц для рядового - это плохо?
Да нет, все норм. Я просто пыл свой охладил немного. Что то напала блажь на меня сменить род деятельности. Эти деньги я и на суше зарабатываю.
Еще кажется что на москаля в рыбаках будут не очень смотреть...
Аноним 24/02/17 Птн 16:16:34  918172
>>918158
Да все это понял. Все как везде в общем то.
Засунул свои желания обратно.
Не стоит оно того чтоб серьезно заморочиться с доками, и поиском контракта. Изначально понимаю что максимум бы на пару вахт бы сходил.
Аноним 24/02/17 Птн 16:20:46  918178
>>918165
Мы и здесь на москалей косо смотрим.
Аноним 24/02/17 Птн 16:27:02  918186
Кстати за вчера и сегодня прочитал кучу форумов, отзывы и тд. Комменты на ютубе, вот это все.
Ужасная безграмотность среди морячков.
В каждом втором комментарии или записи на форуме, дикие орфографические ошибки.

>>918178
Да это нормально. Я теперь тоже к понаехавшим как к говну отношусь. Лицемеры жополизы и мошенники сплошные.
Аноним 24/02/17 Птн 17:07:06  918222
Снимок.JPG (8Кб, 454x86)
>>917829
Нихуя себе, где мануалы по вкату, лол?
Аноним 24/02/17 Птн 17:16:29  918236
>>918222
>как многа денех, ничо делать ненадо просто так плотят, нужно мануалы на вкат спросить, а скока доки стоят, а я англюсика низнаю
Аноним 24/02/17 Птн 17:21:22  918240
>>918236
Идинах, зануда, дурака повалять нельзя на двачах уже, совсем одичал там в своих океанах, пират окаянный.
Аноним 24/02/17 Птн 18:42:09  918320
IMG0049.JPG (351Кб, 1024x682)
Если кого то интересует инфа про химовозы, задавайте.

инбифо - рак, чайки падают пролетая над pv tower, да вы там tdi дышите каждый день, этот запах лука на терминале
Аноним 24/02/17 Птн 18:58:34  918333
>>918320
Хочу на химвоз/танкер, но к вам без опыта хуй пролезешь.
Аноним 24/02/17 Птн 19:01:51  918337
>>918333
с кад.программы без опыта ну или в понижении можно
Аноним 24/02/17 Птн 19:03:24  918338
>>918320
Кем трудишься?
Как проходит обычный рабочий день?
Аноним 24/02/17 Птн 19:08:04  918341
>>918186
Морячье - это работа для замкадышей нормальных стран и для быдла третьесортных стран. Так что развивайся в Москве.
Аноним 24/02/17 Птн 19:13:22  918342
>>918338
Помохой.

На мосту как везде. На океанском переходе можно музычку с колонки послушать, позалипать в инете. Вечерком можно в бар, пивко пососать с кальянчиком или самогончика судового если имеется аппарат ну или в каэску по сети или фифу с хорватами погонять picku materinu jebem ti
На вахте иногда посылаешь вотчмэна поднабить танки нитрогенкой, ну там от груза зависит да и ночью обычно
Да все как везде завтра обед ужин кофетаймы, фондю по средам стейк с вином по субботам в воскресенье buffet serving с пицулей и тортами.
Адские пьянки на переходе если латыши+русиш+укро опционально.
Ну там нац.спорт Филлипинн, или покачаться что хочешь.

Грузовые на химиках - ни с чем не сравнимое удовольствие, достойное описанию в трех томах.
Аноним 24/02/17 Птн 19:23:58  918353
>>918342
Сколько получаешь?
Аноним 24/02/17 Птн 19:30:02  918359
>>918353
5к$
Аноним 24/02/17 Птн 19:44:18  918369
>>918341
Пришел к такому же выводу.
Аноним 24/02/17 Птн 20:02:55  918383
>>918080
В моей мухосрани доки именно на матроса-обработчика вышли в +/-45к и несколько месяцев возни (с сентября по декабрь я оформлялся)
При этом с нулевым опытом уйти даже на рыбака не так уж просто я уже больше месяца ничего найти не могу Так что 10 раз подумай, прежде чем впрягаться
Аноним 24/02/17 Птн 20:18:00  918397
фаст.jpg (230Кб, 800x533)
>>918383
Да я начитался всякого и вроде отлегло.
Еслиб в ДС не жил то точно бы попробовал.
А так лучше просто на месяц другой събать в ебеня отдохнуть.
Просто что то заебло все и я придумал себе стать матросом. Еще говорят можно на такую китайскую помойку попасть, закачаешься.
И сиди там с быдлом 9 месяцев.
Аноним 24/02/17 Птн 20:18:08  918398
>>918383
И че теперь будешь делать?
Аноним 24/02/17 Птн 20:29:03  918418
>>918320
Изначально стартанул на химиках или перекатывался с других типов судов? С понижением сработает из вторых (не танкер/газ/хим флот) в третьи на химики попасть?
Аноним 24/02/17 Птн 20:32:21  918424
>>918342
Я правильно понял что на ваших флотах сплошное кумовство?

Ваще у меня что то дикий бугурт от зп в 5к уе. Аж трисет чета.
Аноним 24/02/17 Птн 20:40:58  918431
>>918418
Первое. В универ пришла контора и набирала фрешменов.
В третьи может и нет, но в джуниоры, я думаю, скинут. Ну и соответственно все сертификаты, эндорсмент.

>>918424
Кто же тебе такую ересь сказал? Тут промоушены за промоушеном ток влет как то застал за один контракт пацана, который пришел с совка, сначала пришел дэк трейни офисером, потом след контракт джуниор, следующий третий и следующий контракт уже вторым, я бомбил с него, такой обычный чел с новороса со всеми этими тоси-боси, ток имя и фамилия литовские. Это же не СКФ. Да и даже не газики, там я слышал хер дождешься нового ранка ТиКей например, или Дайнагас
Про зп мастера и суперов я даже говорить не буду тогда. Да и не перманент это, хотя SMT платят дома чифу 1500 мастеру 1700
Ну и страховочки от Allianz Bank на всю семью, оплата хавки в аэропорту, пенсия по выходу из конторы и всякие ништяки типа оплата перелета жены на курсы вместе с тобой или в драйдок ее притащить/на переход до порта где списываешься
Аноним 24/02/17 Птн 21:11:04  918454
>>918431
> который пришел с совка, сначала пришел дэк трейни офисером, потом след контракт джуниор, следующий третий и следующий контракт уже вторым
Это что за контора такая? Попахивает хорошими связями в офисе
Аноним 24/02/17 Птн 21:15:54  918457
>>918454
Совок - Совкомфлот, а пришел он к нам, в столт

Здесь - это нормальная хуйня. Один будет иметь 2 года ценза третьим помощником, другой быстренько проскочит. На 95% уверен, что знакомых у него нет. у нас параход такой был, искали оба мастера новых секондов, лишь бы не прислали вьетнамцев
Аноним 24/02/17 Птн 21:49:11  918477
>>918431
Ты через крюинг или напрямую со столтом работаешь? Документы эндорсменты все есть. Осталось контракт на хевике доработать и валить к вам или другой танкерный флот.
Аноним 24/02/17 Птн 21:53:39  918478
>>918477
Через крюинг.
Аноним 24/02/17 Птн 22:02:52  918480
>>918478
Какой, если не секрет?
Аноним 24/02/17 Птн 22:05:53  918481
144488169513327[...].jpg (23Кб, 472x277)
Распишите гайд как стать полноценным электромеханом.
Имеется: 9 классов образования, хуевый аттестат где почти все предметы на 3, 100 тысяч рублей. Ах да, живу я в лютой мухосрани.
Может быть мне сначала пойти на моториста? Закончить курсы и заработать денег на учебу.
Аноним 24/02/17 Птн 22:24:42  918489
>>918480
Ну вот че тебе все разжевать то? Две минуты в гугле.
Аноним 24/02/17 Птн 22:40:09  918511
>>918489
Ну как бы Беджай, лапа, альфа, акомарин и другие. Хотелось бы твой уточнить. Я вот в беджае, может через них получится перескочить.
Аноним 24/02/17 Птн 23:10:49  918533
>>918481
Лучше без моториста сразу выучиться на механика или электромеханика. Выбирай город: ДС2, Новороссийск или Владивосток
Аноним 24/02/17 Птн 23:11:13  918534
>>918398
Очевидно продолжать искать, где-то да должно повезти

>>918481
Поступаешь по специальности в средуху на очное и через почти 4 года ты готовый специалист с нормальными знаниями хотя тут без гарантий, офк и каким-никаким цензом
Аноним 24/02/17 Птн 23:11:56  918539
>>918480
Он работает через Лапу.
Аноним 24/02/17 Птн 23:16:15  918542
Пацаны, я с арабом в блядушнике бухаю. Завтра запилю стори
Аноним 24/02/17 Птн 23:17:39  918543
>>918542
ОК. Смотри чтобы он тебя не выебал Сергей
Аноним 24/02/17 Птн 23:28:16  918556
>>918539
экий ты шпиен я через примтанко
Аноним 24/02/17 Птн 23:57:22  918580
>>918556
Твою фамилию же вбрасывали в крюлисте в каком-то из прошлых тредов
Аноним 25/02/17 Суб 01:13:09  918620
>>918580
ну я все равно из примтанко
Аноним 25/02/17 Суб 04:30:54  918666
>>918580
Деанон?
Аноним 25/02/17 Суб 06:01:01  918685
>>918337
До какого возраста они кадетов берут?
Аноним 25/02/17 Суб 10:04:35  918794
>>918556
Сэфити у вас на ком? И он сам ею занимается или матросню посылаете?
Аноним 25/02/17 Суб 10:27:29  918804
>>918666
Да вроде нет Сатана мне чот лениво. Просто пиши поменьше данных о себе, если не хочешь однажды увидеть свое фото в треде. Нам не обязатльно знать, сколько ты часов накатал в дотку, что ты сделал обрезание итд.
>>918333
Чтобы работать в должности начиная от вахтенного помощника или механика нужно иметь танкерное подтверждение к рабочему диплому не путать с танкерными сертификатами. А для него нужно иметь 3 месяца подтвержденного стажа работы на этом типе судна отдельно на танкер, химик итд. Поэтому взять тебя смогут только supernumeral офицером он же трейни, джуниор итд, название и зарплата зависит от компании
Аноним 25/02/17 Суб 11:11:33  918833
>>918804
>А для него нужно иметь 3 месяца подтвержденного стажа работы на этом типе судна

Блять, я уже пару раз суда скидывал пруф, что для младших офицеров никакой ценз не нужен. Откуда вы это все берете?
Аноним 25/02/17 Суб 11:39:42  918870
>>918833
Давай, расскажи эту историю сотням крюингов, тысячи людей, которые не могут устроится, они же просто долбоебы, ценз ведь не нужен, а они и не знают
Аноним 25/02/17 Суб 11:42:20  918875
>>917687
На ДВ не хочешь обратить свой взор?
Аноним 25/02/17 Суб 12:12:57  918932
20161228155014~[...].jpg (290Кб, 1920x1080)
Никто из треда не ведет инстаграмчик?

Я например, слежу за
https://www.instagram.com/den4ik232/
https://www.instagram.com/bravesailors/

У меня есть свой, где я фоточки с рыбака выкладываю, но было бы интересно глянуть на белые параходы.
Аноним 25/02/17 Суб 12:34:10  918966
>>916835
Ответь на письмо, сбросил на твое фейкомыло.
Аноним 25/02/17 Суб 12:54:26  918983
>>918875
Так я туда и обратил, бро... НБАМР что в Находке, Океанрыбфлот на Петропавловск-Камчатском (вообще в последнюю очередь туда: странная контора), рыбколхоз имени Ленина там же (вроде ничего говорят), но у них на май. У тебя есть какие-нибудь идеи?
Аноним 25/02/17 Суб 12:55:38  918986
>>918794
Сэйфти - зависит от парахода. Обычно это 2 сэконда - один навигационный, другой на сейфти. Бывает, что где-то скидывают на третьего. Вот так.
Аноним 25/02/17 Суб 13:46:47  919045
>>918870
При чем тут крюинги? Подтверждение к диплому выдают в МАПе. То, что крюинги требуют соответсвующий опыт к самому подтверждению никак не относится.

Рядовым точно так же нужно получать подтверждение к их свидетельству.
Аноним 25/02/17 Суб 14:01:55  919082
>>918983
Начитался я всякой дичи про эти ваши ДВ. Последним аргументом стала фраза в пабосе местного профсоюза, мол "хули вы ведётесь на всякое говно? Думаете там своих моряков нет и работать некому?"

Ну а так гугли "доброфлот" - может там что найдёшь
Аноним 25/02/17 Суб 14:15:48  919101
>>918833
Ок погуглил, ты был прав. Для вахтенного механика или вахтенного помощника чтобы получить танкерное подтверждение к диплому, достаточно принести танкерный же сертификат ознакомительный уровень, который выдают после курсов в тренажерном центре. То есть просто пройти курсы, изи катка.
Аноним 25/02/17 Суб 14:58:44  919215
>>918932
Диванон по лайкам
Аноним 25/02/17 Суб 15:44:14  919332
Дайте инстаграм, моториста с рыбаков или механика.
Аноним 25/02/17 Суб 16:27:07  919390
>>919332
Это невозможно. Не умеют в пека.
Аноним 25/02/17 Суб 17:37:47  919487
>>919215
Можно и диванонить, прост думал может кто и ведет свой инстаграмчик.
Легкий пиар https://www.instagram.com/chakeru
Аноним 25/02/17 Суб 17:45:26  919491
>>919487
Ты кем на рыбаке трудишься?
Правду говорят что там одно лютое быдло матросах?
Реально там въебывают 16/8ч 9 месяцев подряд?
Аноним 25/02/17 Суб 17:46:16  919492
>>918983
Гидрострой с Сахалина,Дальрыбпром, Турниф.
Аноним 25/02/17 Суб 17:55:52  919497
>>919491
Я пока только один рейс сходил, работал рефмашинистом. Насчет быдла: может мне так повезло, но у меня был адекватный и цивилизованный экипаж, ну за исключением некоторых личностей. Тут как повезет. 16 через 8 это крабовики работают, у меня были вахты 12ч через 12ч , т.е смена в рефотделении и параллельно работа в рыбцеху 5 месяцев ( я приехал на замену, когда судно уже 2 месяца рыбачило)
Аноним 25/02/17 Суб 18:01:05  919501
>>919497
50к где то платят в рыбцеху сейчас?
Кормят говном или норм?
ВСе думаю пробовать вкатиться или нет...
Тут недавно один писал что уже пол года не может в первый рейс уйти.
Аноним 25/02/17 Суб 18:50:32  919565
>>919497
Вроде помню ты недавно вкидывал пасту что типо после первого рейса решил забить на это. Там еще кулстори тараканы были итд, это ты?
Аноним 25/02/17 Суб 19:10:15  919588
>>919101
Я себе сделал подтверждения в прошлом году, вообще без проблем, сначала ознакомительные курсы, потом с ними в МАП и там эндорсменты выдали, правда пришлось дельту сдавать, но она такая же как на курсах была, так что изи. А ценз нужен только для эндорсментов уровня менеджмент а это топ офицеры.
Аноним 25/02/17 Суб 19:42:44  919680
>>918620
Заходил я к ним, такие чмошники в офисе сидят. Одна чувырла аж смеяться начала, за что были посланы нахуй.
Кто еще у нас в приморье в столт отправляет?
Аноним 25/02/17 Суб 20:13:52  919746
>>918932
https://www.instagram.com/p/BQ1pAoPFDub/
У этой, жоппа задницы пиздатая
Кстати, сегодня выяснил что наш фиттер то бизнесмен филипинский. Если не пиздит, то у него 2 гектара земли, он там выращивает какао бобы. С его слов урожай можно снимать три раза в неделю. У него там примерно 1200-1400 деревьев, с каждого дерева от 1 до 3 кг. Плюс потом нужно просушить всю эту ебанину и продавать можно за 3 дойера за кило. Это в среднем около 5-6к дойеров в месяц. Я как то мальца сомневаюсь в том что все так гладко. На словах ты Лев Толстой, а на деле ты филипинский хуй простой. Так он еще говорит, что попзже посадит бананы между деревьями какао, потому что у него по три метра неиспользованной земли между деревьями. Лол.
До этого он занимался авто бизнесом. Его империя состояла из двух машин и водителей такси. В день две машины приносили ему по 50 дойеров в среднем. Кароче все гавно, кроме мочи.
Аноним 25/02/17 Суб 20:35:31  919786
>>919746
Логичный вопрос, нахуя он тогда в моря ходит, у фиттера там копейки же зарплата и контракты по овер дохуя месяцев.
Аноним 25/02/17 Суб 20:39:48  919799
>>919746
У меня матрос был, у которого три тачки таксовали. После контракта собирался купить бус и забить на моря но мы то знаем. По его словам прибыль как раз дошла бы до уровня зарплат его братьев офицеров в районе 3 к. У матроса плохо с мозгами, поэтому не смог выучиться как жопа родных брата
Аноним 25/02/17 Суб 20:41:09  919806
>>919799
>как два родных брата
Т9 тролит меня
Аноним 25/02/17 Суб 20:50:19  919820
>>919680
Таки больше никто. Ворона только. Любит повыебываться, это факт. Васильевы в Питере не лучше, один фошызд, другой перхотный омега.
Аноним 25/02/17 Суб 21:36:12  919888
>>919820
Какаие требования в примтанко? Какая зарплата у 3 механика? Контраткты, состояние судов я так понимаю отличное? Хотел бы вкатиться в столт.
Аноним 25/02/17 Суб 21:44:03  919904
>>919820
>один фошызд, другой перхотный омега
Ебать, прямо таки зигует в офисе?
Аноним 25/02/17 Суб 22:02:14  919939
>>919888
Зайди - спроси. У третьего меха 6к. Тесты всякие типа CES, Stolt 20-20.
контракты обычно 4 через 4, большинство 3 через 3 работает, состояние судов - варьируется от ржавого дерьма на котором тусят вьетнамцы с филлипками в офицерах до китайских новостроев и датских космолетов середины 90х но они у Лапы

>>919904
стоит каска СС прямо на полке у него, а на майле фотки в форме, лел. олсо вейпит
Аноним 25/02/17 Суб 22:27:59  919981
>>919939
> вейпит
Это стопроцентный фошизд.
Так ты в Лапе у них работаешь или в Примтанко? Города же вроде разные
Аноним 25/02/17 Суб 22:32:29  919989
>>919981
второе, просто закатился разок туда.
Аноним 25/02/17 Суб 23:22:42  920078
P70225-200853.jpg (426Кб, 1080x1457)
>>919981
>вейпит
Как будто что-то плохое.
Аноним 25/02/17 Суб 23:30:05  920089
>>920078
Законом не запрещено
Аноним 25/02/17 Суб 23:33:23  920093
>>920078
Долбаный фашист!
Аноним 26/02/17 Вск 00:15:54  920136
>>919565
Да, это была моя паста.
Аноним 26/02/17 Вск 00:24:59  920140
>>919501
Я работал на яруслове и нет разделения "рыбцех-рефка", я просто обслуживал рефку, управлял морозильными шкафами и обрабатывал рыбку. Выходило больше, чем 50к, но тут снова фактор удачи, можно и так рейс провести, что в среднем 50 за месяц будет.
Кормили отлично, вкусно, не слишком разнообразно, но пожаловаться я не могу, вообще снабжение было норм и кормежка очень зависит от навыков кока, он у нас был крутой.
Попробуй вкатиться, после первого рейса ты ясно дашь себе ответ, твое- не твое. Насчет полугода поисков: это так, я искал поменьше, от даты получения улм до посадки на судно 2.5 месяца, но для этого я с запада России уехал во Владивосток. Може мне и проще было, чем первокурам, т.к у меня профильная морская вышка, но с пятилетним перерывом и отсутствием реальной практики.
Аноним 26/02/17 Вск 01:38:18  920238
>>920136
Денежки закончились и решил продолжить?
Аноним 26/02/17 Вск 01:45:25  920242
>>920238
Кончились, но я решил не продолжать. Перекатился в другую сферу, не связанную с морем.
Аноним 26/02/17 Вск 01:55:45  920244
>>920242
Попробуй другой тип судов, а потом перекатился бы.
Аноним 26/02/17 Вск 09:52:08  920387
>>920078
>на компе установлены танкчики
>на стене панель алармов в машинном отделении
Мавриашка это ты?
Аноним 26/02/17 Вск 13:30:39  920671
Небольшой инсайд: столт покупает джо танкерс, будут вакансии для офицеров
Аноним 26/02/17 Вск 13:30:51  920672
Сап, морячки, к вам залётный сухопутный рак пожаловал.
25 лвл, гуманитарная вышка, опыта работы нет, зато есть дядя - старший помощник кэпа. Предлагает идти с ним в море, начать карьеру моряка. Говорит, что в следующий рейс возьмёт с собой. Реально ли возьмут на товарняк ньюфага без опыта или надо мной поугарают и погонят ссаными тряпками?
Аноним 26/02/17 Вск 13:34:20  920680
>>920672
Он возьмет тебя своим дублером
Вполне вероятно, что если у него хорошие связи в офисе, и если ты сделаешь все нужные доки и сертификаты, пойдешь матросом. А надо ли оно тебе?
Аноним 26/02/17 Вск 13:37:01  920683
>>920672
> рак
> кумовство
Откуда ты любезный?
Аноним 26/02/17 Вск 13:45:16  920710
>>920680
Решил, что лучше уж в море пахать, чем подработками перебиваться.
Аноним 26/02/17 Вск 14:39:25  920780
>>920387
да
>>920671
Интересно, закину им апликашку в Лапу, к быдлану из примтанко не охота идти. Кстати собеседование на ангельском, с кем, всмысле откуда супера там? К чему готовиться.
Аноним 26/02/17 Вск 15:22:39  920830
>>920671
столт уже купил jo tankers
Аноним 26/02/17 Вск 18:01:43  921143
>>920830
Между покупкой одной компании другой, и смены экипажей на них проходит немало времени
Аноним 26/02/17 Вск 20:41:26  921313
>>921143
ну это правда
в письме новогоднем говорили, что уже остались формальности, и в этом году начнут набирать (Мартечинни пиздит как обычно) экипаж
там что-то около 15 судов Jo, и около шести (?) судов строятся одно уже спустили, другое вроде скоро
так что да, экипажей нужно штук 40
Аноним 26/02/17 Вск 21:37:29  921390
>>921313
И конечно же рядовыми будут черножопые?
Аноним 26/02/17 Вск 21:56:29  921396
>>921390
офк. все рядовые на галфах лаповские а примтанко много русских имеет на своих говновозах, спасибо сегеде
Аноним 26/02/17 Вск 22:01:48  921397
>>921390
C'est la vie, при прочих равных, брать рядовых славян не выгодно, причины уже не раз обсасывались в треде.
Поэтому тред за тредом, ньюфагам советуем идти учиться на офицеров, с ними история совсем другая.
>>919746
>>919786
>>919799
Ну это платина же, филипинские магнаты в море. Как-то давно филипинский моторист показывал видяшки со своего дома. Что там есть:
1. Кондей в каждой комнате
2. Решетки на каждом окне
3. Высокий забор
Что там нет:
1. Стекол в окнах хуй знает зачем там тогда кондеи
2. Мебели, спят натурально все вместе на матрасе, матрас на полу
3. Обоев, покраски стен, просто голые бетонные стены
Аноним 26/02/17 Вск 22:19:12  921420
>>921397
Я жду с опасением когда мне напишут с Роттердама "Вы нам не нужны, сорри, мы набрали вьетнамцев" падажжи...>>921397
oh shi~
Аноним 27/02/17 Пнд 13:07:06  921787
С завтрашнего дня иду на судоремонт пассажирского некрокорыта за копейки, с последующим уходом в круизы по внутренним путям, пожелайте мне не выпилиться в процессе от жизни такой.
Аноним 27/02/17 Пнд 14:16:17  921890
>>921787
Запили пожалуйста фото и кулсторей. Начиная с завода и работяг
Аноним 27/02/17 Пнд 14:45:20  921906
>>921890
Постараюсь, ремонтироваться будем прям во льду, никаких энтих ваших заводов. они там уже перебирали гд и котел вытаскивали прям по льду на берег, я хуй знает зачем. Надо сказать что я хуй простой и иду юридически практикантом, но вьебывать буду за полноценного моториста "изшараги".
Аноним 27/02/17 Пнд 15:37:20  921930
>>921906
> котел вытаскивали прям по льду
Блядь чет как-то неправдаподобно звучит. Не только потому что он большой и его хрен вытащить, без разрезания части обшивки, но и потому что нахуя?
В общем спроси, и да в таком случае фото и кулстори очень нужны
Аноним 27/02/17 Пнд 15:57:27  921949
ПОЧЕМУ У НАС ДО СИХ ПОР НЕТ ТЕЛЕГРАМ-КОНФЫ?!
Предалагаю немедленно создать.
Аноним 27/02/17 Пнд 16:46:23  922005
>>921949
А нахуя? Чем тот уютный чятик будет отличаться от этого?
Аноним 27/02/17 Пнд 18:18:27  922152
>>921949
Ебать ты слоупок. В прошлых тредах запилили уже

https://telegram.me/joinchat/Bzbf_T9QBaX8HltIQDS-gg
Аноним 27/02/17 Пнд 18:23:46  922162
>>922152
Что это за говно?
привет, Summit, у тебя 10 минут на предоставление пруфа принадлежности к женскому биологическому полу! войс, по желанию еще сисечки. нет пруфа - бан!

а ещё мы используем строго женские местоимения!

Какие блядь я сиськи покажу?
Аноним 27/02/17 Пнд 18:25:45  922163
>>922152
Полистал конфу, хуйня какая-то, ливнул
Аноним 27/02/17 Пнд 18:54:01  922205
>>922152
ты нахуя лесбоконфу скинул?
Аноним 27/02/17 Пнд 19:00:16  922217
i.jpg (45Кб, 614x449)
>>922152
криса, блядь.
Аноним 27/02/17 Пнд 20:30:12  922398
Ананасы, я уже в отеле. Очень неожиданно сегодня с утра мне написали, что я списываюсь сегодня, а не в первой неделе марта, как планировали. А все потому, что на другом судне надо было списать второго механа, который просидел 3,5 месяца, но ему оказалось мало. А согласно требованиям клиента, контракты вообще должны быть по 2 месяца у офицеров и про три месяца у рядовых. Ну и я написал, что хочу месяц отдохнуть дома и го обратно. Еще и стояли в одном порту. Быстрый хэедовер, крю чендж и меня уже везут в отель, а судно двигает на bollard pull test. По идее через месяц, может меньше как раз судно закончит все инспекции и тесты. Надеюсь приеду уже в работу, а то заебали эти доки и прочее говно. С билетами по классике херня. Лететь не далеко, зато две пересадки. Абу Даби-Доха-Стамбул-Одесса. Итого 12,5 часов. Уже скучаю по прямому Одесса-Дубай за 5,5 часов
Оффшогник
Аноним 27/02/17 Пнд 21:29:38  922476
>>922398
Поздравляем, Серега. Как планируешь отпуск провести? Оче хочешь обратно на тоже судно?
Аноним 27/02/17 Пнд 22:05:11  922525
>>922476
Как раз сейчас планирую еще отдохнуть, обсуждаю это с тней. Я хочу на борде катнуть, никогда не катал, она блять на море хочет. Пиздец нахуй.
Да мне в принципе все равно на какое судно, лишь бы не на деливери. Хочу работать именно оффшогником, а не механом на оффшорном судне
Аноним 27/02/17 Пнд 23:30:31  922606
>>920672
Ты это я, только 24 лвл старпом батя, лол. Планирую в катиться летом, сначала не хотел но на берегу в украшке зп 200 баксов не радует.
Аноним 28/02/17 Втр 00:06:54  922659
>>922606
Вообще до этого момента игнорил море? Как батя отреагировал?
Аноним 28/02/17 Втр 07:11:15  922837
Хуя вы слоупоки.
27 лвл 2 механ оффшогник с батей старпомом
Аноним 28/02/17 Втр 07:14:27  922839
>>921949
Иди нахуй пожалуйста.
Аноним 28/02/17 Втр 09:43:12  922950
>>922659
Батя сам в начале был против, мол с семьёй тяжко, на судне работа не сахар он ходит далеко не от лучших компаний. Но после девальвации и обнищания эти недостатки ничто на фоне заработка. Сначала был в замешательстве, а сейчас, мне кажется, горд за то что сын решил пойти по стопам и всё такое.
Аноним 28/02/17 Втр 09:46:43  922954
>>922837
Куда ты Серега в итоге поедешь? На море в Дубай или в горы Львова?
Аноним 28/02/17 Втр 09:56:00  922963
>>922954
Да хуй знает. Пока ничего не решил.
Аноним 28/02/17 Втр 10:09:57  922975
Screenshot1.png (211Кб, 309x311)
Привет морской анон. Тузлук вкатывается в тред может кто помнит

Настало время уходить в рейс. Нашел я шарашкину контору на танкер. Опыта на танкерах нету так что можно сказать ''повезло'' потому что в других агенствах говорили прямым текстом что хер ты сядешь туда без знакомого дяди васи.

Зп не фонтан пойду фуфелом за 35к + за доп работы хуй с маслом угадал?
Контракт на 4 месяца. Из плюсов что вижу я буду работать не на рыбе. Надеюсь на работу не бей лежачего. Будет опыт на танкерах и можно будет вкатываться уже в более вменяемые конторы. Приду летом а значит можно будет уйти в случае чего легко.

Что смущяет? отзывы за 2014 год нашел пишут что пиздец снабжения никакого похуй зап 10к остальное как бох надушу положит. Но попадались коменты за 2015-2016 год где пишут мол раньше был пиздец сейчас всё норм.

Я как порядочный вася уже заплатил в агенстве по другому бы хуй узнал везде миллион таких агенст а контор хуй Думаю всё таки подписать договор зайти на судно и спросить у матросов мол зп норм или пиздец. Если норм отлично если нет развернулся и домой.

Что думаете? Подбодри анон. готов биться головой об стол
Аноним 28/02/17 Втр 11:05:14  923039
>>922975
Фирма называется Дальтранс на судно Палладий.
http://www.morehod.ru/forum/vostochnaja-rossija/black-list-dv-krjuingov-i-kompaniy-t24933-150.html#p785641
я пытаюсь себя уговорить пойти туда
Аноним 28/02/17 Втр 12:37:07  923204
IMG201702281336[...].jpg (412Кб, 1184x2104)
IMG201702281337[...].jpg (209Кб, 473x473)
Посоны, я в Катаре. Чуть не рыгнул с ногтя. Фу сука фу
Аноним 28/02/17 Втр 12:45:10  923221
>>922975
>Про Березов Нефть не знаю, но на двух других пароходах у вас в каюте с вами будут проживать домашние животные - тараканы.
>домашние животные - тараканы
2017 @ тараканы.

Блядь, моряки, это что - норма, о которой не принято говорить вслух? Это только я такой умный могу купить баночку KRA и всё ей обрызгать? Такая проблема извести тараканов в изолированном, по сути, помещении?
Аноним 28/02/17 Втр 12:49:38  923228
>>923221
Ты диванный что-ли? Это же судно! Они сьебутся в другое место просто. Нужно убрать всю воду и жрачку, чтоб они сдохли вместе с экипажем. Нужна полная фумигация, чтоб им пизда настала. Мы проиграли с Индонезии тараканов, у них там это вообще норма. Пока наш Кэп со старпомом не приехали, никто не заказал фумигация. Ну а чё, бегает, не мешает
Аноним 28/02/17 Втр 13:06:13  923284
>>923221
>>923228
На прошлом судне бегали здоровенные. Да и платина наверное. Принес с дома какой ни будь васёк в сумке пару сучек они разбежались и всё пиздец. Да и крысы бегали.
Питание ну тут и от повара зависит.
Аноним 28/02/17 Втр 13:10:22  923296
Аноны как работает матрос на танкере? С утра и до обеда? Или строго вебывать по 12 часов? Или если повезет нет на руле тупить вахтами.
Аноним 28/02/17 Втр 14:13:57  923445
У меня уже паника начинается, что рейс не найду, а нужна практика и отчёт по ней.
Ещё ссусь на берегу устраиваться, так как может затянуть, и я так и останусь протирать жопу в офисе, а ведь я уже дохуя денег на курсы/сертификаты/вышку потратили потрачу ещё больше.
Ведь мне 24, а я до сих пор хуй простой, который даже хотелки свои в полной мере обеспечить не может.
были бы тут крюменеджеры/капитаны/стармехи двачеры, чтобы трудоустраивать ананасов

моторист-заочник
Аноним 28/02/17 Втр 14:19:18  923464
>>923039
Найс компашу ты себе оторвал из черного списка рофл
Дай imo этой помоечки, хоть посомотрим оно ходит или нет.
Аноним 28/02/17 Втр 14:21:55  923472
Я создал, пацаны

https://t.me/dvachseaman

Впервые в треде. ПОлноценная телеграм-конфа для моярков -двачеров.

Настоящая. Удобная. Твоя.
Аноним 28/02/17 Втр 14:23:11  923475
>>923472
а че я написать ниче не могу
Аноним 28/02/17 Втр 14:23:47  923477
>>923475
чому?
Аноним 28/02/17 Втр 14:24:28  923480
>>923477
внизу только mute, окошка нету
Аноним 28/02/17 Втр 14:26:37  923485
>>923480
Что ж, видимо, я не умею создавать телеграм-конфы.
Аноним 28/02/17 Втр 14:28:45  923489
>>923485
норм пооьщались
Аноним 28/02/17 Втр 14:34:29  923506
>>923485
я тож попробовал https://t.me/seamensbook
посмотри можно писать там?
Аноним 28/02/17 Втр 14:38:57  923514
>>923485
Ты создал конфу в которой только ты моешь постить, типа как конфа Двача. Посмотри, может есть где кнопочка чтобы все писать могли, как в той лесбиянской конфе?
Аноним 28/02/17 Втр 14:59:32  923547
>>923506
Короче я так понял там писать тоже нельзя, там настроек то толком и нету, может в пк версии урезанный функционал?
Аноним 28/02/17 Втр 15:13:57  923560
>>923547
вроде разобрался, закатывайтесь сюда и сразу пишите чето https://t.me/dvacherzaxodi
Аноним 28/02/17 Втр 16:35:18  923685
Посаны, насколько я знаю чтобы быть обычным матросом нужен паспорт моряка.
Так вот дадут ли мне его если у меня сах.диабет? Или там полностью здоров должен быть?
Аноним 28/02/17 Втр 16:47:52  923695
>>923685
Не дадут, да полностью.
Аноним 28/02/17 Втр 17:26:02  923727
>>923560
Не пишется опять.
Аноним 28/02/17 Втр 17:26:38  923729
>>923560
>>923547
>>923514
>>923506
>>923485
>>923480
>>923475
>>923472
>>921949
Зачем эта конфа? Обсудить как вкатится в профессию можно и в треде. Описать бугурты от происходящего тоже. Есть какие-то личные вопросы грозящие деаноном?
Аноним 28/02/17 Втр 17:33:48  923738
А ну попробуйте https://t.me/dvachseafarers
Аноним 28/02/17 Втр 17:36:57  923741
>>923729
Я вот тоже не знаю, у нас нет такой скорости постинга в треде, чтобы конфу создавать.
и у меня нет аккаунта в телеграме
Аноним 28/02/17 Втр 17:42:52  923749
>>923741
Модненько, может кто-то хочет еще больше внимания. Треда хватает.
Аноним 28/02/17 Втр 17:44:14  923752
Всё, ясделол: https://t.me/joinchat/AAAAAA0VrSUliZADB4omRQ
Надо было через группу создавать. ЗБС.
Аноним 28/02/17 Втр 17:54:13  923765
Ну все, теперь в тред можно кидать мемесы и устраивать ракосходочки с школьниками.
Аноним 28/02/17 Втр 18:10:13  923784
69-26.jpg (65Кб, 713x511)
Аноним 28/02/17 Втр 19:21:39  923881
Screenshot2017-[...].jpg (71Кб, 1080x862)
>>923560
Blyeat это успех
Аноним 28/02/17 Втр 20:05:02  923954
>>923881
Сейчас перекатится половина морянов в телеграм и часть инфы будет проходить мимо тех, кто телеграмом не пользуется.
Аноним 28/02/17 Втр 20:05:58  923956
>>923881
Выпиливай нахуй, треды умрут тогда, если все в тг перекатятся
Аноним 28/02/17 Втр 20:11:36  923963
>>923954
Да не похоже. Есть костяк треда неймфаги завсегдатаи, пока они не перекатятся на постоянку в телеграм, тред не скиснет.
Аноним 28/02/17 Втр 21:02:19  924042
IMG201702280726[...].jpg (530Кб, 2104x1184)
Там можно попиздеть ни о чем, нюфани могут поныть заебись, может тут меньше будут. Основной контент все равно будет тут пилиться
Аноним 28/02/17 Втр 21:57:04  924103
>>924042
Во-во. Всё одно там больше трех человек не пообщаться: помойка получается.
Аноним 28/02/17 Втр 22:12:10  924133
>>924042
>>924103
Уже 2 человека в группе. Стремительно теряется популярность
Аноним 28/02/17 Втр 22:28:10  924149
>>924133
Да не, ты чего! Нас там уже четверо! Поприветствуем вновьприсоединившегося Рому!
Аноним 28/02/17 Втр 23:22:50  924203
>>924149
Что за Рома? Был какой-то диванон?
Аноним 28/02/17 Втр 23:25:04  924207
Сука, рейс задержали. NU EBANA!!!
Аноним 28/02/17 Втр 23:59:06  924234
>>924207
Это все потому что ты вступил в ракочатик в телеграмме.
Аноним 01/03/17 Срд 00:03:58  924236

>>923445
Ищи толкачей, как я понял трудно нынче моторам.
Аноним 01/03/17 Срд 00:55:35  924257
>>924203
Roma joined the group via invite link
Аноним 01/03/17 Срд 01:08:03  924259
>>924257
Дискорд?
Аноним 01/03/17 Срд 01:23:53  924268
>>924259
Телеграм жи.
Аноним 01/03/17 Срд 05:35:43  924309
Показался по конторам везде анальная боль. Матрос в море хуже червя пидора. В прошлом месте на торговый все занято стариками. С работой глухо везде пишут оставьте анкету. Через пару часов пойду на счет танкера узнавать. 35к ппц как мало кажется. Но без опыта я хуй простой.

Аноны кто был на танкерах там действительно не бей лежачего работа. Расскажите что делать. На форумах ничего толком не нашел.
Аноним 01/03/17 Срд 07:53:59  924353
>>924236
На всех сайтах по несколько вакансий матросов и ни одного моториста. Ебучая автоматизация.
Аноним 01/03/17 Срд 10:17:52  924495
>>924309
На старых корытах не может быть работа не бей лежачего, наверняка заебы будут.
Аноним 01/03/17 Срд 11:09:46  924546
Сходил в офис. Пока ждал кодровика охуел. 3часа блять. Контора которая отправляла говорила что платят вовремя как часы. Оказалось хуй 2месяца задержка. Да это блять платина. Хуй я туда пойду
Аноним 01/03/17 Срд 15:26:08  924910
Анон, где в СПб можно получить корочки Extreme weather и LNG familirization?
Аноним 01/03/17 Срд 16:02:30  925014
>>923445
>У меня уже паника начинается, что рейс не найду, а нужна практика и отчёт по ней.
Попробуй сюда пойти http://midvolga.com/index.php
Работал там в 2014-15 мотористом на Волгонефти. Щас как раз навигация скоро откроется, а ремонты на судах уже по идее должны начаться.
Аноним 01/03/17 Срд 16:07:32  925038
>>924910
> Анон, где в СПб можно получить корочки Extreme weather и LNG familirization?
Вроде как нет отдельного LNG Familirisation а есть общий Gas Tanker Familirisation, его можно пройти в любом тренажерном центре
Аноним 01/03/17 Срд 19:11:51  925305
Скажите моряки, как у вас обстоят дела с сигаретами во время плавания?
И, самый главный вопрос, лично вы или кто то из коллег на борту пользуется таким табачным изделием как снюс?
Есть ли преимущество использования снюса на борту перед сигаретами?
Аноним 01/03/17 Срд 21:52:01  925502
Есть ли жизнь после жабодава? Тяжко ли будет перекатиться на большой флот?
Аноним 01/03/17 Срд 21:57:19  925521
>>925305
> Скажите моряки, как у вас обстоят дела с сигаретами во время плавания?
Обычно на борту есть slop chest, это навроде судового магазина, сигареты там есть всегда.
> И, самый главный вопрос, лично вы или кто то из коллег на борту пользуется таким табачным изделием как снюс?
Если снюс это жевательный табак то его часто едят шведы. Он заметно дороже обычных сигарет, лучше или хуже это вопрос вкусовщины.
> Есть ли преимущество использования снюса на борту перед сигаретами?
Если работаешь на танкере, химовозе или газовозе, то можешь потреблять никотин прямо на палубе, хоть в порту у грузового манифолда
Аноним 01/03/17 Срд 21:58:08  925523
>>925502
А есть альтернативы? Если есть то лучше их использовать, а если нет, то какая разница?
Аноним 02/03/17 Чтв 01:40:08  925720
>>925502
Жизнь есть, но будет тяжко. Если совсем тупой дебил, то там и останешься, если не совсем, то как минимум перекатишься в костера.
Аноним 02/03/17 Чтв 07:16:29  925790
>>925720
Оказалось легче на контейнер перекатится
Аноним 02/03/17 Чтв 08:52:16  925822
>>925790
>контейнер
Годнота, жизнь дальше своей вахты не планируется, каждый день как день сурка если переходы короткие, время летит ужасающе быстро на борту.
Аноним 02/03/17 Чтв 09:31:22  925857
Первокур ис репортинг ин.

Идёт второй месяц второго семестра. Всё стало даваться гораздо лучше, по сравнению с первым семестром. Наконец-то начались специальные предметы (морская практика, ОСПС, НПБИ). Остался скучный предмет в виде высшей математики. Добавились физика, коррозия металлов, черчение, информатика, мировое культурное наследие. Всё это более-менее органично вписывается в понятие о высшем образовании, кроме мирового культурного наследия. А на следующих курсах больше — экология, философия... Сейчас мы все тут по весне оттаяли и нам возвращают старые-добрые строевые, всякие собрания и так далее. На днях должна нагрянуть какая-то инспекция, но всем до одного места. Пару дней назад было великое переселение — курсантов переселяли из одних кубриков в другие с целью собрать всех в своих группах. В одном кубрике могло жить до 4 представителей разных групп. Я перебрался из шумного в более тихий и сейчас наслаждаюсь взаимопониманием со своими новыми сокубриковцами. Насчёт практики ничего не ясно, кроме смутных догадок и слухов. Вроде бы как мы будем проходить третий семестр (т. е. уже второй курс) летом в течение целого месяца, потом отпуск, а потом в октябре грузимся на Надежду и идём до Мальдив, по пути заезжая в Японию, Китай, Вьетнам, Сингапур и ещё куда-то. С Мальдив летим обратно во Владивосток.

Как-то так.
Аноним 02/03/17 Чтв 09:32:24  925860
>>925305
Насвай за губу и пошёл.
Аноним 02/03/17 Чтв 09:53:35  925892
>>925857
Вышка, кубрики. Макаровка?
Аноним 02/03/17 Чтв 09:54:40  925894
>>925860
А потом губа как у защекана
Аноним 02/03/17 Чтв 12:51:20  926106
images.jpeg (10Кб, 183x275)
>>925857
>коррозия металлов

Музыка что ли?
Аноним 02/03/17 Чтв 13:04:36  926120
>>925892
МГУ Невельского.

>>926106
Ну почти. Преподаватель атеист, женоненавистник и тонкий тролль. Про музыку пока что не говорили.
Аноним 02/03/17 Чтв 14:55:32  926328
>>926120
По-любому двачует
Аноним 02/03/17 Чтв 17:38:40  926591
IMG201703011052[...].jpg (2835Кб, 2160x3840)
IMG201703011010[...].jpg (2450Кб, 3840x2160)
Недомоторист с пассажирского корыта на ремонте репортинг ин. За три дня что я там работаю - ставили на главные двигатели (6 nvd 48 реверсивный вроде по виду) крышки цилиндров, трубки эти для системы охлаждения там вставляли с промазанными клеем прокладками,Ставили коллектора, чот там еще по мелочи. Потом варили какие то тоубы на генераторы вроде, смутно представляю их назначения, знаю только что они для воды. Следил чтоб от сварки под сланями не полыхнуло, все ебало красное теперь - загорело от сварки. Пилил эти самые трубы, ну и так по хуйне. По сути дела пока что работа не шибко тяжелая, видал и куда похуже. Плохо только что воды и туалета нема.Ну и холодновато конечно, но это хуйня. Фотки особо хуй поделаешь, ибо руки всегда в говне, телефон жалко, так что вот так. Коллектив чуть менее чем полностью состоит из работяг, все чсх весьма адекватны и дружелюбны, что не может не радовать.
Аноним 02/03/17 Чтв 19:15:40  926761
>>926591
Расскажи, что на фото? Дизель-генераторы?
>смутно представляю их назначения, знаю только что они для воды
Тогда это тоже охлаждение должно быть.
>ибо руки всегда в говне
Рекамендую завести себе чехол, потому что проблма такая будет часто. Хорошо что тебе повезло с коллективом. А штурмана как? Боцман? Капитан?
Аноним 02/03/17 Чтв 19:17:21  926764
>>926591
Так и куда в итоге ПОКАКОТЬ ходите?
Аноним 02/03/17 Чтв 20:38:13  926899
nbsJOYPlz8c.jpg (82Кб, 1280x652)
>>926761
Вроде да, генераторы.
Все кого видел на судне нормальные, даже удивительно. Ну может потом говно полезет.
>>926764
В дыру в полу или на лед)))
Аноним 02/03/17 Чтв 21:09:17  926982
YobaSmile08.png (284Кб, 604x463)
>>926764
на POOP DECK
Аноним 03/03/17 Птн 07:34:56  927332
Народ из невельского. Можно ли заочникам сессию летом сдавать? А то мне контракт на 8 месяцев предлагают, и на зимнюю сессию я не попаду.
Методист говорит, что можно, при поступлении говорили, что только первую сессию. Нихуя не понятно в общем.

моторист-заочник
Аноним 03/03/17 Птн 13:53:12  927621
>>926120
Слушай а это ракушка та самая или я путаю. Как то стремно на вышке да в кубарях. Как вообще учиться можно.

Заочник
Аноним 03/03/17 Птн 20:28:46  928177
>>926591
>(6 nvd 48 реверсивный вроде по виду)
И с чего же такие умо заключения?
НВД нихуя не ре версивные, и вообще я не примоню ни одного 4х тактного двигателя, который был бы реверсивный.
Аноним 03/03/17 Птн 20:50:51  928222
>>928177
Описание двигателя 6 NVD 48U
Двигатель 6 NVD 48U представляет собой шестицилиндровый, однорядный, четырехтактный, тронковый, реверсивный, среднеоборотный, двигатель внутреннего сгорания со средним ходoм поршня.?
Аноним 03/03/17 Птн 21:59:19  928329
уааааа.webm (372Кб, 640x480, 00:00:05)
Очное или заочное? Не могу определится, денег есть только на первый год обучения, но и знания получаешь лучше на очном, а работать по вечерам - пиздец. На заочке заебись - работаешь и денег всегда хватает, и на следующий год обучения заработаешь.
Еще где то слышал что заочное хуже котируется.
Аноним 03/03/17 Птн 23:32:34  928443
>>928177
SKL 6NVD48-AU был вполне реверсивен (проект 781Э прости г-споди).
Аноним 03/03/17 Птн 23:37:10  928451
Ищите конфу в телеграме dvachseafarers
Аноним 03/03/17 Птн 23:58:08  928481
>>928451
Блядь, тред же по пизде так пустим, ну!
длинный
Аноним 04/03/17 Суб 05:41:51  928602
>>928451
Нет, я тут останусь
Аноним 04/03/17 Суб 20:01:22  929359
P20160730172921.jpg (458Кб, 2048x1152)
Бамп распредвалом
Аноним 04/03/17 Суб 21:42:34  929495
>>929359
Покидай его с высоты
Аноним 04/03/17 Суб 21:56:10  929532
>>929495
https://www.youtube.com/watch?v=INPGiMb-2os
Аноним 05/03/17 Вск 00:46:24  929678
>>929495
>>929532
Пиздец это какой-то местечковый мкм, типа того что нельзя перешагивать через штангу?
Аноним 05/03/17 Вск 11:17:59  929860
image-11.jpg (31Кб, 288x339)
https://meduza.io/news/2017/03/05/piraty-osvobodili-zahvachennyh-v-nigerii-rossiyskih-moryakov-peregovory-dlilis-mesyats
Аноним 05/03/17 Вск 14:21:26  930032
Оффщогник как ты тратишь свою оффшргную зарплату? Наверное все девки твои
Аноним 05/03/17 Вск 14:34:25  930049
>>930032
Так у меня одна девка. И зарплата маленькая, так что тратятся они очень быстро.
Аноним 05/03/17 Вск 15:24:59  930095
>>907341 (OP)
В этом году заканчиваю ПТУ на "менеджера по продажам", потом иду в армию. После армии хотел бы в матросы вкатиться пройдя курсы в СПБ. Есть ли какие то подробные гайды о том где конкретно лучше пройти курсы и получить нужные документы? Все что я нахожу в интернетах написано в очень общих чертах.
Аноним 05/03/17 Вск 15:52:12  930129
20170202084550.jpg (1664Кб, 3264x1840)
20170202084609.jpg (1243Кб, 3264x1840)
20170202084916.jpg (1535Кб, 3264x1840)
20170202085132.jpg (1743Кб, 3264x1840)
Моряны, подскажите, что означает первое число. Второе - номинальный ток выключателя, как я понял.
Аноним 05/03/17 Вск 16:02:56  930141
>>930129
Виталик отзовись!
Аноним 05/03/17 Вск 16:09:37  930145
>>930141
Не знаю, про кого ты, но меня зовут не так.
Аноним 05/03/17 Вск 16:53:35  930190
>>930145
> кто такой Виталик
Это местный электромеханик. Есть еще пара других, но этот самый активный
Аноним 05/03/17 Вск 18:58:08  930308
P20160702160939.jpg (412Кб, 2048x1152)
Бамп сварочным аппаратом
Аноним 05/03/17 Вск 19:35:20  930355
>>907341 (OP)
Как стать матросом в стране восходящего солнца не подскажете?
Аноним 05/03/17 Вск 19:45:40  930364
>>930355
> Как стать матросом в стране восходящего солнца не подскажете?
У них хуево м этим делом, сириусли. В мировом бизнесе выгоднее нанять филипинцев, чем японцев, чем те Mitsui и пользуются
Аноним 05/03/17 Вск 21:46:33  930566
>>930129
Поддержу спрашивающего. Аноны среди вас точно были зарегистрированные на мореходе. Спросите плз там в
http://www.morehod.ru/forum/eletromehanika/
а то инфа и правда полезная лично мне очень интересная.
От себя могу добавить, что желтая полоска на первом пике относится к группе ГРЩ к которой подключен этот потребитель красные обычно critical equipment
Аноним 05/03/17 Вск 22:17:16  930606
Есть один актуальный для моряков вопрос: фильмы в рейс. Обычно вспоминаешь о том, что надо чем-то заполнить хард на несколько месяцев вперед за неделю-другую от рейса.
Как быть? Конечно торренты, локалка и прочее. Проблема только в одном, все это требует времени, а гонять ноут не выключая в течении 2 недель пока докачается все что поставлено на закачку не очень хочется.
Для себя я решил эту проблему, купив Raspberry Pi и приделав внешний хард к ней.
>Что это такое?
Вот статья на педивикии: https://ru.wikipedia.org/wiki/Raspberry_Pi
Если вкратце, то это дешевый комп с производительностью смартфона. Для торрентокачалки хватает. Для могущих в консоль есть ssh и можно рулить ей хоть с телефона, но я же у мамы гуманитарий так что купил на авито дешевый монитор за 10$, плюс необходимые переходники примерно столько же.
>Подводные камни
Аппарат критичен к зарядному устройству, чем больше ампер он выдает, тем лучше
скажем минимальный комфорт начинается от 2 А. Не запустился один из хардов требовал больше питания чем могла дать малина, эта проблема решилась бы Y-кабелем с дополнительным питанием, но я просто воткнул другой хард. На малину не завезли винду, а линукс это всегда танцы с бубном.
>Использование в рейсе
Одна из доступных операционок
вернее несколько, все что завязано на Kodi превращает малину в неплохую мультимедиа-приставку, которая на судовой плазме питалась от HDMI телевизора и управлялась с его же пульта на старом телике так не получилось, пришлось управлять мышкой%%
Аноним 05/03/17 Вск 22:22:52  930609
>>930606
А еще для нее завезли Kali Linux. А он может использоваться для ломания паролей у общественной вафли за подробностями в 2 или 3 морякитред, там где 3 помощник рассказывал про антенну и гамак
Аноним 05/03/17 Вск 22:24:32  930613
>>930606
Проебался с разметкой, сорян
Аноним 05/03/17 Вск 22:41:52  930625
>>930613
Покажи все в сборе, че за монитор за 10 уе? это че такое ваще?
Аноним 05/03/17 Вск 22:54:32  930639
>>930606
> гонять ноут не выключая в течении 2 недель
Мой ноут уже пять лет как в выключенном состоянии либо когда дома нет электричества, либо когда я лечу в рейс. Пять лет, полет нормальный.
Аноним 06/03/17 Пнд 00:55:01  930692
>>930606
>а гонять ноут не выключая в течении 2 недель пока докачается все что поставлено на закачку не очень хочется.
Хард на 1Тб забил за двое с половиной суток. Плюс в ноуте хард по 1 Тб, но и он так забит, всякой фигней. Инет у тебя херовый.
К тому же, не вижу ничего страшного в том что ноут поработает неделю, хуле тут такого страшного?
Ты странный.
Аноним 06/03/17 Пнд 02:16:28  930740
Пишите спеки своих ноутов.
У меня асус.i7-3610qm 2,3Ghz.,8gb ram, ge force gt650m 2gb,blu-ray.hdd 1tb*2.17,3 экран. Один хард вытащил и вставил ссд на 128гб. В основном используется для интернет серфинг, печатания всяких заявок. Ну и в танки пошпилить с хорошим фпс. Кстати 5 гта на почти средних тянет.
Аноним 06/03/17 Пнд 07:13:10  930823
blob (18Кб, 718x225)
Хозяин печки врывается в тред.
ссд на 120 + 2 внешних терабайтника.
Захотел установить ведьмака на буке свободно 28 гигов сука.
Аноним 06/03/17 Пнд 08:48:35  930848
>>930740
This.
http://www.dns-shop.ru/product/4cb507aac6bc3361/156-noutbuk-dexp-atlas-h100-seryj/characteristics
Из минусов только хуёвая тн матрица и греется в районе модуля вайфай. Система охлаждения своеобразная, вентилятор не постоянно работает на неких оборотах, а ждёт пока нагреется, а потом как турбина с воем выдувает тепло.
а ещё return to castle wolfenstein не запускается даже с фиксами и патчами, что очень огорчает
Стоит семёрка х64.
Аноним 06/03/17 Пнд 09:25:09  930877
1488781656837.jpeg (503Кб, 844x860)
1488781657126.jpeg (20Кб, 682x560)
>>930625
> Покажи все в сборе,
Сам одноплатник на второй пикче. Изначально он был приделан на задней стенке монитора, но велкро-лента с али оказалась хуевого качества и малинка отвалилась. Позже придумаю как и куда ее прилепить красивее
> че за монитор за 10 уе? это че такое ваще?
Обычный монитор начала 2000-х. Человек который его продавал, завел трактор отсюда, поэтому сливал весь свой скарб за бесценок
Аноним 06/03/17 Пнд 09:52:48  930892
>>927621
Стрёмно, но учишься. Превозмогаешь, хитришь, покупаешь.

>>928329
Заочное действительно хуже котируется. Поступай на очное.

первокур
Аноним 06/03/17 Пнд 10:04:40  930907
1488784025876.jpeg (1014Кб, 1816x2343)
1488784026209.jpeg (131Кб, 768x1024)
>>930639
>>930692
На пике внутренности относительно свежего зенбука ультрабук Asus малярный скотч и отсутствие нескольких винтов. Да он легкий и мощный меньше 1,5 кг, но в его качестве я не до конца уверен
Аноним 06/03/17 Пнд 10:46:12  930923
>>930907
Я бы себе осенью, будь у меня деньги, купил тонкий бук на bristol ridge.
Мощности проца как у интела, а встройка значительно мощнее, на уровне дискретки.
Аноним 06/03/17 Пнд 10:47:31  930926
>>930923
Ошибся, на Raven Ridge.
Аноним 06/03/17 Пнд 10:51:18  930929
>>930907
Господи, напомнило мне мой бывший планшет дзенпад. Как я радовался когда от него избавился, 4 гарантийных ремонта за год. Закончилась гарантия продал его какому то мимохую и радовался до потери памяти. Асус кроме железок в жизни не куплю, помойка.
Аноним 06/03/17 Пнд 10:59:07  930933
>>930929
Не все так однозначно. У меня есть их ноут, работающий с 2009 года и телефон. К обоим претензий нет. Но вот зенбук за тот год что юзаю, уже побывал в гарантийке, сгорела мать так там сказали так что да, лучше не брать.
>>930926
> Ошибся, на Raven Ridge.
Что это расскажи филиал /hw/ в морякитреде
Аноним 06/03/17 Пнд 11:57:28  930979
>>930933
Это АПУ с процем на архитектуре зен и видео на архитектуре полярис/вега.
Зен идёт в ровень с интелами и имеет небольшое тепловыделение, а встройки амд всегда ебали встройки от интела.
Аноним 06/03/17 Пнд 12:02:24  930986
>>930979
> Это АПУ с процем на архитектуре зен и видео на архитектуре полярис/вега.
> Зен идёт в ровень с интелами и имеет небольшое тепловыделение, а встройки амд всегда ебали встройки от интела.
Потянуло AMD-срачем из /hw/
Аноним 06/03/17 Пнд 12:11:02  931000
>>930986
Но зень действительно идёт в ровень, другое дело, что он нихуя не гонится, а потому сосёт у 7700к в играх. А для ноутов высокие частоты и не нужны.
Спорить с тем, что встройки с амд лучше даже отбитый штеудогой не будет.
Аноним 06/03/17 Пнд 14:06:03  931136
>>931000
Во-первых его еще не выкатили, а верить обещаниям как-то наивно
Во-вторых встройки для игры походят смело в принципе, а посерфить в браузере можно на чем угодно
Аноним 06/03/17 Пнд 14:36:47  931158
>>931136
>походят смело в принципе
Я тебя немножко не понял.
Я на встройке моего и5 3470 играл в дотан на низких в 1600х900 вроде. Вполне играбельно, а современные даже йобу тянут. На встройке а10 можно в крузис на низких играть с фпс 45+.
Аноним 06/03/17 Пнд 14:38:03  931161
>>931136
Ну рузен-то выкатили, он весьма неплох за свои деньги. Если цены на ноуты с ним не задерут, то будет хорошо.
Аноним 06/03/17 Пнд 15:03:09  931183
Безымянный.jpg (110Кб, 473x499)
Мойдодыр!
Принимай пополнение.
Аноним 06/03/17 Пнд 15:10:08  931192
а давайти ТипЕрЬ ЗасИРаТь тРеД ДеБиЛьНыМи СпОраМи чТо Из дВуХ гОвЕн ЛучШе))))) ЭтА Так ВеСело НуЖно РаСпРосТраНиТь По ВсЕм РаЗдеЛам вЕдЬ в /hw тАк ТеСнО))))))))))))))))))
Аноним 06/03/17 Пнд 15:24:22  931201
image-30.jpg (42Кб, 489x346)
>>931192
Быстро вернул мне 2007
Аноним 06/03/17 Пнд 16:29:41  931329
>>931201
Фу, у него ногти как у быдла. Wait! Oh shi....
Аноним 06/03/17 Пнд 17:23:09  931396
>>931329
это офшогник же
Аноним 06/03/17 Пнд 18:05:13  931474
Screenshot2017-[...].jpg (856Кб, 1080x1920)
>>931396
Нет оффщогник на пикче
Аноним 06/03/17 Пнд 18:41:29  931526
>>931474
С каких пор я стал пиздоглазым?
Аноним 06/03/17 Пнд 18:47:52  931542
>>931526
А ты разве выкладывал свое фото?
Аноним 06/03/17 Пнд 18:56:00  931556
>>909234
Вот же она
Аноним 06/03/17 Пнд 23:24:43  931877
Screenshot2017-[...].jpg (931Кб, 1080x1920)
Бамп
Аноним 07/03/17 Втр 09:45:08  932100
>>930606
Качай всякую хуйню нудную,под нее засыпать заебок.
Балкер-хуй
>>930892
Диванный не палится,блеать похуй всем на твой учебный диплом кроме как в ГКК никто смотреть не будет,в крюингах только рабочий смотрят и опыт.
Аноним 07/03/17 Втр 10:01:22  932107
>>930740
У меня дэлл инспайрон 3543 с невидиа гефорс 820м и похуй,всем даже мне,350$ и ты хозяин этого позора,установлен Линух-Минт,для работы(нави сейлор4000 на виртуал бокс) и Шиндовз 10-для игрух,гоняю в Дерт,Дерт2,Дерт3,ну и всяких шутеров типа метро 2033,Метро Last Light,работает и ОК,схуяли еще нужно?Так иногда красноглазю от нехуй делать,ну Мастеру вон Бубунту впиздюрили с интерфейсом под мак,а хуле еще нужно?Брать YOBU за 100500$- нахуя?Но это лично мой подход к девайсам.
Балкер-хуй.
Аноним 07/03/17 Втр 10:41:04  932129
>>932107
Зачем вы капитану накатили убунту? Спишет же к хуям
Аноним 07/03/17 Втр 11:00:42  932141
>>932129
>Зачем вы капитану накатили убунту?
Сам попросил,даже сборочку сам качнул

>Спишет же к хуям
В твоих влажных бротюнь,понравилось чуваку,сидит теперь серфит с под бубунту,грит заипок автономностьпокормил толстячка
Аноним 07/03/17 Втр 11:08:57  932151
>>932141
Вам на балкер интернет завезли? Что за контора, похвастайся
Аноним 07/03/17 Втр 11:16:44  932160
>>932151
Угу,завезли,барыги Штатовские,мобильный.
Аноним 07/03/17 Втр 11:48:52  932189
>>932160
А, тогда не очень. Покидай фото асашай в тред. Ну там гетто американские, тачки огромные, толстые тетки в Walmart
Аноним 07/03/17 Втр 12:39:13  932219
IMG201611061608[...].jpg (1099Кб, 3600x2160)
>>932189
Могу тебе погрузку на Миссисипи выложить,хуле тут интересного?Ну вот тебе Батлшип с Камдена.
Аноним 07/03/17 Втр 12:43:02  932223
>>932219
ну в город-то кто-нибудь ходит? Вы же там месяцами стоите в порту, ну сделай годноты. Тру америка там fuck yeah
Аноним 07/03/17 Втр 12:46:06  932227
IMG201610191920[...].jpg (812Кб, 3600x2160)
>>932189

Ну вот еще дух швабодки из Нового-Орлеана
Аноним 07/03/17 Втр 12:51:19  932231
>>932227
это уже лучше. А фото самого города есть? Баров там, музыкантов на улицах? Ты же не на танкере работаешь, которые стоят по 12 часов в 20 км от города
Аноним 07/03/17 Втр 12:55:56  932236
IMG201611061344[...].jpg (625Кб, 2160x3600)
Лампота от судостроения в Филадельфии
Аноним 07/03/17 Втр 13:03:00  932250
>>932231
Бротюнь,честно у меня виза АСШайная закончилась,так что я и в городе не был,в Колумбии за шесть месяцев один раз выскочил,алкашкой на днюху-затариться.
Аноним 07/03/17 Втр 13:09:42  932257
image-31.jpg (25Кб, 500x500)
>>932250
Зачем тогда вообще работать на балкере?
Аноним 07/03/17 Втр 13:24:54  932267
>>932250
Без визы не выпускают? Когда в Греции стояли, то нам сделали пропуска в порту и мы спокойно выходили, показывая пропуск, где даже фото не было, на кпп. Выходили только с этой бумажкой, даже паспорт не спрашивали. Визы у меня естественно не было.
Аноним 07/03/17 Втр 13:25:58  932268
>>932267
В Европе вообще просто с выходом в город. Сложнее чем США наверно только в какой-нибудь Саудовской Аравии
Аноним 07/03/17 Втр 13:40:07  932277
>>932268
В Новороссийске я в город по заграннику и улм выходил. Я гражданин России при этом.
Аноним 07/03/17 Втр 13:45:38  932280
>>932257
Очевидно же чтоб заработать деньги
Аноним 07/03/17 Втр 13:59:51  932284
>>932277
Вообще я иногда охуеваю с режимов портовых КПП что у нас в хохлостане,что в рашке,Сука можешь в одном и том же порту стоять на разных терминалах и на один будут пускать,а на других гроб-гроб-кладбище без паспорта.Когда-то жена приезжала ко мне в Николаеве,мы тогда еще не расписаны были,на Нибулоновском терминале пустили,даже не выебывались что фамилии разные,а через месяц на другом терминале не пустили.В Питер ко мне тянка(до женитьбы) приезжала-пустили без проблем,по судовой роли.В Одессе вообще какая-то хуерага странная с этими КПП,на одном причала стояли,к матросу гражданская жена приехала-пустили,перешвартовались на другой причал,ее выпиздовали погранцы.
Аноним 07/03/17 Втр 14:04:53  932287
>>932280
Не думаешь перекатываться на другой тип судна?
Аноним 07/03/17 Втр 14:11:35  932291
IMG201610171859[...].jpg (966Кб, 3600x2160)
>>932231
На тебе еще духа швабодки,в Луизиане вообще пикапов процентов 60-70 из всей массы автомобилей,факт что их не используют как у нас "типа дешевый жып",а как коммерческий грузовик.Тут листал газетку Car Sales,больше всего в цене теряют БеЕнВе как ни странно самые ликвидные это Хонды,Тахо,Форды.
Аноним 07/03/17 Втр 14:21:04  932297
>>932287
Неа,нахуя?Я уже лет 10 на булкерах,это вот на этот хендимакс попал и гоняют нас как проститутку с октября по штатам и центральной Америке через Панамский,а так я на панамаксах работал,там всё спокойно и размеренно,переход 30-40 суток,есть время и пофапать,и работу сделать.После вахты в игруху какую-нить порубиться.Прикольно было когда с дедом хуйарились в Штурмовик Ил -2 по локалке,он немецкими,я советскими самолетами.Ну и если в цивилизованном порте типа Чиндао выгружаться,есть время пиваса с креветками выпить.Когда-то в 2008 в Кох-Сичанге месяц стояли под погрузкой,ну и всякие Бразилии с Индонезиями.Короче и так нормас.
Аноним 07/03/17 Втр 14:31:20  932301
>>932297
Так а фотки этих Индонезий есть? Давай экзотику
>>932291
Щито стоят кстати
Аноним 07/03/17 Втр 14:33:55  932303
IMG4577.JPG (3223Кб, 3648x2736)
IMG4578.JPG (3236Кб, 3648x2736)
IMG4593.JPG (2728Кб, 3648x2736)
IMG4690.JPG (2052Кб, 3648x2736)
>>932223
Ага, месяцами. В новых китайских портах 50 тысяч тонн за 18 часов закидывают. Хорошо, что прогресс еще не везде.

ББК
Аноним 07/03/17 Втр 14:42:18  932309
>>932297
А я чет увидел газовозные вакансии, и крепко призадумался на тему, как перестать быть ББК:


WE ARE LOOKING FOR DECK AND ENGINE OFFICERS TO JOIN LNG CARRIER 125K M3

WAGE :

MASTER 21000 USD
CH/OFF 14000 USD
20FF 6500 USD
20FF 5000 USD

CH/ENG 21500 USD
2ENG 14500 USD
3ENG 6500 USD
4ENG 5000 USD
ETO 10600 USD
G/ENG 13000 USD


DURATION :

DATE OF JOINING: BEG MARCH 2017

REQUIREMENTS:

DECK OFFICERS- LNG EXP

ENGINE OFFICERS- STEAM TURBINE AND LNG/ LPG EXP
Аноним 07/03/17 Втр 14:43:30  932312

>>932303
Прошу заметить-это другой анон про месяцы стоянок писал.
Балкер кун.
Аноним 07/03/17 Втр 15:05:20  932338
IMG201703070600[...].jpg (1095Кб, 2160x3600)
Ну вот например,показательно что Эскалейд,стоит дороже чем Ведровер,хотя год выпуска одинаковый.
Аноним 07/03/17 Втр 16:00:59  932396
>>932284
Кто был в Таганроге
Знает
Аноним 07/03/17 Втр 16:50:33  932489
>>932338
Все дело в хайпе эскалейда и тахо. Если ты успешный репертм то обязан иметь одну из этих машин. А английский автопром вообще котируется не очень
Аноним 07/03/17 Втр 16:51:44  932492
image-18.jpg (33Кб, 604x348)
>>932303
Поясни за этот вопрос, плз
>>930129
Аноним 07/03/17 Втр 17:31:21  932543
>>932309
Есть всего один подводный камень это
>DECK OFFICERS- LNG EXP
То есть опыт именно на LNG для штурмана хотя у нас работали штурмана именно с LNG и с их слов принципиально разницы с этиленовозом нет, каскадная система в обоих случаях
>ENGINE OFFICERS- STEAM TURBINE AND LNG/ LPG EXP
А это требует не только опыта на паровых турбинах, но и диплом механика универсала либо механика трубиниста который без опыта работы на паровых турбинах не достать. С другой стороны наличие паровых паровых турбин может означать, что груз не сжижают обратно а избыток давления травят в котел а он уже работает и на ГТЗА и на ПГ и на грузовые насосы
Это значит:
1. Газовоз большой иначе не выгодно
2. Газовоз старый не экономично
3. Газовни может не быть, либо она очень простая
Аноним 07/03/17 Втр 21:04:05  932946
>>932107
Так зачем мастер линух захотел? В чем был его мотив
Аноним 07/03/17 Втр 22:08:17  933061
>>932946
Швабодка
Аноним 07/03/17 Втр 22:21:43  933074
>>932543
>Газовоз большой

Написано же, 125к м3
Аноним 08/03/17 Срд 03:17:39  933320
>>932946
Ну мотивировал его я,у меня бубунту стояла из коробки,даже пека под убунту сертифицирован,ну показал кепу юзабилити,он загорелся,давай накатим,грит,погоняю есси чё,потом пидарнем ,в процессе обнаружилось что на батарее хуйарит его камп часов 5-6,шиндовз оставили второй операционкой.В общем че ты паришься,нравится челу и хуй-то с ним.Опять же опенсурс,все дела,куча альтернативного софта.
Аноним 08/03/17 Срд 03:32:04  933322
>>932309
Ну чё бротюнь,достойная мотивация для перекота,21000$ на дорогах не валяется,дерзай.
Аноним 08/03/17 Срд 07:52:43  933353
>>932309
Дед больше кэпа получает.
Что из себя газовый инженер представляет, и как им стать?
Аноним 08/03/17 Срд 08:10:24  933359
>>907341 (OP)
А это правда, что все моряки ебут друг друга в жопы? Или как они в дальних рейсах без баб обходятся?
Аноним 08/03/17 Срд 08:15:52  933362
>>933359
Для этого на каждом пароходе есть юнга, иногда даже несколько. Сейчас эту роль исполняют кадеты, это своего рода посвящение - все моряки прошли через это.
Аноним 08/03/17 Срд 09:11:51  933379
>>933362
>как они в дальних рейсах без баб обходятся
Многие и на земле как то без них обходятся.
Аноним 08/03/17 Срд 10:27:49  933407
>>933353
> Дед больше кэпа получает.
Тому що требование по условиям вакансии настолько специфичные что заебешься такого деда искать.
> Что из себя газовый инженер представляет, и как им стать?
Это вспомогательный персонаж то ли палубной, то ли машинной команды.
Газовый инженер отвечает за обслуживание и управление газовней. Подчиняется старпому иногда официально деду, но по факту старпому, запускает/останавливает gas plant, заправляет фреон и чинит мелкие поломки в ней.
> как им стать
Наиболее очевидный путь, выучился на рефмеханика а потом перескачить на газовозы. Но так как диплом газового инженера не прописан в STCW, то анон встречал бывших матросов, рефмашинистов, токарей итд работающих газовыми.
Вообще, если выбираешь профессию с нуля, газовый это не лучший выбор, так как они есть далеко не на каждом газовозе.
Аноним 08/03/17 Срд 10:33:00  933411
14888378892550.jpg (164Кб, 1280x960)
>>930129
честно говоря, точно не знаю, но уверен, что это уставки по току кз (электромагнитный расцепитель, сработает мгновенно) и по току перегрузки (тепловой расцепитель, сработает с выдержкой по времени в минуты или в секунды, в зависимости от того, во сколько раз превышен номинальный ток). Т.е., указаны, скорее всего, макс и ном токи. На берегу на автоматах указывают их характеристику (зависимость скорости срабатывания тепловой защиты от перегрузки) латинской буквой (обычно это B или C, для двигателей - D), но на пароходах другие автоматы. Это подтверждает, что на импульсной катодной защите такой большой разброс (125/20). А на лебедке 400/400 потому, наверное, что он вообще только на максимальный ток, он часто в перегрузках, а тепловое реле там отдельно можно поставить.
электрик судовой работаю на ж/д
Аноним 08/03/17 Срд 10:40:04  933413
>>933411
Думаю ты прав, тоже думаю что это две уставки по току срабатывания, но я не электромеханик а потому не авторитет
Аноним 08/03/17 Срд 10:55:03  933435
>>932492
>>933411
Мое мнение, хотя я сам не уверен, что это Frame Size Current. Т. е. это ток максимальный для этого семейства выключателей. Они иногда бывают модульнымии и в один и тот же корпус можно запихнуть требуху для разных номинальных токов. Но это совсем не важная характеристика и зачем ее указывть - не понимат.

>на пароходах другие автоматы
Они делаются под те же госты (IEC)

Алсо, сейчас капчую с японца с такими же лейбочками. Ща пойду фото делать и будем коллективно решать.
Аноним 08/03/17 Срд 11:10:11  933460
>>933435
>Они делаются под те же госты (IEC)
я говорил про систему обозначений. на обычном береговом автомате всегда указывается характеристика, на судовых я их не видел.
Аноним 08/03/17 Срд 11:17:39  933463
>>933435
и, кстати, вдогонку, Frame Size Current - это номинальный ток, автомат на нем еще работает.
Аноним 08/03/17 Срд 11:18:38  933464
>>933463
*не сработает
Аноним 08/03/17 Срд 11:24:48  933470
IMG7924.JPG (2115Кб, 2736x3648)
IMG7926.JPG (2160Кб, 3648x2736)
IMG7923.JPG (2906Кб, 3648x2736)
>>933460
Так IEC 60947-2 требует ее на морде писать. Может, ты не видел на древнесовковых судах?

Алсо, фоточки готовы.

ББК.
Аноним 08/03/17 Срд 11:33:25  933478
IMG7927.JPG (2298Кб, 3648x2736)
IMG7929.JPG (2592Кб, 3648x2736)
>>933463
>>933464
>Frame Size Current - это номинальный ток
Иппонцы с тобой не согласны. Обычно они обозначают номинальный ток как Rated Current.
Аноним 08/03/17 Срд 11:52:47  933497
499
Аноним 08/03/17 Срд 11:53:18  933498
ПЕРЕКАТ: https://2ch.hk/wrk/res/933494.html
ПЕРЕКАТ: https://2ch.hk/wrk/res/933494.html
ПЕРЕКАТ: https://2ch.hk/wrk/res/933494.html
ПЕРЕКАТ: https://2ch.hk/wrk/res/933494.html
Аноним 08/03/17 Срд 12:11:52  933518
556883431267124[...].jpg (92Кб, 503x699)
>>933478
да по правде, я хз, к чему именно употребляется термин Frame Size Current, тут я спорить не буду.
ты там выше просто про модульные че-то говорил, я-то не про навесное, а про сами автоматы. В каждом самом обычном автомате есть две защиты (кроме редких случаев, когда защищают асинхронный двигатель, например): мгновенная (э/м) от кз, и с задержкой (тепловая) от перегрузки; вот характеристика тепловой и обозначается на корпусе. Вот ты сфотал автомат, я смотрю минут 10 уже: где в соответствии с упомянутым тобой МЭК на нем обозначена характеристика?
Аноним 08/03/17 Срд 12:25:20  933530
>>933518
Cat. = Selectivity category
Аноним 08/03/17 Срд 12:33:21  933545
>>933530
нет, это другое, это категория А или Б; Б - задержка защиты как раз от к.з., когда после большого автомата дальше стоят другие, чтоб они успели сработать и тогда, возможно, к.з. пропадет и без отключения этого большого автомата.
Аноним 08/03/17 Срд 12:41:38  933563
>>933545
Нет, именно характеристик я не видел. Но встречал в мануалах иногда.
Аноним 13/03/17 Пнд 01:57:39  940340
Бимпусиуи
Аноним 13/03/17 Пнд 08:27:37  940468
>>940340
Ты чо, блеать?
Аноним 15/03/17 Срд 05:22:19  943968
Бампусики
Аноним 18/03/17 Суб 10:41:50  950773
>>907341 (OP)
У меня тут ряд ебанутых вопросов.
1) Как на корабле обстоят дела с бухлом? Могу ли я "отстраниться от коллектива" если не буду бухать? Есть ли альтернативы в качестве травки?
2) Как часто на кораблях встречается качалочка?
3) Сколько примерно раз кормят и на сколько калорий? Можно ли в плаванье с собою брать свои консервы?
Аноним 18/03/17 Суб 14:59:37  951370
>>950773

Переспроси в следующем треде.
https://2ch.hk/wrk/res/933494.html

[Назад][Обновить тред][Вверх][Каталог] [Реквест разбана] [Подписаться на тред] [ ] 508 | 91 | 145
Назад Вверх Каталог Обновить

Топ тредов
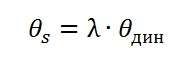
Избранное