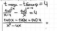
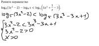
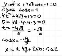
ГОТОВИМСЯ К ЕГЭ ЛЕГИТИМНЫЙ ТРЕД БЕЗ КРИНЖОВОГО ОПА-АНИМЕШНИКА! Обсуждаем подготовку и делимся совет
Аноним
29/04/24 Пнд 13:01:53
№
1

