Транспорт и авиация


Ответить в тред Ответить в тред

<<
Назад | Вниз | Каталог | Обновить тред | Автообновление
265 29 144

УСТРОЙТВА ПС ТРЕД Аноним 24/01/15 Суб 19:10:47 475121
(17Кб, 542x331)
542x331
(12Кб, 318x159)
318x159
(10Кб, 445x238)
445x238
Развелось очень много раков, не знающие, отличия между РКСУ, ТИСУ, Инверторами. Алсо много раков, не знающих физику.
/ra/диоэлектроника в транспортач, пошел тред бля
Аноним 24/01/15 Суб 19:15:43 475152
>>47512
Нет, не вкоем случае, а то угонять составы еще будут!
24/01/15 Суб 22:16:58 475243
>>47512
Сейчас здесь кроме политики никого ничего не интересует, уёбывай.
Аноним 24/01/15 Суб 22:27:10 475264
>>47512
Есть движок 12 вольт 20 ом обмотки (шаговик, 6 выводов, два трехфазника). Что будет с ТЭД если его разогнать, допустим 36 вольт подам.
хочу сделать метро электросамокат дома
Аноним 24/01/15 Суб 23:48:15 475305
>>47512

Я не радиофизик, я физик-теоретик, попробую разобраться что на 3-м пике. И так, два блока по 3 диодных полумоста, вроде как два выпрямителя Ларионова, они соединены плюсом к плюсу, минусом к минусы и должны давать постоянно-пульсриующий ток к коэффицеинтом плуьсации .87. Далее блок кондюков, их можно было заменить на один, они нужны, верооятно, для дополнительного выпрямления тока. Далее 6 блоков, в каждой из которых непонятная хуйня (помимо диода). Есть джва предположения:
1. Это какая-нибудь схема открывающая-закрывающая канал, чтоп получить в трёх выходных каналах переменный ток нужных параметров.
2. Это регулируемая индуктивность.

Далее с ходу я не соображу, зачем вообще вся эта хня нужна.

В схемах особо не разбираюсь, думал потенциалом Лиенара-Вихерта.
Аноним 24/01/15 Суб 23:51:49 475326
>>47530

>1. Это какая-нибудь схема открывающая-закрывающая канал, чтоп получить в трёх выходных каналах переменный ток нужных параметров.

Ну как я понял найдя пик, здесь я угадал.
Аноним 25/01/15 Вск 10:13:38 475387
>>47530
Тут трехфазный инвертор.
На входе у наз 3 фазы выпрямляются, а потом открываются и закрываются транзисторы: на выходе почти синусоида.
Аноним 25/01/15 Вск 10:30:29 475398
>>47538
>>47532
>>47530
Эта хуйня меняет частоту на выходе => скорость вращения ТЭД. А на входной трехфазный диодный мост - похуй.
Аноним 25/01/15 Вск 10:31:20 475409
>>47524
Где полита на сосаче
/au/
/b/
/tr/
но не в /po/
Аноним 25/01/15 Вск 10:47:22 4754210
Аноним 25/01/15 Вск 13:33:04 4754811
>>47540
Забыл ещё /ra/, /di/ и все остальные доски, включая /d/
Аноним 25/01/15 Вск 13:52:48 4755012
>>47548
в с/ра/че политы нет.
в /di /-?
Аноним 25/01/15 Вск 18:01:04 4755313
Аноним 27/01/15 Втр 19:03:08 4761514
Тут анон хочет узнать про модификации лиаза 5256, и как отличить CAT от камаза
Аноним 27/01/15 Втр 21:24:40 4762015
(113Кб, 800x516)
800x516
Ох, какой годный тред. Чую, что семенство с даунскими вопросами не прошло даром. Вопросы актуально только по электрической составляющей?
Аноним 27/01/15 Втр 22:15:23 4762116
>>47620
Тред устройства ПС. => не только электроникика, но и подвески, дизельки, рулевые...
Аноним 29/01/15 Чтв 22:34:28 4769317
>>47512
ПОЧЕМУ ТЕЛЕЖКА ПОЕЗДА ТИЖОЛЫЯ?
Аноним 31/01/15 Суб 06:18:40 4773118
>>47512
Нахуя вообще этот тред, если есть тред вопросов? Всю жизнь там технические вопросы задавались и на них отвечали. Хотите, чтобы окончательно всё свелось к вопросам типа А КАК МНЕ БЕЛЕТЕКЕ В ИНТЕРНЕТЕ БЕЗ СМС КУПИТЬ???
Аноним 31/01/15 Суб 10:00:36 4773419
Аноним 01/02/15 Вск 18:42:53 4777320
(675Кб, 1536x1024)
1536x1024
Поясните за металлы, ибо сам нихуя не шарю. Какие сплавы применяют при создании тележек, колесных пар, кузовов и двигателей. У кого покупают и почему именно эти виды.
Аноним 01/02/15 Вск 20:15:26 4777621
>>47773
Сплавы железа и углерода. Покупают у металлических заводов.
Аноним 01/02/15 Вск 20:51:17 4777822
(16Кб, 480x360)
480x360
>>47773
>Какие сплавы применяют при создании тележек, колесных пар, кузовов и двигателей. У кого покупают и почему именно эти виды.
Тележки грузовых вагонов литой конструкции - по ОСТ 32.183-2001: 20ГЛ /наиболее расспространённая/, 20ГФЛ, 20ГТЛ, и загадочная 20ХГНФТЛ. Эти стали обладают хорошей жидкотекучестью, а форма отливки боковой рамы весьма сложная.
Тележки грузовых и пассажирских вагонов, а также локомотивов - в основном 09Г2, с различными добавками - 09Г2Д, 09ГДС, 09Г9Ф /наиболее расспространённая/, т.к. низкоуглеродистые стали хорошо свариваемые. Медяшку и другие добавки сыпают для повышения коррозионной стоикости, для снижения хладоломкости и прочих улучшений. А также могут применять 10ХСНД, 10Г2БД.
Колёсные пары: колёса вагонов - ГОСТ 10791-2011
Твёрдые колёса применяются для грузовых вагонов с высокой осевой нагрузкой.
оси - углеродистая сталь ОС, для вагонов ГОСТ 4728-96 /ОСВ/ и ОСЛ для локомотивов, по ТУ и ГОСТ 30272-96.
Выбраны эти материалы из-за технологической приемственности и стабильности своиств при различных нагружениях и температурах тоже разных.
Кузов - легированные стали, против коррозии, просто потому, что это оболочки. 10ХНДП.
Аноним 01/02/15 Вск 21:33:29 4777923
>>47773
>>47778
Для ТЭД - медь.
Для дизелей - от стали до алюминия. (/au/)
Аноним 01/02/15 Вск 21:57:19 4778124
>>47512
Ладно, напишу здесь.
Зачем в автомате на автобусах гидротрансформатор? Есть же божественные 3 педали.
Аноним 02/02/15 Пнд 21:21:18 4783425
>>47781
А зачем автобус нужен? Есть же лошадь!
Аноним 03/02/15 Втр 20:58:40 4786126
Препод по электрическим машинам, сказал, что тащемто, все асинхронники, это от нищеебства, по сравнению с коллекторными. Какие еще плюс у асинхронника есть, минута пошла.
Аноним 03/02/15 Втр 21:59:08 4786427
>>47861
У любого трехфазника момент не зависит от скорости вращения (частоту меням - меняется скорость. меняем напряжение - меняется момент).
Ассинхронник - трехфазник. Алсо в нем нет щеток. Но пусковой момент мизерный.
То ли дело коллекторный движок постоянного тока: все просто: чем быстрее - тем больше момента. (Момент зависит от тока в обмотках => от магнитного поля, в коллекторниках от тока зависят обороты еще)
Коллекторнику надо 4 транзистора или РКСУ, а ассинхроннику свистелку, генерирующую синусоиды.
Аноним 03/02/15 Втр 22:11:55 4786628
>>47864
С генерирующей свистелкой пусковой момент может быть и не такой уж мизерный.
Аноним 05/02/15 Чтв 20:05:24 4794629
>>47512
Есть ли БПСН в Яузе и Русиче и более новых хуевинах?
Аноним 06/02/15 Птн 15:14:12 4796630
Аноним 06/02/15 Птн 15:24:19 4796731
(192Кб, 1280x960)
1280x960
>>47861
Нихуя себе нищеёбство, асинхронный привод, говорят, в разы дороже за счёт наукоёмкости. У асинхронника единственный плюс, это отсутствие ЩКУ, но одним только этим фактом он рвёт коллекторник в клочья и ссыт на останки: тут и отсутствие необходимости в регулярном обслуживании, и отсутствие загрязнения графитовой пылью, отсюда надёжность, и отсутствие проблемы кругового огня, и меньшая масса, и устойчивость к динамическим нагрузкам. А с частотником проблемы пускового момента и тока не стоят. Твой препод просто совок, который ниасилил асинхронный привод.
Аноним 06/02/15 Птн 15:53:05 4796832
>>47864
А как собсна регулируется момент на асинхроннике, что за шайтан технология?
Аноним 06/02/15 Птн 19:38:29 4797233
>>47968
Либо ШИМ (но ассинхронники не любят пиленную синусоиду) либо напряжение меньше.
Вообще драйвер для ассинхронника прост. (Некоторые мелкие ассинхронники жрут и квадратный синус)
Аноним 06/02/15 Птн 19:40:16 4797334
>>47967
Наукоемкость = нулю, ибо пару пассивок и IGBT могут все.
Здесь нужны индусские программисты...
Аноним 08/02/15 Вск 11:09:31 4800535
(67Кб, 771x777)
771x777
>>47972
Почитал про технологию. Генерируется необходимая синусоида, с помощью микроконтроллеров. Но опиши пожалуйста физику процесса. Вот, например, амплитудно-фазое регулирования, здесь просто изменяют угол отпирания тиристоров и все готово, а что рисует собственную синусоиду я не понял.
Аноним 08/02/15 Вск 15:28:21 4801436
Аноним 08/02/15 Вск 20:54:33 4802137
>>47973
> Наукоемкость = нулю
Школоту за пикет видно.
Аноним 08/02/15 Вск 21:08:37 4802338
>>48021
Если я разбираюсь в схеме преобразователя и прошивке - значит все просто, либо на физике ебалом не щелкаю.
Все просто: есть 6 транзисторов с изолированной базой, генерируются низковольтные полусинусоиды (да, куча экранирования, повышенной надежности (в ECU для инжекторного движка сложность сопоставимая)) и на выходе синусоида 3 кВ или до скольких понизили входное напряжение.
Но для этого требуется 1 корпус радиоинжинеров и один корпус индусов (все продумать один человек не может)
Алсо школоту видно за 10 пикетов...
Особенно, когда едет кругломордая ЭР2
Аноним 08/02/15 Вск 21:13:18 4802439
>>48023
3 синусоиды (фикс)
Аноним 08/02/15 Вск 21:45:10 4802540
>>48023
Только если транзисторы включать синусоидами, разоришься на теплоотводе.
Аноним 08/02/15 Вск 22:53:02 4802741
>>48023
3 кВ? Разве это не много? Для двигателя должно хватать и ~500В.
Аноним 08/02/15 Вск 23:05:04 4802842
Аноним 08/02/15 Вск 23:06:06 4802943
>>48027
Есть движки и на 1.5 в.
Зависит от того, какие движки. Может там на 5 кВ?
Алсо, я сказал до того напряжения, до которого понизили
Аноним 09/02/15 Пнд 17:37:34 4804744
>>48028
Не греются (почти), если работают в режиме «вкл-выкл». Если управлять ими с помощью синусоиды, получится нехилая такая печка сталеплавильная.
Аноним 09/02/15 Пнд 18:00:56 4805345
Напомните способы увлечения коэффициента сцепления.
Аноним 09/02/15 Пнд 20:26:19 4805846
Посоны, в ВЛ80А асинхронники нашей разработки были или мы у чехов технологии позаимствовали. Вообще почему совок его забраковал?
Аноним 09/02/15 Пнд 20:59:15 4805947
(16Кб, 688x475)
688x475
>>48053
1. Резиновые колеса
2. Песок на путях
3. БОООЛЬШЕ колес и больший вес локомотива
>>48047
Ясно, что при среднем напряжении на базе транзистора ток меньше, сопротивление больше, нагрев значительнее.
В идеале - см. видео с усилком.
Но по факту у нас идет квадратная синусоида как на пике (синяя). (но как ассинхронник с ней совладал - хер знает, возможно частота несколько мегагерц.)
По хорошему там должна быть на выходе синус.
РАБОТНИКИ МОСМЕТРО, НАКИДАЙТЕ МАНУАЛОВ ОТ СРУСИЧЕЙ ЯУЗЫ И ОКИ ИНТЕРЕСНО ЖЕ
>>48058
Тогда деньги затраченные на электроэнергию не считали. плюсминус 10 000 кВт-ч - хуйня.
Еще были ЭР2 с импульсным управлением - экономия - копейки, а сложность на те времена (без микроконтроллеров и индусов) - огогого. Да и сейчас уже через 4 секунды после пуска идет полный ток на двигатели в ЭД4М (если не считать, что это еще четыре движка последовательно включены)
Аноним 09/02/15 Пнд 21:01:30 4806048
>>48059
>Но по факту у нас идет квадратная синусоида
я не знаю, я всех наебал.
А на выходе пассивок для фильтрации нет.
Аноним 09/02/15 Пнд 22:25:57 4806949
>>48023
> один корпус индусов
Тут не корпус индусов, тут целый отдел НИИ нужен, годы испытаний машин с обычным приводом, потом проектировка и программирования СУТП, а потом ещё пара лет испытаний самого привода. Бля. Это всё равно как если бы ты спросил, почему на электровозах не применяют ТЭД с литым ротором. Масштаб и условия эксплуатации усложняют задачу по сравнению с "тепличной", о которой ты говоришь, во столько же раз, во сколько сложнее электровоз радиоуправляемой машинки.
Аноним 10/02/15 Втр 10:34:20 4807650
>>48069
В идеале - нии, как и для проектировки авто, но пофакту нии из рукожопых и индусов
Аноним 11/02/15 Срд 21:02:37 4813051
>Алсо много раков, не знающих физику.
Ну значит я по адресу. Почему катушки и реле подлючают на минус?
Аноним 12/02/15 Чтв 22:15:48 4817252
>>48130
Ток течет от минуса к плюсу. Вся радиоэлектроника основана на ошибке, но это работает, и хуй с ним. Алсо так безопаснее, ибо пизданут случайно не смогет.
>>48060
Посидел на форумах анон негодуэ и узнал, что там ШИМ! Так-то. ШИМ 2400 гц на ассинхронники, получаем синусоиду (как на каком-то пике сверху, синий цвет)
http://forum.nashtransport.ru/index.php?showtopic=17141&st=6560&p=747859&#entry747859
http://www.ignorik.ru/docs/vagoni-metropolitena-81-760761-elektricheskoe-oborudovanie.html
Аноним 13/02/15 Птн 20:25:14 4819153
Может кто-нибудь пояснить за ТИСУ, а то начитался разного, что даже не знаю как вопрос верно поставить?
Аноним 13/02/15 Птн 20:52:30 4819354
>>48191
Что такое тиристор?
Устройство, которое остается включеным, пока через него может течь ток.
Далее дерем катушку индуктивности и микроконтроллер.
http://www.youtube.com/watch?v=CEhBN5_fO5o
Там все объяснено, вместо транзистора (что проще, но он греется, и дороже) можно захуячит тиристор. И он еще сам будет отключаться, т.к. ток будет пытаться течь обратно. А пока
>2015
>Не знать английский
Аноним 13/02/15 Птн 20:55:25 4819455
>>48193
>>48191
Еще есть
https://ru.wikipedia.org/wiki/%D0%A2%D0%B8%D1%80%D0%B8%D1%81%D1%82%D0%BE%D1%80%D0%BD%D0%BE-%D0%B8%D0%BC%D0%BF%D1%83%D0%BB%D1%8C%D1%81%D0%BD%D0%B0%D1%8F_%D1%81%D0%B8%D1%81%D1%82%D0%B5%D0%BC%D0%B0_%D1%83%D0%BF%D1%80%D0%B0%D0%B2%D0%BB%D0%B5%D0%BD%D0%B8%D1%8F
Есть еще более простой ТрИСУ
Здесь используется Н мост на транзисторах, и КПД тут выше. И Эта схема используется даже в инвертерах (КАТП2, там я линку на форум и мануал кидал)
Аноним 13/02/15 Птн 20:59:18 4819556
>>48194
Алсо у него же на канале есть еще про все это
ib4: всю борду говном засрал
Аноним 13/02/15 Птн 23:47:06 4819857
>>48172
>Ток течёт от минуса к плюсу
Случайно не Артём?
Аноним 14/02/15 Суб 18:08:06 4821758
(25Кб, 499x348)
499x348
>>48198
Кто это?
А вообще на батарейке на контакте мунус - больше лепиздронов?
Аноним 14/02/15 Суб 20:26:14 4822159
>>48217
Знаменитость уровня /ra
Аноним 14/02/15 Суб 21:50:00 4822660
>>48222
Соси хуйцов.
У дизеля есть КПП, и там момент зависит еще и от скорости.
Например: на 1-ой важен момент, на 2-ой бус уже имеет кинетическую энергия, можно крутить быстрее, момент на колесах меньше.
Т. к. сейчас во всех бусах стоит тудрбодизель - момент идет от 500 оборотов до 2000. При 2500 момент очень мизерный.
(То же на TSI и прочих турбоперделках)
А у трамвая все по-разному.
Есть коллекторники. У них момент зависит от оборотов, а обороты от тока. (Чем больше тапку нажал - тем больше момента)
А ассинхронников меняется частота. А ток одинаковый => момент одинаковый. По требованию еще менятся амплитуда и тогда уже момент.
Держи тред >>47512
А вообще от этих особенностей зависит только управление. В автобусе бесполезно давить тапку в пол (как и в машине), а в трамвае бесполезно ехать на маневровой.
Если бус - держишь около 2000 оборотов, если трамвай или трол - давишь в пол, БМВ тут сосут, ибо есть турбояма
Аноним 14/02/15 Суб 21:51:56 4822761
>>48221
А чем прославился?
А коковина как звать?
Хуем?
Аноним 14/02/15 Суб 22:05:57 4823262
>>48227
Невероятными открытиями и изобретениями. Например изобрел усилитель класса д на одних диодах.
Аноним 16/02/15 Пнд 20:09:23 4832163
Господа выше говорят, что ТИСУ контролируется микроконтроллером, но ведь технология не нова, как раньше ей пользовались без контроллеров?
Аноним 16/02/15 Пнд 20:31:07 4832264
>>48321
Лекго. Есть 555 таймер. Там можно ШИМ получить в зависимости от сопротивления. Тогда это позоже на педаль газа, а не контроллер.
Так что микроконтроллер. Его не было только у простых смертных, даже в Е есть микроконтроллеры (АЛС-АРС)
Аноним 17/02/15 Втр 00:10:45 4832865
>>48322

АЛС-АРС на микроконтроллерах? Не релешках?
Аноним 17/02/15 Втр 19:29:22 4833866
>>48328
Релешки по-мойму только на рельсы ток дают.
А вот в вагоне - что-то полупроводниковое
Аноним 17/02/15 Втр 22:10:52 4834467
>>48338

Весь поезд на релешках, разве что в Питере ПА-КСД всякие на микроконтроллерах.
Аноним 18/02/15 Срд 10:38:04 4835568
Аноним 23/02/15 Пнд 19:24:12 4851569
>>47512
Спрошу про ПИДорские турникеты.
Как они работают? Есть у нас некоторое число и с чем оно сверяет? ПИДкуны требуются
Аноним 23/02/15 Пнд 19:28:38 4851670
>>47526
Секунд 30 проработает и все
Аноним 28/02/15 Суб 11:59:45 4868971
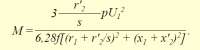
(5Кб, 514x78)
514x78
Вчера препод рассказывал, что во время трогания с места троллейбус может дать прикурить неплохой машине, ибо при отсутствии скорости момент у электрической машины максимальный. Вот формула момента тэд и я не могу понять, что за хуйня, троллейбус же соснуть должен, не?
Аноним 28/02/15 Суб 12:55:45 4869372
>>48689
У двигателя с последовательным возбуждением при пуске (когда частота вращения а следовательно и противоЭДС равна нулю) сила тока будет максимальной, а т.к возбуждение последовательное (т.к сила тока якоря = силе тока в обмотках главных и добавочных полюсов "обмотки возбуждения" по простому, будет так же максимальной в пропорции). Исходя из всего этого и крутящий момент при пуске будет максимальным, а при разгоне двигателя собственно будет рост противоЭДС -> результирующее значение напряжения на двигателе будет падать а за ним и сила тока, отсюда и ток в формуле и магнитный поток главных полюсов будут уменьшаться и момент так же будет уменьшаться.
Аноним 28/02/15 Суб 13:21:25 4869473
Аноним 28/02/15 Суб 18:14:45 4870074
>>48693
Грубо говоря:
Маx крутящий момент ДВС будет при N оборотах, а у ТЭД при 0, тобиш при пуске.
Аноним 03/03/15 Втр 16:54:39 4887475
Аноним 06/03/15 Птн 23:34:07 4905376
Захотел сделать сисьмулятор. БЛЯДЬ, как считать ускорение...
Аноним 13/03/15 Птн 21:44:04 4933677
>>47512
посоны, почему узкоколейка медленнее и дешевле, а широкая - быстрее и дороже?
14/03/15 Суб 21:46:37 4941278
(103Кб, 800x529)
800x529
>>49336
>посоны, почему узкоколейка медленнее и дешевле, а широкая - быстрее и дороже?
Разные нормы проектирования, кроме того в более большие объекты больше материала и закладывается, необходимо больше места для строительства полотна. Устойчивость против схода с рельс растёт с увеличением ширины колеи. Это не критично и нечто не мешает строить магистральные железные дороги узкой колеи, в том числе скоростные.
Технологически узкоколейная жд - пути необщего пользования узкой колей, например на пути необщего пользования металлургических предприятии они похожи, на те, по которым вот жидкий чугун, шлак возят.
Таким образом узкоколейка медленне и дещевле по причине разных технологических требований с железной дорогой широкой колей.
Аноним 15/03/15 Вск 11:28:39 4944179
(10Кб, 1171x481)
1171x481
"При изменении зазора δ изменяется индуктивность обмотки, а следовательно и её полное сопротивление"
Поясните обрыгану, каким образом изменяется индуктивное сопротивление и что и зачем это нужно?
Аноним 16/03/15 Пнд 04:02:52 4945980
>>49441
Видимо, из-за изменения характеристик магнитопровода.
Аноним 17/03/15 Втр 20:43:47 4949081
(113Кб, 3109x2036)
3109x2036
Порекомендуйте литературы с разбором принципа действия всех электрических схем ЭР2. Уже готов купить книгу, лишь не с монитора читать. Желательно подробные.
Аноним 20/03/15 Птн 14:16:49 4955982
>>49490
Бен Ладен, плиз.
Аноним 20/03/15 Птн 22:51:37 4956883
>>49559
Вут? Все еще нуждаюсь.
Аноним 21/03/15 Суб 02:00:48 4957084
Бывает приходится ездить в трамваях типа КТМ-5 и КТМ-8 я думаю не имеет смысла постить пикчи или указывать ссылки на модели. Так вот, когда трамвай достаточно долго идёт на подъём, то из под пола начинает жутко вонять паленым, а иногда и начинает идти дым - тогда вожатая всех выгоняет из салона, движение стопорится и аварийный трамвай увозят на буксире, естественно я опаздываю в свой пункт назначения.
С Татрами Т3, которые тоже есть в моём городе, я такого не замечал. Так вот, что это горит? изоляция обмоток ТЭДов, электромагнитные тормоза или может пусковые реостаты? Данная болезнь этих трамваев неизлечима или это от недосмотра в депо например происходит?
Аноним 21/03/15 Суб 02:59:46 4957185
Инженер по тяговым системам, один из разработчиков ЭП20 и 2ЭС5 в треде. Задавайте свои вопросы
Аноним 21/03/15 Суб 03:13:57 4957486
>>49571
Скинь документацию и прошивки на МСУД.
Аноним 21/03/15 Суб 09:46:32 4957987
>>49571
Ты в б не отписывался около месяца назад с такими же позывными?
Ты в ТМХ работаешь? Расскажи, какие знания тебе пригодились.
Аноним 21/03/15 Суб 10:12:02 4958088
>>49579
>Инженер по тяговым системам
>ЭП20 и 2ЭС5
>Ты в ТМХ работаешь?
В Alstom же, очевидно. Там от ТМХ только синяя изолента.
Аноним 21/03/15 Суб 15:51:43 4959089
>>49571
А ты знаешь тех, кто проектировал оку?
Аноним 21/03/15 Суб 21:42:23 4961790
>>47512
>отличия между РКСУ, ТИСУ, Инверторами
А что лучше для народа?
21/03/15 Суб 23:14:31 4962191
(155Кб, 1024x768)
1024x768
(181Кб, 1024x768)
1024x768
(176Кб, 1024x768)
1024x768
>>49617
РКСУ ремонтируется с помощью гаечного ключа и отвёртки, с остальными - всё не так просто.
Аноним 22/03/15 Вск 00:23:41 4962592
>>49621
Пекарни же ремонтируются одной отверткой, надо только мастера позвать.
Аноним 22/03/15 Вск 13:12:33 4963693
>>49617
А для народа лучше 3 системы в одном. Тебе и коллекторный двигатель (управляется ТИСУ и при неисправности - реостатами) и ассинхронник
Аноним 22/03/15 Вск 15:56:38 4964894
>>49636
А это не извращения ТИСУ для обоссаного коллекторника? Он же вымрет уже лет через ~40.
Аноним 22/03/15 Вск 16:03:33 4965195
>>49648
Но он не будет работать от 600 вольт постоянного тока.
Аноним 22/03/15 Вск 17:39:58 4965496
>>49648
http://www.zdt-magazine.ru/publik/techsredstva/2006/febral-06-02.htm
Тут объясняется, почему коллекторная Яуза может дать пососать ассинхронной.

А вообще коллекторником в разы проще управлять, и тут все просто: чем выше частота ШИМ - тем лучше. А в инвертере все важно. И еще коллекторник можно раза в 3 форсировать.
>>49651
Дано: Uвх = 700в
Uдвиг = 375

А при пуске подаем 400в (ну ШИМ подгоняем бла-бла)
А потом снижаем... Т.е. Максимальный ШИМ - 1/2
Аноним 22/03/15 Вск 18:47:00 4965797
>>49654
Да, коллекторник всем хорош, спору нет, если мы говорим сейчас о ДПТ. Он имеет жесткую и линейную механическую характеристику например.
Но первыми от него начали избавляться в промышленности почти во всех приводах станков с ЧПУ и некторых клетей прокатных станов, а потом начали подтягиваться и транспортники в первую очередь железнодорожные и вот почему: 1. двигатель постоянного тока требует очень много стали качественной, трансфрматорной, да ещё и набранной пластинами на изготовление статора;
2. ДПТ пока никто не избавил от капризного узла щеткодержателей и ламельных колец на роторе, а им нужны частые ревизии;
3. на мощных ДПТ, которые так или иначе необходимы на транспорте, пока ещё никто не избавился от узла обмотки возбуждения, даже при электронных системах регулирования, а с выходом этого узла из строя в работе ДПТ имеет крайне неприятную особенность входить в самовозбуждение, саморазгон и разнос, и если в промышленности это заканчивалось чисто механическими авариями и браком, то на транспорте, где возят людей это неприемлемо.
Теперь возьмём асинхронник вкратце: статор - примитивная алюминиевая корзина, куда закладываются обмотки, отсутствие узла щёткодержателя как такового благодаря ротору-беличьей клетке, из всех трущихся узлов только подшипники, плюс пассивная система охлаждения самообдувом, а на ДПТ обязательно нужен независимый вентилятор. Но и обычные асинхронники не верх совершенства на сегодняшний день, сейчас уже идёт переход на "гибриды" - синхронные трёхфазные двигатели с неодимовыми магнитами, там перспектив ещё больше.
Аноним 22/03/15 Вск 20:33:29 4966698
>>49657
> сейчас уже идёт переход на "гибриды" - синхронные трёхфазные двигатели с неодимовыми магнитами, там перспектив ещё больше.
это тру
Аноним 22/03/15 Вск 20:34:27 4966799
>>49666
Бля, 666, о Господи нахуй тебя, а я буду дописывать все треды до гета!
Аноним 23/03/15 Пнд 10:57:59 49681100
>>49657
>ДПТ уходят вразнос
>на транспорте

Если он постоянно в соединении с колесной парой то как он уйдет вразнос? Да плюс сейчас почти везде есть реле оборотов, реле дифференциальной защиты, и это лишь старые разработки. Или может у тебя движки вразнос уйдут и вагон погонит под 300 км/ч?
Аноним 23/03/15 Пнд 12:58:16 49685101
>>49681
>Если он постоянно в соединении с колесной парой то как он уйдет вразнос?
На спуске например.
Аноним 23/03/15 Пнд 21:26:10 49746102
>>49685
На каком спуске? Даже на старом ВЛ10 такой фигни не случается, а ты говоришь про современные поезда метро.
Аноним 25/03/15 Срд 19:54:03 49845103
>>49685
Рили, в разнос он может уйти только при полном отсутствии нагрузки, даже если он заставит вращаться КП быстрее, чем нужно, она будет его нагружать.
Аноним 25/03/15 Срд 20:48:46 49856104
А чем собсна ШИМ отличается от ТИСУ?
Аноним 25/03/15 Срд 21:21:23 49858105
>>49856
ШИМ - просто штука с помощью которой можно менять ток без задержок.
А в ТИСУ у нас конвертер DC-DC без конденсаторов, на движках далеко не ШИМ, а ШИМ подается на управляющий контакт тиристора.
А вообще это сложнее, чем просто использовать транзистор, но тогда не могли далать такие транзисторы
Аноним 29/03/15 Вск 14:03:02 50050106
А что будут, если коллекторник на переменный ток включить?
Аноним 29/03/15 Вск 15:11:31 50053107
>>50050
туда-сюда крутиться будет.
Аноним 29/03/15 Вск 20:28:45 50062108
>>50050
Смотря какой коллекторник. Есть универсальные коллекторные двигателя, которые могут и в постоянку, и в переменку. Такие, к примеру, в пылесосах стоят.
Аноним 31/03/15 Втр 07:33:01 50118109
>>50062
Так он с выпрямителем потому что.
Аноним 31/03/15 Втр 12:40:42 50126110
>>50118
лолшто? школьник не палится
Аноним 31/03/15 Втр 12:45:20 50127111
Аноним 31/03/15 Втр 12:47:12 50128112
Аноним 01/04/15 Срд 08:56:58 50162113
>>50126
Иногда лучше жевать чем говорить.

facepalm.jpg
Аноним 01/04/15 Срд 16:20:23 50176114
Всем КЗ в цепи БВ, рельсаны!
Поясните что лучше переменка 22кВ или постоянка 5 кВ?
Аноним 01/04/15 Срд 17:13:20 50178115
Аноним 01/04/15 Срд 18:20:19 50187116
>>50176
Откуда такие цифры?
Аноним 01/04/15 Срд 19:50:46 50190117
>>50176
Новый Розенфельд в треде?
Аноним 01/04/15 Срд 23:13:18 50198118
(85Кб, 805x522)
805x522
Кто говорил, что для разработки инвертора нужен НИИ?
Аноним 03/04/15 Птн 20:08:13 50266119
>>50198
Удобная и довольно полезная гифка. Сам сделал или откопал где-то?
Аноним 03/04/15 Птн 22:43:01 50269120
>>50266
На радаче спиздил
Аноним 04/04/15 Суб 14:08:11 50282121
Аноним 06/04/15 Пнд 00:57:37 50352122
>>50198
Поездного инвертора, мань. Это не станки по полкиловатта крутить блядь. Это другая техника.
Аноним 06/04/15 Пнд 19:16:10 50377123
>>49654
Тут объясняется, почему коллекторная Яуза может дать пососать ассинхронной.
В статье есть такое понятие как "реостатный двигатель". Отсюда два вопроса. Большая ли разница питать коллекторный постоянным или пульсирующим током? Если разница действительно большая, то как допустили-то такой отсос, что ТИСУ слилась реостатам при испытаниях.
Аноним 06/04/15 Пнд 21:50:04 50387124
>>50377
Реостатный движок - движок, который оптимизирован под реостаты (ДК-117), а импульсный (ДК-120А) может в большие токи. Там описано, чем дви движка отличаются.
Аноним 06/04/15 Пнд 21:51:23 50388125
>>50352
один хуй 3-х фазный мост основа
Аноним 10/04/15 Птн 05:10:34 50515126
(174Кб, 1554x2463)
1554x2463
>>50388
Блядь, ну и коллекторный движок по одному принципу работает, что в игручечном паровозике, что в электровозе 3ЭС5К, но по конструкции последний так же прост?
Аноним 10/04/15 Птн 21:05:43 50545127
Аноним 12/04/15 Вск 17:04:48 50638128
Аноним 12/04/15 Вск 19:40:14 50646129
>>50638
У тебя в штанах? У меня-то вроде хуй
Аноним 13/04/15 Пнд 02:35:00 50650130
>>49580
>Alstom
Пруфы или тролль, маня.
Аноним 14/04/15 Втр 06:22:34 50670131
>>50650
Традиция, однако. У кого-то сильно припекло от количества иностранных комплектующих на ЭП20, ну и начался тут говнофорс. На нынешних ЭП20 70% комплектухи российские (не локализация).
Аноним 14/04/15 Втр 14:07:06 50677132
>>50670
Ну да, резисторы и конденсаторы мы умеем, но в электронику не могем
Аноним 14/04/15 Втр 20:56:46 50694133
>>50677
>>50670
>>50650
А поясните, если не диванные. Давно это слышу, ладно похуй на всякий ширпотреб типо телефонов, но вот силовая. Это же посложнее чем паять на коленках, поэтому китаёзы должны соснуть.
Аноним 14/04/15 Втр 23:29:47 50700134
>>50694
А ты знаешь хотя бы один завод, где разрабатывают и производят отечественные мощные полевые и IGBT-транзисторы?
Аноним 15/04/15 Срд 08:47:18 50710135
Мимопроходивший анон врывается в тред

>>50700
ОАО "Электровыпрямитель", г. Саранск
>>50198
Нихуя не правильная гифка. За один такт в инверторе работают три ключа, а не два. Либо один в верхнем "этаже", а два в "нижнем", либо наоборот.
Аноним 15/04/15 Срд 09:12:29 50712136
>>50677
ЧСХ вся электроника кроме силовой и контроллера для преобразователя на ЭП20 российская (ну как минимум спроектирована и собрана у нас).
Аноним 17/04/15 Птн 08:46:20 50781137
>>50710
С грифкой все ок.
Аноним 17/04/15 Птн 08:47:27 50782138
>>50712
Скажи что КАПТ у нас спроектирован. Сименс тут втую мы слизали
Аноним 17/04/15 Птн 23:49:04 50814139
>>50782
>ЭП20
>Сименс
Угу, канеш.
Аноним 18/04/15 Суб 14:51:05 50830140
>>50814
КАТП в срусичах
Аноним 21/04/15 Втр 13:20:59 50906141
>>50670
Тут только пруфы попросили. Даже не сказали зачем именно.
Аноним 22/04/15 Срд 14:53:11 50947142
>>50782
> На вагонах установлены комплекты электрооборудования КАТП-1 производства ОАО «Метровагонмаш» с двигателями ДАТЭ-170-4У2 производства ООО Лысьвенский завод тяжёлого электрического машиностроения «Привод» номинальной мощностью 170 кВт.
Ты долбоёб или как?
Аноним 22/04/15 Срд 15:07:12 50948143
>>50947
Ах да, из тхнического описания привода:
> Блок управления с
программным обеспечением разработан и производится на ЗАО "Метровагонмаш".
> Тяговый асинхронный двигатель ТАД280М4. Разработчик  АЭК "Динамо" (Москва).
Да, сами полупроводники там импортные. Алсо, если кто-то думает, что у Сименса, например, свои... хе-хе.
Аноним 25/04/15 Суб 23:59:01 51069144
>>47864
Электрик-кун в треде. Тащемта, обычно у асинхронника с преобразователем частоты пусковой момент 150% принимается или около того. Алсо, оче высокий пусковой момент движка постоянного тока не нужен на транспорте (иначе стоячие паксы будут падать, те кто ездил пассажиром на татрах Т3, знает) и поэтому режется, а у самого этого движка кривая момента оче быстро спадает с ростом скорости, поэтому и ставится этот реостат с множеством отводов, который постепенно выводится по мере разгона сарая. А когда выводить уже нечего, то к щёткам двигателя (параллельно обмотке ротора) подключается ещё один реостат и тоже начинает выводиться. Таким образом уменьшается возбуждение двигателя, а вместе с ним и момент, зато скорость продолжает расти дальше. При торможении используется дополнительная обмотка на статоре, которая подключается к сети и создаёт постоянный момент торможения, а реостаты, соответственно, также выводятся по мере останова. В то же время асинхронник, начиная с определённого габарита (и мощности) и выше, уже меньше коллекторника по размеру и требует меньше меди, к тому же работает плавнее и без всякого гула, так как нет коммутации обмоток. Да и электронное управление с ШИМ при таком раскладе с коллекторником ненамного проще, поэтому выгоднее всё-таки использовать его именно с асинхронником, где та же ШИМ, только уже не с четырьмя, а с шестью транзисторами и другим алгоритмом её задания.
Аноним 26/04/15 Вск 14:45:04 51083145
>>48005
Синусоиду рисует сам двигатель, своей индуктивностью. То есть прямоугольные импульсы, формируемые от выпрямленного сетевого напряжения, формирует в обмотках синусоидальный ток, который задаётся как раз с помощью ШИМ.
Аноним 26/04/15 Вск 17:01:53 51086146
(45Кб, 570x113)
570x113
Что-то я не понял. Ослабления поля применяют, чтобы повысить скорость, зачем это делать при пуске?
Аноним 26/04/15 Вск 17:18:11 51087147
>>51069
> к щёткам двигателя (параллельно обмотке ротора)
Кстати, пизжу. Я совсем уже забыл, что обмотка возбуждения-то у ДПТ находится на статоре.
>>51086
>Что-то я не понял. Ослабления поля применяют, чтобы повысить скорость, зачем это делать при пуске?
Видимо, чтобы уменьшить крутящий момент, вообще до минимума.
>Что-то я не понял. Ослабления поля применяют, чтобы повысить скорость, зачем это делать при пуске?
Аноним 26/04/15 Вск 17:24:08 51088148
Чем буксование отличается от боксования?
Аноним 26/04/15 Вск 21:54:46 51095149
>>51083
>Синусоиду рисует сам двигатель, своей индуктивностью.
Чет я ничего не понял, давай по понятнее.
Аноним 26/04/15 Вск 22:07:44 51096150
>>51095
Хорошо,за счёт своей индуктивности обмотка обладает интегрирующим действием. Поэтому если через неё пропускать переменное напряжение, то форма тока через неё будет представлять из себя интеграл от формы напряжения. Если ШИМ-импульсы, модулированные синусоидой проинтегрировать, то мы получим эту самую исходную синусоиду, с небольшими ВЧ-помехами - остатком от этих импульсов, не мешающими двигателю. Так понятнее?
Аноним 01/05/15 Птн 12:22:33 51148151
>>49746
>>49685
Бтв, в разнос дпт может уйти на спуске, но только при последовательном возбуждении.
Аноним 01/05/15 Птн 21:01:32 51154152
>>51148
а при буксовании? Еду как-то на трамвае, поднимаюсь в горку, наверное 6-7% уклон, а на рельсах лежит скошеная трава, путейцы косили траву недавно. Наехал я на эту хуету и забуксовал. Врубаю Х-3 ,движки аж визжат, звук чуть ли ни как от электродрели такой характерный, трамвай медленно, километров 4 - 5 ползет в гору. Самый пиздец что остановиться боюсь - вдруг колодчный тормоз не удержит и задом покачусь. Или встану и потом тронуться с места несмогу.
Аноним 01/05/15 Птн 22:16:01 51157153
>>51154
> Врубаю Х-3
> остановиться боюсь - вдруг колодчный тормоз не удержит и задом покачусь.
> Или встану и потом тронуться с места несмогу.
Вся суть КТМоблядков.
Аноним 02/05/15 Суб 01:21:56 51161154
>>51157
Я же говорил, что татра пижже
Аноним 12/05/15 Втр 21:33:47 51422155
Поясните за подвешивание двигателя 1го класса. Вот я читаю описание: "Двигатель с одной стороны опирается на ось колесной пары через моторно-осевые подшипники, а с другой эластично и упруго подвешен к раме тележки."
Как двигатель может опираться на ось КП через подшипник? Как можно опереться на палку колесом, епта?
Аноним 13/05/15 Срд 00:51:42 51427156

>>51422
А вот так вот. Не нужен кардан в этом случае, двигатель просто самоустанавливается и висит себе на подшипниках, а крутящий момент через тягу просто передаётся на раму. Это же не бензиновый двигатель, тут иногда проще чтобы сам двигатель колебался вместе с колёсной парой, но зато без лишних потенциально ненадёжных узлов, вроде карданных шарниров и прочих резиновых мухт.
Аноним 22/05/15 Птн 20:15:17 51711157
(676Кб, 1280x960)
1280x960
Узнал тут, что у ЭР2т для рекуперации поставлен блок тиристоров. Как я знаю тиристоры используется на других птахах, чтобы при рекуперации сделать переменный ток, а тут нужен постоянный. Также вспомнил, чтобы сделать из коллекторного генератора переменного тока постоянный, нужно просто поставить изоляцию на самом коллекторе. Вопрос, почему так не сделали?
Аноним 22/05/15 Птн 22:26:27 51726158
>>51711
Я думаю тут все аналогично Еж3 и 81-717/714
А нет, может к яузе ближе
Аноним 23/05/15 Суб 15:29:01 51739159
>Поясним на примере. При скорости V=70 км/ч и нажатии К = 1 тс коэффициент трения чугунной колодки φк = 0.146. Значит, сила трения колодки Т= φкК = 0.146 тс. При увеличении силы нажатия в два раза. т. е. К=2 тс. при той же скорости 70 км/ч коэффициент трения оказывается меньше: φк =0.115. Сила же трения составит Т= 0.230 тс., т. е. увеличилась, но не в два раза, а только в 1,57 раз. При увеличении силы нажатия в пять раз (К=5тс) коэффициент трения при той же скорости V=70 км/ч оказывается всего φк = 0.09. а сила трения Т = 0.450 тс., т. е. увеличивается, но всего в 3 раза.

Не очень понял. Сила трения растет, коэффициент трения падает. Нахуй нужен этот коэффициент, если он только путает?
Аноним 24/05/15 Вск 21:09:03 51774160
>>51088
Тем, что боксование - ЖД-термин.
Аноним 24/05/15 Вск 22:54:49 51781161
Почему на городских автобусах перестали ставить механику? Гидротрансформатор жи не эффективен!
Аноним 25/05/15 Пнд 17:16:12 51788162
>>51781
Кто тебе такое сказал? Современный гидротрансформатор блокируется почти сразу после старта.
Аноним 25/05/15 Пнд 17:30:54 51789163
>>51781
Подергайся-ка целый день в нынешних пробках на 20-тонном автобусе с механикой.
Аноним 25/05/15 Пнд 20:28:14 51792164
>>51726
Так нет, я думаю блок выпрямителей стоит дороже чем какой-нибудь диодный мост + сглаживатель, но он неуправляемый.
26/05/15 Втр 19:35:40 51826165
>>51789
Мне норм. Икарус вожу на палке
Аноним 27/05/15 Срд 20:40:49 51861166
(6Кб, 231x204)
231x204
Забыл, почему такой скачок в характеристике у АД?
Аноним 31/05/15 Вск 16:37:43 51979167
>>51861
Потому что максимальный момент достигается при частоте вращения близкой к синхронной. Частота ниже - режим пуска, момент низкий, ток высокий, частота выше - режим электродинамического торможения (что и используется, к примеру, на эскалаторах, при движении вниз двигатели работают на частоте чуть выше синхронной, при этом скольжение у них оказывается отрицательным и они возвращают энергию обратно в розетку).
Аноним 01/06/15 Пнд 15:14:46 52006168
>>51979
>что и используется, к примеру, на эскалаторах
Да и на любом ЭПС асинхронном и даже на тепловозах (2ТЭ25А, например) тоже. Там для двигателей с КЗР у преобразователя особый алгоритм переведения ТЭД на режим генератора. Вроде, снижают скольжение до нуля, намагничивают ротор, и после этого двиган уже становится генератором.
Аноним 01/06/15 Пнд 23:54:18 52034169
>>52006
Та не, на тепловозе же ПЧ стоит, а на эскалаторах поидее напрямую к сети подключены и вращаются с постоянной скоростью. Просто тот эскалатор который вверх движется, работает с положительным скольжением и потребляет энергию. а тот который вниз - с отрицательным и наоборот отдаёт её в сеть. Поидее так. Поправьте меня если не так.
Аноним 02/06/15 Втр 12:02:44 52067170
>>52034
От сети постоянной частоты асинхронники с фазным ротором обычно работают, а на транспорте - с короткозамкнутым.
Аноним 02/06/15 Втр 23:52:51 52097171
>>52067

>От сети постоянной частоты асинхронники с фазным ротором обычно работают.

Единственное где такое встречал, так это на кранах. У эскалатора не та нагрузка чтобы с фазным ротором мудрить.

В прочем сути это не меняет - когда кран опускает груз, вращение диска индукционного счётчика замедляется, а то и начинает вращаться в другую сторону.
Аноним 03/06/15 Срд 09:33:11 52108172
>>52097
Ну да, при спуске груза поле ротора вращается быстрее поля статора и он генерить энергию, к чему это?

мимопроходил
Аноним 03/06/15 Срд 17:40:34 52129173
>>52097
Тогда как машину без частотника можно заставить работать на генерацию, чем ротор магнитить?
Аноним 03/06/15 Срд 19:06:48 52136174
А как так получилось, что в силовой электронике отдали предпочтение именно транзисторам, а не тиристорам, принцип же один и тот же? Подали управляющий сигнал и открыли или закрыли, только в первом еще и на один переход больше, хз зачем.
Аноним 03/06/15 Срд 21:06:36 52144175
>>52136
Читай про транзистор и тиристор. Тиристор - транзистор с "фиксацией"
Аноним 03/06/15 Срд 21:10:10 52146176
>>47512
Я - машинист в метро. Нихуя не укладываюсь в интервалы. А все из-за спид-лимитов. Кароче, как наебать алс? Отключить АЛС-АРС и педаль держат - не предлагать. И да, премию хочу
Аноним 03/06/15 Срд 22:37:58 52151177
>>52136
> А как так получилось, что в силовой электронике отдали предпочтение именно транзисторам, а не тиристорам
Тому що схема питается постоянным током (выпрямленное сетевое напряжение), а тиристор не может в постоянный ток. Нужен запираемый тиристор.
> принцип же один и тот же
Нет.
> только в первом еще и на один переход больше
Наоборот же, транзистор - один переход, тиристор - два, следовательно и падение больше и быстродействие меньше.
Аноним 04/06/15 Чтв 01:10:04 52153178
(103Кб, 640x640)
640x640
Выдержка из руководства по эксплуатации вагона 71-619А
Аноним 04/06/15 Чтв 08:28:13 52155179
>>52151
>Тому що схема питается постоянным током (выпрямленное сетевое напряжение), а тиристор не может в постоянный ток. Нужен запираемый тиристор.

С этим согласен.

>Наоборот же, транзистор - один переход, тиристор - два, следовательно и падение больше и быстродействие меньше.

У тран-ра 2 перехода, т.к. 3 слоя, у тири-ра 3, т.к 4 слоя.
Аноним 04/06/15 Чтв 18:55:48 52168180
>>52129
Фазосдвигающими конденсаторами, например.

>>52108

Просмотри ветку постов повыше, может быть тебе станет яснее контекст моего сообщения.
Аноним 04/06/15 Чтв 20:20:09 52169181
>>52155
> У тран-ра 2 перехода, т.к. 3 слоя, у тири-ра 3, т.к 4 слоя.
Ты нуб. У транзистора 2 перехода, однако один используется для коммутации силовой цепи, а другой для управления этой цепи. Причём первый из них обратносмещённый, поэтому теоретически падение напряжения на нём может быть сколь угодно малым и стремиться к нулю (на практике же >0,1-0,5В). У IGBT-транзистора, правда, всё немного сложнее и там уже единицы вольт на нём падает. Но зато он благодаря этому не насыщается. У мосфета падает примерно как и у биполярного. У тиристора же 4 перехода (если представить его как 2 сцеплённых друг за друга биполярных транзистора), и все они используются для коммутации силовой цепи, со всеми вытекающими. То есть ток протекает по двум параллельным цепочкам переходов: pn-np + np-pn. И именно из-за этого трудно сделать так чтобы они не насыщались и чтобы можно было быстренько перекрыть их и закрыть тиристор.
> Фазосдвигающими конденсаторами, например.
Всё равно требует остаточной намагниченности ротора, которой (теоретически) может и не оказаться. В простейшем случае, на тех же кранах, на него просто подаётся трёхфазка 380В, она и магнитит ротор, и при отрицательном скольжении он естественным образом переходит в режим рекуперации. В мощных же электростанциях (100кВт и более) используют машины с фазным ротором. При этом возбуждение осуществляется по такой цепочке: постоянные магниты на роторе -> обмотка на статоре -> схема регулирования тока возбуждения -> другая обмотка на статоре -> обмотка на роторе -> блок вращающегося выпрямителя (БВВ) на роторе -> собственно обмотка возбуждения генератора. При этом всё стабильно всегда работает.
Аноним 04/06/15 Чтв 20:20:36 52170182
>>52168
> Фазосдвигающими конденсаторами, например.
to>>52169
Аноним 04/06/15 Чтв 22:29:07 52178183
>>52169

> При этом возбуждение осуществляется по такой цепочке: постоянные магниты на роторе -> обмотка на статоре -> схема регулирования тока возбуждения -> другая обмотка на статоре -> обмотка на роторе -> блок вращающегося выпрямителя (БВВ) на роторе -> собственно обмотка возбуждения генератора.

Ты случаем не синхронную машину, с бесщёточным возбудителем на валу описал?
Аноним 04/06/15 Чтв 23:08:01 52181184
>>52178
Да, ону самую. Как раз имел дело с такой установкой, как раз на 100кВт, на базе ЯМЗ-238.
Аноним 05/06/15 Птн 21:26:09 52202185
>>52169
Спасибо, вроде разобрался. Порекомендуй литературы, чтобы не задавать такие вопросы.
Аноним 05/06/15 Птн 21:29:26 52203186
>>52202
Я сейчас уже и не вспомню литературу.
Аноним 07/06/15 Вск 01:14:32 52232187
>>52202

Переход на радач. Прикрепленная тема
Аноним 07/06/15 Вск 15:26:31 52242188
>>52232
До чего техника дошла, теперь буду гадить и тут и там. Сомневаюсь, что мне там пояснят, спрошу здесь. Был недавно на выставке городского транспорта и там один представитель компании, который гордо произнес, что наш йоба трамвай на векторном управлении, йопта. Нихуя не понял как оно работает, объясните на пальцах.
Аноним 07/06/15 Вск 23:20:25 52263189
>>52242
> векторном управлении
WUT? Может он имел ввиду регулируется именно усторение, а не сила тока?
Аноним 07/06/15 Вск 23:21:16 52264190
Аноним 11/06/15 Чтв 20:29:24 52335191
(63Кб, 400x307)
400x307
(12Кб, 318x159)
318x159
>>47512
Что-то я даже не задумывался никогда, аж стыдно, но вычитал, что контакты на силовом контакторе без дугогашения и переключаются при отключенном питании. А как это при отключенном, я же не могу на ходу тупо отключить двигатели от питания, сменить позицию и как ни в чем не бывало подключить обратно?
Аноним 11/06/15 Чтв 20:39:55 52336192
>>52335
Блять, я резко вспомнил, что на ЧС2 эти камеры есть. Что происходит вообще?
Аноним 12/06/15 Птн 00:09:57 52337193
>>52335
> А как это при отключенном, я же не могу на ходу тупо отключить двигатели от питания, сменить позицию и как ни в чем не бывало подключить обратно?
А как на машине, ты чтобы переключить передачу, выключаешь сцепление, потом обратно включаешь.
Аноним 12/06/15 Птн 07:14:58 52342194
>>52335
На постоянниках только контакторы реверсора без дугогашения, т.к переключаются при полностью остановленном двигателе и без нагрузки. Остальные ВСЕ с дугогашением.

Аноним 15/06/15 Пнд 17:17:15 52424195
>>52335

Силовые контакты без дугогашения используются в цепях где есть неразрывный контур тока. На пикче реостатный контроллер от вагонов метро. При пуске либо торможении вагона контакты размыкаются без дуги, так как всегда есть контур для протекания тока (через другие контакты того же РК), что обеспечивается силовой схемой. И нет смысла делать их все с дугогашением. Но вот если вдруг будет нарушение развертки и этот контакт будет рвать цепь под нагрузкой, то тут будет переброс дуги, сработка реле перегрузки либо БВ, а иногда и снятие высокого напряжения (сработка защиты на подстанции).
Аноним 21/06/15 Вск 23:20:16 52546196
>>52424
А транзисторы - загнивание... Ниче нового, пару диодов и норм... И инжекторные двигатели...
Аноним 24/06/15 Срд 07:56:15 52584197
>>52546
Ебан штоле? У нас на метровагонах ещё с 2004-го повально отечественный асинхронный привод (КАТП-1, КАТП-2). Иди ной в другом месте, умник.
Аноним 24/06/15 Срд 17:46:39 52603198
>>52584
Р-е-о-с-т-а-т-ы. Теплые и ламповые
А ваш катп говно, и альстом туда же, и зименс туда же.
Аноним 24/06/15 Срд 18:56:56 52606199
А вот и эксперт по асинхронному приводу подтянулся. За спин-эффект в ад хоть сможешь затереть, говно?
Аноним 26/06/15 Птн 02:08:38 52638200
>>52606
Ты в слове "скин" ошибку допустил.
Аноним 29/07/15 Срд 20:41:46 53427201
Раньше знал, почему ДПТ с последовательным возбуждением оставлять без нагрузки, сейчас затрудняюсь ответить. Плохо знал, видимо.
Гугл предлагает повторить курс эл.маша. Можете на пальцах объяснить?
Аноним 01/08/15 Суб 12:19:09 53486202
(592Кб, 1200x803)
1200x803
Поднимаю тред, ребята, а почему не используется безредукторная схема, где двигатель катился бы сразу по рельсу. Есть ли какие-то разработки или все это мертвая хуйня?
Аноним 01/08/15 Суб 17:59:33 53489203
>>53486
Вроде были у японцев или англичан, где на электропоездах ротор асинхронника или синхронника устанавливался прямо на оси, но судьбу этих наработок не знаю, читал у Измерова.
Аноним 01/08/15 Суб 21:01:56 53493204
>>53486

Патамушто скорость вращения нормального мотора это 50 оборотов в секунду, а скорость вращения колеса при 50 оборотах в секунду это скорость самолёта. Ну и рельсы не совсем ровные, наращивать неподрессореную массу тожэе плохо.
Аноним 02/08/15 Вск 21:44:34 53509205
>>53493

>Патамушто скорость вращения нормального мотора это 50 оборотов в секунду

Если только он двухполюсный и подключен к сети 50 Гц. Асинхронники на ЖД напрямую к сети никто не подключает. Варьированием частоты инвертора можно добиваться практически любой скорости вращения.
Аноним 03/08/15 Пнд 00:59:56 53512206
>>53509
А что там с моментом у пихла?
Аноним 03/08/15 Пнд 02:52:37 53513207
>>53509
Не в этом дело, момента не хватит при передаточном отношении единица, разве только для лёгких скоростных электропоездов это подойдёт, да то то, сомнительно.
Аноним 03/08/15 Пнд 10:19:30 53514208
>>53513
Ну хватит или не хватит можно решать только для конкретной ситуации и конкретного двигателя. Предположу, что изменением колличества полюсов и амплитуды напряжения на статоре, можно добиваться нужных моментов.

Вон, на карьерных самосвалах именно мотор-колёса применяются. Хотя вполне возможно что со встроенными редукторами.
Аноним 03/08/15 Пнд 13:27:59 53515209
>>53514
>>53513
А как у ТЭД момент считать. У коллекторника? У асинхронника? И с прямым приводом можно сделать только вентильный двигатель. (ротор - магниты) Катушки от ассинхронника
Аноним 03/08/15 Пнд 21:37:10 53531210
>>53515
Погугли формулы моментов для коллекторника/асинхронника. Почему можно только вентильный?
Аноним 18/08/15 Втр 17:17:18 53953211
(735Кб, 1200x800)
1200x800
Зацените, что я узнал. В поезде ЭД4М есть 2 вида ЭДТ, реостаты с самовозбуждением и рекуперация с независимым возбуждением, так? Также известно, что за переход с одного вида торможения на другой контролируется двумя блоками, а именно БРУ - блок регулирования ускорением и БУТ - блок управления торможением. БРУ просто отщелкивает сопротивления реостатника и тем самым, в зависимости от уставки на пульте машиниста, устанавливает ток ТЭД. БУТ - просто держит ток постоянным на обмотках ТЭД при рекуперации. И вот нас заебала рекуперация и мы переходим на
>Р-е-о-с-т-а-т-ы. Теплые и ламповые
Но их уставки для двигателя отличаются, т.е. был ток 350 А, а стал 320 А. А зачем так резко, спросите вы, а вот хуй знает, ведь такой толчок нахуй никому не нужен, тем более он даже опасен. Демиховский завод обосрался?
Аноним 03/10/15 Суб 16:45:49 55202212
(113Кб, 1073x218)
1073x218
А почему нужно изменять и частоту и напряжение на асинхроннике, что будет, если я хочу регулировать только напряжение?
Аноним 03/10/15 Суб 18:31:22 55203213
>>55202
Будет то же самое, если в неподвижной машине воткнуть 5 передачу, раскрутить мотор до 5000 оборотов и ме-е-е-едленно отпускать сцепление.
Аноним 03/10/15 Суб 18:52:58 55206214
>>55203
Я же вчерашний школьник, понятия не имею как устроена машина. Можно лучше подробнее, что будем в самом двигателе?
Аноним 03/10/15 Суб 21:52:43 55209215
>>55206
Сцепление - такая хуйня, которая позволяет передавать момент на колеса плавно, но при этом оно трется оче сильно и кпд<1%
Аноним 03/10/15 Суб 23:01:46 55213216
>>55202

На низком напряжении может возникнуть достаточный ток для перегрева двигателя, но недостаточный чтобы быстро раскрутить двигатель и, тем самым, снизить ток. Именно этим пониженное напряжение опасно для компрессоров холодильников.
Аноним 04/10/15 Вск 10:46:53 55233217
(374Кб, 1920x1080)
1920x1080
>>55213
То есть в асинхронном ток и напряжение обратно пропорциональны? Мы ведь про ток статора, да? Ты чего-то недоговариваешь.
Аноним 04/10/15 Вск 11:20:51 55234218
>>55233
Нет, ток будет тем больше, чем больше разница между частотой вращения магнитного поля и ротора.
Аноним 04/10/15 Вск 11:35:50 55236219
>>55233

>То есть в асинхронном ток и напряжение обратно пропорциональны?

Нет. Ток пропорционален скольжению, т.е. разнице между скоростью вращения поля статора и соростью вращения ротора. В момент подключения двигателя к промышленной сети, ток максимален, так как ротор в начальный момент неподвижен, а поле уже вращается. По мере разгона, ток снижается, так как скорость вращения поля, относительно ротора, уменьшается.

В случае подачи относительно низкого напряжения, в обмотках статора будет протекать меньший ток, который, создаст меньшее вращающееся магнитное поле, которое индуцирует меньший ток в роторе и т.д. Результатом этого станет меньший крутящий момент, а следовательно и более долгий разгон, либо, вообще отсутствие движения, если нагрузка на двигатель будет достаточно велика. Тут стоит вспомнить, что у АД существует определённый порог механической перегрузки, после которой момент падает до нуля.

При регулировании частоты, мы поддерживаем скольжение на уровне, обеспечивающем максимальный крутящий момент.
Аноним 04/10/15 Вск 12:16:16 55237220
(5Кб, 457x116)
457x116
>>55236
Спасибо, я понял зачем трогают частоту, ведь она оказывает влияние на скольжение и тем самым на момент, но зачем тогда трогать напряжение, ведь при пониженном мы только снижаем момент, а чтобы иметь характеристики мы должны регулировать и то и другое.

>порог механической перегрузки
Развалиться может что ли?
Аноним 04/10/15 Вск 13:25:52 55242221
>>55237

> но зачем тогда трогать напряжение, ведь при пониженном мы только снижаем момент

Это я сам не до конца понимаю.

>Развалиться может что ли?

Нет, просто резко падает момент.
Аноним 04/10/15 Вск 21:56:35 55254222
(173Кб, 621x912)
621x912
(146Кб, 618x893)
618x893
>>55242
Ну давай разберем по частям.
1. Берем формулу момента и упрощаем её.
2. Момент меняется, нужно сделать так, чтобы потери были минимальными.
3. Выясняется, что потери минимальны, при минимальном скольжении.
4. Сравнивают 2 разных режима работы, при одинаковым скольжении.
5. Через одинаковое скольжение выражает моменты для разных режимов.
Где я мог обосраться?
Аноним 05/10/15 Пнд 00:18:12 55258223
>>55254

Да вроде всё правильно. Выходит постоянное соотношение между напряжением и частотой нужно для снижения потерь. Что-то подобное я и подозревал.
Аноним 10/10/15 Суб 01:49:57 55385224
Ну давайте разберём по полочкам вами написанный бред. Во-первых, ток не пропорционален скольжению, а имеет вполне определённое значение, в несколько (и даже на порядок в мощных движках) больше рабочего тока, по при приближении к рабочим оборотом он почти резко снижается до рабочего. При этом при холостом ходе и динамическом торможении (отрицательное скольжение) ток имеет выраженный реактивный характер. То есть, на холостом ходу ток не минимальный, а вполне определённый (где-то раза в 4 меньше чем на номинальной мощности), просто сдвинут почти на 90 градусов назад относительно напряжения, поэтому кагбэ двигло мощности не потребляет. Во-вторых, при вольт-частотном (то есть не векторном) управлении постоянное соотношение между током и частотой нужно для того, чтобы избежать насыщения сердечника статора. В-третьих, кто сказал, что мы снижаем момент? Наоборот, момент-таки остаётся постоянным. Просто пропорционально частоте снижается мощность, это я думаю понятно, так как мощность это произведение момента на частоту. При этом, если допустим на двигатель мощностью 1,5кВт подать не 50, а 100Гц (от частотника), то теоретически с него можно получить и 3 киловатта мощности, только не долго.
Аноним 10/10/15 Суб 20:31:25 55399225
>>55385

>ток не пропорционален скольжению,

А обратно пропорционален?

>а имеет вполне определённое значение, в несколько (и даже на порядок в мощных движках) больше рабочего тока,

Это как-то отменяет существование зависимости между скольжением и током?

>по при приближении к рабочим оборотом он почти резко снижается до рабочего.

Хм, и надо же такому случиться, что в этот же самый момент, так же резко падает и скольжение.

>То есть, на холостом ходу ток не минимальный, а вполне определённый (где-то раза в 4 меньше чем на номинальной мощности),

Так, и в каком же режиме он ещё меньше, если на холостом ходу он не минимален?

>просто сдвинут почти на 90 градусов назад относительно напряжения, поэтому кагбэ двигло мощности не потребляет.

Потребляет реактивную, если быть точным.
Аноним 10/10/15 Суб 21:41:49 55401226
>>55399
> А обратно пропорционален?
> Это как-то отменяет существование зависимости между скольжением и током?
А я обратного и не утверждал. Просто тут пишут што он прямо таки прямопропорционален, я написал, что нет.
> Хм, и надо же такому случиться, что в этот же самый момент, так же резко падает и скольжение.
ПРАВИЛЬНО, кэп.
> Так, и в каком же режиме он ещё меньше, если на холостом ходу он не минимален?
В режиме выкл например.
> Потребляет реактивную, если быть точным.
Ок. Которую ещё и компенсировать должны, если похорошему.
Аноним 11/10/15 Вск 10:34:28 55409227
(7Кб, 948x131)
948x131
>>55385
Ну давайте продолжим разбирать.

>Во-первых, ток не пропорционален скольжению

Ну хз,смотря какой ток, статора, ротора или намагничивания, ток намагничивания равен сумме токов статора и ротора. Значит и зависимость есть, быть может её просто не учитывают, я хз.

>нужно для того, чтобы избежать насыщения сердечника статора

Можно подробнее, как это произойдет при изменении только одного параметра, частоты либо напряжения.

>на двигатель мощностью 1,5кВт подать не 50, а 100Гц (от частотника), то теоретически с него можно получить и 3 киловатта мощности

Но момент будет меньше, так? Поэтому еще и напряжение нужно побольше.





Аноним 11/10/15 Вск 14:02:09 55410228
>>55409
>Можно подробнее, как это произойдет
Величина остаточной намагниченности зависит от времени воздействия магнитного поля → чем ниже частота тем это время больше → чем ниже частота, тем больше намагничивается сердечник. Чего тут непонятного?
Аноним 11/10/15 Вск 20:01:01 55426229
>>55409
> Ну хз,смотря какой ток, статора, ротора или намагничивания, ток намагничивания равен сумме токов статора и ротора. Значит и зависимость есть, быть может её просто не учитывают, я хз.
Вообще там довольно сложно, я конечно осциллографом не мерял. Знаю только что кривая момента при раскрутке несколько проваливается, то есть момент сначала уменьшается, а потом, при приближении к синхронной частоте он снова увеличивается. Значит, должен несколько меняться и ток, поидее.
> Но момент будет меньше, так? Поэтому еще и напряжение нужно побольше.
Я имел в виду чисто в теории. То есть если подать допустим 100Гц и напругу 760В (вместо 380, на 50Гц), то он будет работать на все 3 кВт. Только недолго. При этом момент останется такой же. На практике конечно преобразователи частоты ограничивают напряжение и момент при этом падает (режим постоянной мощности называется).
Аноним 11/10/15 Вск 21:06:39 55430230
>>55410
Меня больше интересовало, как будет вести себя двигатель с намагниченным статором.
Аноним 11/10/15 Вск 21:10:51 55431231
>>55430
Смотря как его магнитить.
Аноним 12/10/15 Пнд 19:34:53 55469232
>>55430
Как синхронник.
Аноним 14/10/15 Срд 00:44:36 55539233
>>55469
> Как синхронник
> статором
Аноним 01/11/15 Вск 18:54:15 56097234
бамп сему триду
Аноним 30/11/15 Пнд 23:36:58 57160235
>>47968
регулируется модулем силового инвертора который управляется блоком управления тягового привода
Аноним 01/12/15 Втр 17:42:10 57170236
>>57160
Он тебя спросил КАК а не ЧЕМ.
Аноним 01/12/15 Втр 19:05:28 57171237
>>57170
>>47968
Есть МК. На него поступает сигнал от КМ. А дальше там высчитывает скважность ШИМ. И подает это на обмотки таким образом, чтобы там образовалось что-то похожее на синусоиды со сдвигом 90градусов.
Таким образом меняется амплитуда и частота, что позволяет поднять пусковой момент, одновременно экономить энергию
Аноним 02/12/15 Срд 13:03:51 57193238
>>57171
90градусов
120 же, лол.
Аноним 02/12/15 Срд 22:29:48 57202239
>>57193
Мда. Обосрался маленько.
Аноним 06/12/15 Вск 15:38:09 57314240
Посоны, как ТИСУ устроено? Именно тиристорное? Как оно запирается? Второй тиристор КЗ устраивает?
Аноним 09/12/15 Срд 00:47:23 57360241
>>57314
На ЭП200 запиралось на больших скоростях противоЭДС двигателей, а на маленьких - с кондексаторов. При фазовом регулировании запирается в конце полупериода. А вообще ничего не мешает использовать запираемые тиристоры.
Аноним 26/12/15 Суб 15:48:45 57953242
Не очень понимаю, почему в генераторном режиме в ТЭД противоЭДС сонаправлена с током?
Аноним 26/12/15 Суб 18:32:10 57959243
>>57953
Так в генераторном режиме ток за счет этой ЭДС и создается.
Аноним 26/12/15 Суб 19:34:48 57960244
Аноним 01/01/16 Птн 19:05:22 58185245
(3010Кб, 640x360, 00:01:14)
640x360
Электраны, что все-таки издает эту музыку - инверторы или ТЭДы?

Аноним 01/01/16 Птн 19:33:51 58188246
>>58185
Блиин,красиво. ЭП2К тоже шумно стартует,но это совсем другое дело
Аноним 02/01/16 Суб 15:10:28 58208247
>>58185
И то и другое.
В инверторах есть катушки и в моторах.
Аноним 03/01/16 Вск 21:04:27 58271248
>>58185

Мне другое не понятно - почему несмотря на наличие тока в цепи ТЭДов, поезд стоит?
Аноним 05/01/16 Втр 00:29:54 58332249
>>58271
1) Откуда ты знаешь о наличие тока?

2) Что ты понимаешь под цепью ТЭДов?

Аноним 06/01/16 Срд 16:09:33 58424250
>>58271
Провода прогревает.
Аноним 07/01/16 Чтв 19:24:12 58504251
>>58332

Как я понимаю, звук, который мы слышим на видео, является следствием протекания переменного тока с большим содержанием высших гармоник через индуктивные элементы - фильтры в инверторе и обмотки статоров АДов. Наличие гармоник обусловлено принципом работы ШИМ-регулятора в инверторе - синусойда получается путём постоянной смены полярности и нарезания постоянного тока на импульсы с различной скважностью. Таким образом, если мы слышим этот звук, значит ток протекает по обмоткам статоров ТЭДов.
Аноним 07/01/16 Чтв 20:08:50 58509252
>>58504
>Как я понимаю, звук, который мы слышим на видео, является следствием
накладывания аудиодорожки на видео ради прикола, по примеру "по всему миру слышны звуки с неба".
Есть еще примеры, кроме этого ролика?
Аноним 07/01/16 Чтв 21:38:27 58513253
>>58509

В данном ролике вполне возможно что и наложили, либо изменили "автотюном" обычное ШИМ-гудение, которое было в оригинальном видео. Впрочем не исключаю и то что на видео результат манипуляций с прошивкой инвертора.

Что касается обычного, не музыкального гудения, то его можно услышать практичеки у любого общественного транспорта с асинхронным приводом. Сейчас я с телефона, и мне не очень удобно искать нyа ютюбе, но досаточно загуглить по тегу "отправление Ласточки" или "отправление Сапсана" чтобы понять о чём речь. Именно в таких видео заметно что гудение начинается раньше чем происходит троганье поезда.
Аноним 07/01/16 Чтв 23:19:08 58520254
>>58509
Нет, у него действительно такой звук при страгивании. Можно даже статью в девики прочитать, там написали, что в последующих моделях эту фичу убрали.
Аноним 08/01/16 Птн 20:11:30 58541255
>>58504
>статоров

А откуда данные что движки на переменном токе?
Аноним 09/01/16 Суб 14:20:50 58568256
Объясните полному нубу, что обозначают номера позиций контроллера машиниста? Например, на ВЛ10. У него же переключаются обмотки на тяговом трансформаторе, и номер обозначает число включенных вторичных обмоток?
Аноним 09/01/16 Суб 23:40:08 58593257
>>58568
Номера позиций означают номера позиций.
Тягового трансформатора на ВЛ10 нету и номер не означает число включенных вторичных обмоток.
Аноним 12/01/16 Втр 16:06:55 58686258
>>58568
> ВЛ10
> тяговый трансформатор
Всё пиздец, приехали.
Аноним 12/01/16 Втр 16:08:23 58687259
>>58541
Из твоих ушей данные, если ты видео смотрел, а если мозгов нет, то из гугла.
Аноним 12/01/16 Втр 16:11:35 58688260
>>58509
>>58513
Ну реально даже погуглить мозгов не хватает, а ещё ВЫВСЁВРЁТИ тут устроил...
http://www.youtube.com/watch?v=doRhgI6fAbc
Кстати, на видео явственно слышна работа противобокчовочной системы. Даже дураку понятно, что тональность обсуловлена ступенчатой сменой частоты, тогда как скважность разницы в звуке не даёт.
Аноним 13/01/16 Срд 11:23:08 58707261
>>58688
>Ну реально даже погуглить мозгов не хватает, а ещё ВЫВСЁВРЁТИ тут устроил...

Я как раз таки не устраивал, а наоборот пытался объяснить.

>Даже дураку понятно, что тональность обсуловлена ступенчатой сменой частоты, тогда как скважность разницы в звуке не даёт.

Дело в том что в частотном приводе есть две частоты - частота переменного тока, которая обуславливает скорость вращения магнитного поля в двигателе, и т.н. несущая частота - частота импульсов постоянного тока, из которых вырисовывается синусоида в статоре двигателя.

Я не смотрел видео в твоём посте, т.к. снова с телефона, но предполагаю что речь идёт о похожем на переключение передач звуке, которым сопровождается разгон транспортных средств с частотным приводом. Этот звук обусловлен как раз таки ступенчатой сменой несущей частоты. Необходимость этого, связана с некоторыми нежелательными эффектами, о которых я сейчас не вспомню. Частота же вращения магнитного поля статоров изменяется плавно и к этим звукам отношения не имеет.

Если моё предположене о содержании видео оказалось неверным, прошу меня извинить.
Аноним 16/01/16 Суб 08:54:57 58761262
>>58707

Посмотрел видео. В принципе речь идёт об одном и том же - о манипуляциях с несущей частотой инвертора.
Аноним 16/01/16 Суб 10:38:32 58763263
>>58513
Кстати, версия об автотюне отметается ясно слышным эффектом Доплера.
Аноним 08/02/16 Пнд 18:11:06 59449264
>>58688
> тогда как скважность разницы в звуке не даёт.
Дает. Но толко из-за неидиальности.
Аноним 31/07/16 Вск 18:15:23 63482265
(397Кб, 1464x1011)
1464x1011
>>58208
>В инверторах есть катушки

Эх, посмотреть бы на них. Схуяли какой-то ссаный фильтр должен издавать хоть какие-то звуки?
Аноним 01/08/16 Пнд 20:15:21 63511266
Кто-нибудь может пояснить за закон Костенко?
Настройки X
Ответить в тред X
15000 [S]
Макс объем: 40Mб, макс кол-во файлов: 4
Кликни/брось файл/ctrl-v
Стикеры X
Топ тредов
Избранное