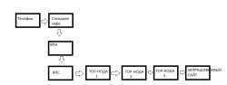
Сап, криптоанархисты. Прошу вашей помощи:покритикуйте и подскажите, как улучшить мою схему выхода в сеть?От кого защищаюсь? - от имперских тов. м-оров и мимокроков. АНБ и прочего, творящееся за пределами ЭРЭФии не опасаюсь1)Имею смартфон на базе андроид, перепрошитый cyanogenmodоместь более подходящий вариант смартфона для выхода в сеть?, у которого выпаян радиомодульперепаян на иной, чтобы ловить только wi-fi? и допилена кастомная антена, позволяющая ловить wi-fi от кафе неподалеку.2)Дальше мой трафик отправляется через vpnможете посоветовать, каким воспользоваться лучше? Если openvpn, то к чему коннектиться? на арендованный нидерландский, к примеру, vpsбыло бы неплохо, если бы подкинули советов, как его поднять и где арендовать лучше, на который я накачу какой-нибудь arch.3)Далее все проходит цепочку ТОР, попадая на некий сайт луковой сети/сайт платежной системы/скайп/джабер/токс.Прошу, аноны, посоветуйте чего-нибудь дельного. Что добавить/убрать из системы, чтобы улучшить ее?
Не вижу смысла в смартфоне вообще.
>>22236Нужно удобное портативное устройство. Смартфон по этим критериям лучше ноутбука, но, допустим, используем ноутбук.По поводу остального что скажешь?
>>22235 (OP)Цепочку из нескольких Wi-Fi роутеров создать реально?
>>22235 (OP)>Прошу, аноны, посоветуйте чего-нибудь дельного. Что добавить/убрать из системы, чтобы улучшить ее? исключи андроид.Вместо смарта нужен нетбук + сидеть не из кафе, а из тачки рядом, которая стоит не под камерами. Вр время сеанса связи с собой не иметь включенный сотик с симкой на твоё имя
>>22545чтобы тебя по симке не спалили, что ты был в это время в этом месте
Как сказал мой знакомый fsb - помимо мобилы которую прослушивают - автоматически цепляют все девайсы в ближайшем радиусе. Так что пересаживаться на другую мобилу лучше меняя и симку и телефон, заранее выкинув старый.
Бери себе мини комп на архитектуре ARM, чтоб была меньше вероятность исполнения всякой хитрой хуйни скомпиленой под х86.Например, Raspberry Pi3 с ОС Linux. Тут не прокатит метод слежки через слепок оборудования. Т.к. плата не модифицируема - готовые одинаковые модели у тысяч людей.