Главная Настройка Mobile Контакты NSFW Каталог Пожертвования Купить пасскод Pics Adult Pics API Архив Реквест доски Каталог стикеров Реклама
Доски


[Ответить в тред] Ответить в тред

Тред закрыт.


Check this out!


[Назад][Обновить тред][Вниз][Каталог] [ Автообновление ] 1911 | 282 | 515
Назад Вниз Каталог Обновить

Помощи ньюфагу тред #64 Аноним 14/04/17 Птн 11:56:08  280133   Обсуждение закрыто  
Очередной раковник для ньюфагов стартует в этом ITT треде.
Предыдущий доводил Cray XK7 до BlueScreen и останавливал мировой майнинг битков, тут -
https://2ch.hk/ra/res/276268.html


ПРЕЖДЕ ЧЕМ СОЗДАТЬ ТРЕД, ПОГУГЛИ, ПРОЧТИ ЭТОТ ПОСТ (а лучше весь тред) И ВОСПОЛЬЗУЙСЯ ПОИСКОМ ПО РАЗДЕЛУ. ТАКЖЕ СМОТРИ ТЕМАТИЧЕСКИЙ УКАЗАТЕЛЬ ТРЕДОВ (>>263887 (OP)).

Решил заняться электроникой, паянием ололо-быдло девайсов? Похвально. Вот список нужной литературы и ссылок:

Книги:

Вообще, их очень много. Но тебе же лень искать, поэтому получай скромнейший минимум:

П. Хоровиц, У. Хилл "Искусство схемотехники"
http://publ.lib.ru/ARCHIVES/H/HOROVIC_Paul',_HILL_Uinfild/_Horovic_P.,_Hill_U..html

У. Титце, К. Шенк "Полупроводниковая схемотехника" (в двух томах)
http://www.tverhtk.ru/library/predmets/pc_systems/Poluprovodnikovaja_shemotehnika_Tom1_2008.pdf
http://www.tverhtk.ru/library/predmets/pc_systems/Poluprovodnikovaja_shemotehnika_Tom2_2008.pdf

Ю.В. Ревич "Занимательная электроника"
http://publ.lib.ru/ARCHIVES/R/REVICH_Yuriy_Vsevolodovich/_Revich_Yu.V..html

Если есть желание обмазаться расчётом с ног до головы, то тебе следует почитать вот это:

И.П. Степаненко "Основы теории транзисторов и транзисторных схем"
http://publ.lib.ru/ARCHIVES/S/STEPANENKO_Igor'_Pavlovich/_Stepanenko_I.P..html

Г.И. Изъюрова "Расчёт электронных схем. Примеры и задачи"
http://publ.lib.ru/ARCHIVES/_CLASSES/TEH_RAD/Raschet_elektronnyh_shem.(1987).[djv-fax].zip

Л.Н. Бочаров "Расчёт электронных устройств на транзисторах"
http://www.radiolamp.ru/library/books.php?id=mrb0963

Полезные ссылки:

Много полезный статей и сообщество:
http://easyelectronics.ru/
Схемы устройств и хороший форум:
http://cxem.net/
Также загляни сюда:
http://radiokot.ru/

Решил прикупить себе сканер «закрытых» частот или хороший приёмник? Глянь сюда:
http://www.radioscanner.ru/forum/
И сюда:
http://www.cqham.ru/ (есть годный /forum по схемотехнике)
Любительской радиосвязи также посвящён:
http://www.qrz.ru/

Я знаю, что тебе, мой начинающий друг, будет лень смотреть на сайтах, которые я тебе дал, поэтому:
Техника Безопасности: http://radiokot.ru/start/other/safety/01/
Инструментарий радиолюбителя: http://cxem.net/beginner/beginner1.php
Немного о пайке: http://easyelectronics.ru/likbez-po-pajke.html
О паяльниках: http://easyelectronics.ru/traktat-o-payalnikax.html

СНАЧАЛА ПРОСМОТРИ УКАЗАННЫЕ ВЫШЕ САЙТЫ. НА НИХ ТЫ, СКОРЕЕ ВСЕГО, НАЙДЁШЬ ИСЧЕРПЫВАЮЩИЕ ОТВЕТЫ НА БОЛЬШИНСТВО СВОИХ ВОПРОСОВ, ДАЖЕ В РЕЖИМЕ READ ONLY.

Как первую схему, гугли "мультивибратор".

Как спаять наушники, для начала спроси у гугла, он много этого дерьма повидал:
http://lmgtfy.com/?q=Как+спаять+наушники
Или обратись к старому местному гайду с выцветшими от времени фото:
http://arhivach.org/thread/7925/

Где-то здесь быд тред, но «он утонул»?
https://2ch.hk/ra/arch/

Если у тебя есть вопросы типа: "почему мои калоночки гудят/не играют?", "мультивибратор не пашет", "как определить полярность резистора?" или наушники так и не поддались, то спрашивай в этом треде.

Если у тебя действительно серьёзный вопрос, тогда так и быть, создавай тред.


ДОБРО ПОЖАЛОВАТЬ В /RA/.
ДАЁМ НЕ РЫБУ, НО УДОЧКУ.
Аноним 14/04/17 Птн 18:04:15  280193
Реквестирую недорогую и компактную понижайку DC-DC 24В 5В, чтоб питать одну ардуину и трехразрядный семисегментник.
Аноним 14/04/17 Птн 18:05:45  280194
>>280193
Ноутбучный БП с Авито.
Аноним 14/04/17 Птн 18:07:03  280195
>>280194
> Ноутбучный БП
ЧО?
Аноним 14/04/17 Птн 18:07:32  280196
>>280194
Спасибо сука! У меня пердуину распидорасило.
Аноним 14/04/17 Птн 18:23:05  280200
>>280194
Дебил?
> 24В - 5В
Аноним 14/04/17 Птн 18:25:43  280201
1640225626-2.jpg (360Кб, 2909x1660)
LD7550-B-circui[...].jpg (37Кб, 693x445)
Можно ставить?
Аноним 14/04/17 Птн 18:25:44  280202
>>280193
https://www.chipdip.ru/product/l7805cv
Аноним 14/04/17 Птн 18:26:39  280203
>>280200
Я подключал. Брат жив.
Аноним 14/04/17 Птн 18:35:16  280205
>>280201
Куда?
Аноним 14/04/17 Птн 18:39:12  280206
>>280205
В очко твоей маме.
Аноним 14/04/17 Птн 18:47:09  280207
>>280206
Моя мамка котирует только (полу)мостовые и резонансные топологии.
Аноним 14/04/17 Птн 18:48:42  280209
>>280207
Иди продавай твою мамку в б. Тут радач.
Аноним 14/04/17 Птн 18:52:23  280210
>>280207
>резонансные топологии
Это как в ферромагнитных советских стабилизаторах "Олень"?
Аноним 14/04/17 Птн 19:05:37  280212
>>280205
Одно вместо другого.
Аноним 14/04/17 Птн 19:06:34  280213
.jpg (19Кб, 500x275)
>>280210
Вообще я про LLC резонансную топологию. Там помимо трансформатора нужен кондёр и дву катушки. Но вместо катушек обычно просто особым образом наматываю трансформатор, чтобы он работал "неправильно".

Эпичная штуковина: огромный КПД, почти не греется. Используется почти повсеместно: в телевизорах, мониторах и так далее. Один недостаток: нельзя настраивать выходное напряжение в больших пределах, иначе КПД начнёт очень сильно падать.
Аноним 14/04/17 Птн 19:12:12  280216
>>280213
Падажжи.
Резонансными в современных питальниках называют вот это же http://www.infineon.com/cms/en/product/power/ac-dc-power-conversion/ac-dc-integrated-power-stage-coolset/ac-dc-quasi-resonant-coolset/channel.html
Аноним 14/04/17 Птн 19:13:42  280217
>>280216
Линк криво вставился, в общем вот это вот https://www.electronicsweekly.com/news/business/infineon-sell-5th-gen-coolset-quasi-resonant-fly-back-controller-may-2017-04/
Аноним 14/04/17 Птн 19:16:19  280219
>>280213
>кондёр и дву катушки
Ну вот она, топология стабилизатора "Олень" (а также "Клен", тысячи их было, для запитывания УПТЦ в деревнях).

>особым образом наматываю трансформатор
На том же сердечнике получаешь дроссель?
Используешь паразитные индуктивности трансформатора?
Аноним 14/04/17 Птн 19:17:12  280220
>>280202
А теперь представь, как он будет греться.
Аноним 14/04/17 Птн 19:18:50  280221
>>280219
> УПТЦ
УЛПЦТ и УПИМЦТ
Аноним 14/04/17 Птн 19:20:46  280223
>>280219
> Используешь паразитные индуктивности
Пиздит хуету в радаче. Инфа 100%
Аноним 14/04/17 Птн 19:21:28  280224
>>280220
Я представь или он представь?
Аноним 14/04/17 Птн 19:22:10  280225
>>280223
Причем тут пиздит? Я пытаюсь понять >>280213
вот это вот.
Аноним 14/04/17 Птн 19:23:30  280226
Появилась в голове идея сотворить из нескольких старых хороших ушей - одни, и желательно в 3 раза круче. Суть такова: вставить по 3 динамика в каждое ухо и разделить частоты, под каждый свои(ВЧ/СЧ/НЧ) с помощью кроссовера. Сами динамики, как я понимаю, широкополосные.
Отсюда пока имеются такие вопросы:
-ШП динамики хорошо разделятся на частоты?
-Что вообще потребуется сделать?
-На сколько целесообразно такое делать, будет ли вообще отдача?

Уши делаются для носки на улице и прослушивания плеера. В планах также прикрутить синий зуб и сделать их беспроводными, если получится.
Аноним 14/04/17 Птн 19:24:13  280227
>>280213
> Используется почти повсеместно: в телевизорах, мониторах и так далее.
Берешь схему монитора и видишь что пиздит.
Аноним 14/04/17 Птн 19:25:54  280228
>>280226
> Уши делаются для носки
> прикрутить синий зуб
Это в медач.
Аноним 14/04/17 Птн 19:38:25  280232
>>280224
Оба.
Аноним 14/04/17 Птн 19:41:47  280233
>>280228
А ты юморной, у тебя наверное много друзей?
Аноним 14/04/17 Птн 19:43:52  280234
.png (39Кб, 530x480)
>>280217
Оттуда из резонансника взяли только ZVS, для того чтобы уменьшить нагрев транзистора. Да и то это работает только на относительно малых мощностях.
>>280219
> На том же сердечнике получаешь дроссель?
> Используешь паразитные индуктивности трансформатора?
Да. Паразитная индуктивность Lp при помощи зазора между ферритами, а первичная обмотка изначально наматывается таким образом, чтобы имитировать параллельное соединение с индуктивностью Lp - Lr. Таким образом получается трансформатор, у которого первичка параллельно соединена с катушкой Lp - Lr и последовательно с Lr.
>>280227
Ну так возьми и посмотри.
Аноним 14/04/17 Птн 19:43:57  280235
>>280233
Не подлизывай!
Аноним 14/04/17 Птн 20:28:58  280241
Не совсем по теме, но тем не менее, может кто знает как точно отцентрировать диск с отверстием 8мм на валу движка с резьбой диаметром 5 мм и надежно закрепить?
Аноним 14/04/17 Птн 20:31:30  280242
>>280241
Шайба 8х5мм?
Аноним 14/04/17 Птн 20:35:31  280243
>>280242
Она 9х5
http://www.metae.ru/0433-053-02.html
Да и с какой стати диску держаться на ней?
Аноним 14/04/17 Птн 20:38:46  280244
>>280243
> диску держаться на ней?
шайбу вставляешь в отверстие диска, вал в отверстие шайбы. Зажимаешь гайкой. На циркулярки диски так продаются, с переходными шайбами под разные диаметры валов.
Аноним 14/04/17 Птн 20:41:16  280245
>>280244
>шайбу вставляешь в отверстие диска
Каким образом? Шайба больше отверстия.
Аноним 14/04/17 Птн 20:43:00  280246
>>280245
Да не заводскую 9х5, а самопальную 8х5мм, жы.
Аноним 14/04/17 Птн 20:44:38  280247
>>280246
И как я сделаю шайбу?
Аноним 14/04/17 Птн 20:46:21  280248
>>280247
Зажми ее на своем двигле, включи и обточи надфилем. Да что с тобой такое? Соберись, тряпка!!
Аноним 14/04/17 Птн 20:47:15  280249
>>280247
Обдвачивай готовую шайбу напильником, предварительно зажав её в самопальный держатель, а держатель необходимо вращать с помощью дрели.
Аноним 14/04/17 Птн 20:47:30  280250
>>280248
Мысль, но тут еще бы движок не сжечь.
Аноним 14/04/17 Птн 20:50:43  280252
>>280248
Еще с толщиной проблема. Шайба 1мм, а диск 0.6. Чо, стачивать надфилем половину толщины?
Аноним 14/04/17 Птн 20:54:07  280253
>>280226
>будет ли вообще отдача?
Нет не будет. На улице слишком шумно, что бы услышать что-то.
Аноним 14/04/17 Птн 21:10:04  280256
>>280253
Шта? Звукоизоляция будет
Аноним 14/04/17 Птн 21:21:30  280257
>>280256
>будет
хуевой
Аноним 14/04/17 Птн 21:45:01  280258
14921947697770.webm (11399Кб, 640x360, 00:05:15)
я вам немножко техники безопасности принес
Аноним 14/04/17 Птн 21:58:23  280262
>>280258
Зайди на его канал, там все видосы такие.
Аноним 14/04/17 Птн 22:01:37  280263
Dynagroove! 1.3.jpg (26Кб, 505x237)
>>280226
Требуется купить китайские трехдрайверные наушники.
Можно их расковырять и вывести каждый динамик (провода к нему) наружу. Дальше сооружаешь качественный шестиполосный (два канала, по три полосы) усилитель на стержневых лампах и NiCd (потому что LiOn и LiFePO4 сильно шумные), и три стерео ЦАПа (а лучше - шесть моно ЦАПов), и подключаешь к беспроводному интерфейсу по I2S (для вывода нормального I2S твоему беспроводному интерфейсу потребуется ПЛИС).
В качестве беспроводного интерфейса используешь WiFi, потому что BT, даже с APT-X HD LL - говно говна говнее.
Аноним 14/04/17 Птн 22:10:22  280265
>>280263
Можно про это где-то подробнее прочитать,а то я полный нуб. Нагуглить то я смогу что ты расписал но наверняка встряну. Или хотя бы схему
Аноним 14/04/17 Птн 22:13:58  280266
>>280265
> про это где-то подробнее
Да он тут шызы понаписал, а ты ведешься.
Аноним 14/04/17 Птн 22:26:07  280269
>>280262
Есть подозрение что он это специально делает ради просмотров.
Аноним 14/04/17 Птн 22:59:39  280279
>>280265
Наушники, например, вот такие - из самых недорогих https://www.aliexpress.com/item/Original-1More-Triple-Driver-In-Ear-Earphone-HIFI-hybrid-Earbuds-with-In-line-Microphone-and-Remote/32734548927.html

В качестве основы цифровой части можешь взять дешевый WiFi-роутер с аккумулятором - заодно и питаться она будет отдельно, а не от больших (относительно) NiCD банок - чтоб разнести питание цифровой и аналоговой частей.

С правильным I2S на ПЛИСе, видимо, тебе рано затеваться, поэтому возьми там же singxer c-1 и выводи на него через USB, а его вывода получишь приемлемого качества I2S. Если запитаешь его качественно, конечно.
Аноним 14/04/17 Птн 23:10:52  280286
>>280279
Хм, я типа таких имел ввиду, не затычки
http://www.dns-shop.ru/product/66278e0c13cd3361/nausniki-roccat-kave-xtd-51-analog-cernyj/characteristics/

И все это в один 3.5мм джек в стерео. Алсо, сопротивление сильно вырастит?
Аноним 14/04/17 Птн 23:59:31  280289
.jpg (66Кб, 400x509)
Анон, посоветуй усилитель для колонок. Я думаю что-нибудь недорогое китайское с али подойдет.
Источником звука будет пека. Запитать усилитель хочу от пека же. Там есть пачка разъемов для питания жестких дисков, в них есть +12 и +5 В.
Аноним 15/04/17 Суб 00:02:01  280290
>>280289
tda7293
Аноним 15/04/17 Суб 00:13:07  280291
>>280289
TDA7388
TDA7560
LA47515
LA47516
LA4742
LA4743
На любой из этих.
>>280290
А ты пидор. Тебя нормально человек спросил.
Аноним 15/04/17 Суб 00:21:22  280293
>>280291
ну тогда
tda7297
сам пользуюсь, мне норм
Аноним 15/04/17 Суб 00:23:05  280294
Хули у моей посылки уже 2 недели висит
【MR LC Vnukovo Cex-1 102976】Processing Left the place of international exchange
? Отслеживаемая ведь
Аноним 15/04/17 Суб 00:26:05  280295
>>280293
Слабоватенька. TDA7379 пизже.
Аноним 15/04/17 Суб 00:27:31  280296
>>280295
мне и не надо больше
Аноним 15/04/17 Суб 00:56:43  280297
>>280294
Нихуя на ли не отслеживается.
Аноним 15/04/17 Суб 07:02:45  280305
>>280297
> Нихуя
Работник слоупочной таможни Vblizi derevni Sharapovo?
Аноним 15/04/17 Суб 12:53:43  280329
>>280252
Сука беспомощная, хочется взять и уебать.
Аноним 15/04/17 Суб 14:16:12  280341
>>280329
Мамке своей уеби, чмо
Аноним 15/04/17 Суб 14:36:04  280342
Кто-нибудь платы из алюминия делает в домашних условиях?
Чем торцы закрываете при травлении?
Аноним 15/04/17 Суб 18:35:28  280360
>>280133 (OP)
ОП хуй поменяй ОП пик не будь пидором, неделю на это говно смотреть?
Аноним 15/04/17 Суб 18:37:08  280361
>>280269
да не, случайно так получается
Аноним 15/04/17 Суб 18:39:37  280363
>>280360
>поменяй ОП пик
Разве это возможно?
мимо не оп
Аноним 15/04/17 Суб 18:40:40  280364
>>280363
Мочератор может.
Аноним 15/04/17 Суб 18:42:25  280365
>>280360
> поменяй ОП пик
Не поменяю. :Р
Аноним 15/04/17 Суб 18:44:14  280366
моча ебучая мало того что до 2000 постов не перекатывает еще и блевотину на ОП цепляет. ссу тебе в рот пидор
Аноним 15/04/17 Суб 18:47:42  280368
>>280366
Так это не моча создала, а простой Анон, я. А моча нихуя закреплять не хочет, наверное потрет нахуй.
Аноним 15/04/17 Суб 18:51:04  280369
>>280368
Ааааа, так это еще и левый тред Ну ты и дегенерат :D. А вообще надо пойти обезъяне пожаловаться чтобы перекатывали хотя бы после 1000 постов. Выдвини себя, раз ты такой инициативный.
Аноним 15/04/17 Суб 18:53:30  280372
>>280369
> левый тред
Я пару тредов создавал в прошлом году. А что, тут положено только мочератору перекатывать?
Аноним 15/04/17 Суб 18:58:51  280374
>>280372
Понятия не имею кому их положено создавать, но их прикреплять всяко надо и старый закрывать тогда уж.
Аноним 15/04/17 Суб 21:50:37  280428
Love My Life.jpg (43Кб, 600x400)
>>280374
Ну создайте новый тред с бабой уже!
Аноним 16/04/17 Вск 00:57:39  280439
>>280428
Тян не нужны.
Аноним 16/04/17 Вск 01:11:34  280440
marion-marechal[...].jpg (25Кб, 480x360)
>>280439
Ну с красивым ДРОССЕЛЕМ что-ли тогда.
Аноним 16/04/17 Вск 03:16:08  280443
Анон, а не подскажешь как можно увеличить скорость нагрева пистолета с термоклеем из фикспрайса, задолбался ждать пока эта скотина нагреется. Разобрал, но никаких токоограничительных элементов вроде резисторов на нашел.
Внутри относительно много свободного места, поэтому что скажешь насчет мостика+терморезистор+тиристор? Насколько мне известно постоянка намного намного лучше справляется с задачей "разогреть".
Аноним 16/04/17 Вск 10:14:56  280489
>>280443
>постоянка
>тиристор
Аноним 16/04/17 Вск 10:48:46  280493
В чем смысл включения махараек через лампу накаливания?
Аноним 16/04/17 Вск 10:53:04  280494
>>280493
Не дает течь через махарайку убийственному току.
Аноним 16/04/17 Вск 11:03:14  280495
lmY-ggrOafA.jpg (68Кб, 700x595)
Как передать в ардуино иде что-нибудь с одной esp8266 на другую?
Аноним 16/04/17 Вск 11:13:44  280496
На электронной книге не работает сенсор, вроде отзывается, но как-то странно - ничего тапнуть нельзя, около центра небольшой полупрозрачный концентрический кружок, при нажатии слева и справа срабатывает прокрутка, всё возвращается в то же положение, если отпустить.
Надо покупать новый сенсор, или проблема может быть в чём-то другом?
Аноним 16/04/17 Вск 11:50:48  280497
>>280494
А если я хочу транс померить, лампу взять 40 ватт или 95?
Аноним 16/04/17 Вск 12:01:01  280498
>>280497
Что ты хочешь померить в трансе через лампочку? Свой ICQ?
Аноним 16/04/17 Вск 12:03:37  280499
>>280498
Наеряжение на вторчках, еба.
Аноним 16/04/17 Вск 12:04:00  280500
>>280499
*напряжение
Быстрофикс
Аноним 16/04/17 Вск 12:05:50  280501
>>280500
Зачем через лампочку? Ты не уверен, что правильно определил первичку?
Аноним 16/04/17 Вск 12:07:40  280502
>>280501
И такое может быть.
Аноним 16/04/17 Вск 12:11:17  280503
>>280502
Врубай через любую, один хуй напруги будут не пойми какие.
Аноним 16/04/17 Вск 14:02:47  280518
>>280489
Тиристор - для постоянки, симистор для переменки. Так что либо ответь по сути, либо пройди нахуй.
Аноним 16/04/17 Вск 14:30:38  280521
>>280518
>Тиристор - для постоянки
ШТО
Аноним 16/04/17 Вск 14:33:19  280522
>>280521
ТО. Иначе у тебя будет нижняя полуволна срезаться.
Аноним 16/04/17 Вск 15:30:19  280529
>>280522
Опять запутались в терминах и выход с диодного моста называем переменкой.
Аноним 16/04/17 Вск 16:11:18  280535
>>280443
>Насколько мне известно
Мне такое не известно.

Без значительных переделок ничего не сделаешь.
Аноним 16/04/17 Вск 17:07:49  280541
>>280529
Заебал. А ну марш гуглить чем тиристор отличается от синитора. Да, когда я говорил про переменку то я имел в виду именно сетевое напряжение, а не импульсное после моста.
>>280535
Присобачил диодный мост на 2 ампера без всяких переделок. Теперь термоклей греется вместо за 30 секунд вместо 2 минут.
Аноним 16/04/17 Вск 17:10:02  280542
>>280541
>Теперь термоклей греется вместо за 30 секунд вместо 2 минут.
Теперь термоклей греется за 30 секунд вместо 2 минут.
fix
Аноним 16/04/17 Вск 17:13:43  280544
>>280541
Лох. Нужно было на 4 ампера брать и тогда бы за 15 секунд нагревался.
Аноним 16/04/17 Вск 17:21:40  280547
>>280544
Не нагревался бы, или уже научились делать диодные мосты со встроенными умножителями?
R нагревателя 10кОм, U сети 220в, после прохождения диодного моста U умножается на √2, т.е. в 1.41 раза, в результате на выходе получаем 310в-1.2в(падение U на мосте), с увеличением U R уменьшается, соответственно нагреватель будет греться в 1.41 раза сильнее.
А мост на 2А взял потому что лень было считать насколько сильно будет греться мост на 2А(вполне возможно что и на 1 хватило бы).
Аноним 16/04/17 Вск 17:27:08  280548
>>280547
>с увеличением U R уменьшается
В это и весь секрет.
Для такого нагревателя конечно распределять ту же мощность по синусоиде невыгодно получается.
Аноним 16/04/17 Вск 17:29:25  280551
>>280547
>после прохождения диодного моста U умножается на √2
Поставь две штуки последовательно, умнож на 2,81 раза.
хуйню ты пишешь, ничего у тебя греться лучше не станет, только потеряешь на сопротивлении диодов и их нагрев
Аноним 16/04/17 Вск 17:34:36  280552
>>280551
Шел бы ты нахуй учить электротехнику. А еще лучше подруби мост к сети и измерь DC-вольтметром то что получишь на выходе.
Аноним 16/04/17 Вск 17:40:30  280554
>>276268 (OP)
>>280133 (OP)
сап, рач. Собираюсь заново начать читать искусство схемотехники 1 раз бросил странице на 43-тьей
Какие нужны математические знания для изучения данного материала, не считая школьного курса? И не считая комплксных чисел.
Аноним 16/04/17 Вск 17:43:33  280555
Что такое травление плат? Чем оно производится? В каких условиях? Зачем? Как это выглядит?
Аноним 16/04/17 Вск 17:45:13  280556
>>280554
Деньги нужны. Схемотехника без практики это пиздец кучно. А с практикой когда даже отрицательный результат взрыв тоже результат схемотехника становится очень интересной. Ну еще уметь гуглить даташиты нужно уметь.
Аноним 16/04/17 Вск 17:47:32  280557
>>280555
Мне лень катать стену текста. Гугл в помошь.
Скажу лишь что раствор перекиси водорода с лимонкой лучше всего разогреть перед травлением, я лично пользуюсь для этих целей микроволновкой, в качестве посуды используй любую кроме металлической, например дошираки.
Аноним 16/04/17 Вск 18:22:25  280559
>>280552
Сам туда сходи.
Ты тупо толстишь или даун?
Аноним 16/04/17 Вск 18:55:03  280563
>>280556
Та это я понимаю. Денег у меня полно, незнаю на что тратить. Приходится мои тысячи гривен на депозиты ложить. И даташити я умею гуглить. Мне главное понимать инструмент описания физики-электроники — математику
Аноним 16/04/17 Вск 19:53:44  280571
>>280556
Схемотехника без теории - это еще более скучно.
Пока не освоил хотя бы прямое и обратное преобразования Лапласа и основы материаловедения, паять что-то бессмысленно. Получатся в лучшем случае типовые марахайки уровня качества "всем кроме первой гармоники синусоиды можно пренебречь".
Аноним 16/04/17 Вск 22:15:19  280587
14901259030800.jpg (25Кб, 400x300)
>>280571
ты чё охуел
Аноним 16/04/17 Вск 22:21:10  280588
1362429335743.jpg (180Кб, 436x736)
>>280587
Он хочет чтобы нюфаги дрочили теорию пока не станут разработчиками. Они никогда не познают радости махорайкотворения и их мыслительные пути будут навсегда искажены грузом опыта разработчика.
Аноним 17/04/17 Пнд 00:37:48  280595
Ice-Ice-Cheney.jpg (22Кб, 384x287)
>>280587
Объясняю. Делать интересно то что еще никто до тебя не делал - или хотя бы не делал это таким способом.
В чем смысл паять усилитель на TDA, если его проще, быстрее и дешевле купить (и выкинуть, послушав три секунды) - непонятно.

Есть множество штуковин, которые индустрия сделать не может, не хочет и не будет - по множеству разных причин, от зашоренности и узколобости типичных EE (не говоря уж об их типичном руководстве) до соображений маркетинга ("да, можно вот здесь улучшить за три копейки, но пользователю это объяснить будет невозможно, поэтому будем экономить три копейки и фиг с ним - а за три копейки лучше поставим светодиодик яркий - его-то покупатель оценит"), КПД и цены.
Интересно же заниматься именно такими вещами, пользуясь именно тем что каждый отдельный посетитель этой борды не стеснен подобными ограничениями.
Аноним 17/04/17 Пнд 00:50:54  280597
>>280595
Только вот большинство делают махарайки из цифровых компонентов, где все эти основы материаловедения и преобразования лапласа (по крайней мере для анализа цепей) не нужны.
Аноним 17/04/17 Пнд 01:39:43  280598
>>280597
Махарайки из цифровых компонентов где никакой теории не нужно - это Ардуино с датчиком температуры, LCD и батарейкой. Что есть тот же усилитель на TDA, только в профиль.
Всё что немного интересней его, требует теоретической подготовки.
Будь то теория категорий и теория типов - например, для интересной и осмысленной генерации Verilog или VHDL из Haskell (не писать же это руками, бррр). Или те же Лапласы, только уже желательно с более глубоким пониманием нелинейностей высоких порядков, со странными аттракторами и бифуркациями, потому что для ВЧ всё то же самое, только еще интересней - и цифровые системы внезапно на самом деле аналоговые http://www.microchip.com/wwwAppNotes/AppNotes.aspx?appnote=en559104.
И кстати то же материаловедение, только уже в терминах transmission lines и йобаповерхностных токов, а так же внезапно скорости распространения заряда отличной от "можно пренебречь и считать бесконечной".
Аноним 17/04/17 Пнд 02:21:38  280602
>>280598
Т-щ профессор, мы всё ещё о т.н. махарайках говорим?
Аноним 17/04/17 Пнд 02:40:28  280603
>>280554
> заново начать читать искусство схемотехники
Искусство схемотехники на самом деле довольно сложно читать без предварительной подготовки. Я вот рекомендую книгу "Fundamentals of Electric Circuits (Charles K. Alexander, Matthew N. O. Sadiku)" (вроде есть и русский перевод).

Правда там только теория, зато всё детально разжёвывается. Первая часть про DC-цепи вообще должна быть понятна без мат. подготовки, вторая про AC уже требует знаний комплексных переменных (хотя тоже сложного уже нет). А вот в третьей части уже есть и преобразования и лапласа, и фурье, и прочие радости. Проффессор выше должен быть доволен.

Потом уже после нее (хотя бы после первой части) можно прочитать искусство схемотехники. Всё становится гораздо понятней.
Аноним 17/04/17 Пнд 03:36:09  280605
>>280603
Лучше всего начинать с самого начала.
С понятия электрического заряда (которому никакие цепи не нужны, например).
И чем старше книжка, тем понятней в ней объяснения базовых основ. Лучше всего дореволюционные, начала XX века.
Аноним 17/04/17 Пнд 09:28:14  280621
>>280595
Хуйню сказал. Ты ничего нового не придумаешь, всё что можно уже пробовали японцы-китайцы-американцы. Не думай, что ты умнее миллионов специалистов.
Аноним 17/04/17 Пнд 10:23:43  280622
Есть катушка сверхпроводящего провода "СНТЭ", че-то нихуя не гуглится. Чем он отличается от обычной меди?
Аноним 17/04/17 Пнд 12:28:42  280630
>>280622
Проводить должен намного хуже, сверхпроводимость работает только при охлаждении жидким гелием.
Неужели трудно почитать что-нибудь научно-популярное про сверхпроводимость?
Аноним 17/04/17 Пнд 12:31:14  280631
>>280630
Лол, в научно-популярных изданиях не пишут про сплавы и проводимость при Н.У. Не думай, что ты умнее всех.
Аноним 17/04/17 Пнд 12:58:08  280637
>>280631
Много ли металлов и сплавов проводят лучше меди? Шанс того что удельное сопротивление этого сплава будет на уровне меди, достаточно низок.
Аноним 17/04/17 Пнд 13:43:34  280641
>>280621
>какой Linux, все что можно уже сделали Microsoft и VxWorks
Аноним 17/04/17 Пнд 14:36:40  280651
>>280641
>имплаинг чухан с двача сделает что-то новое с помощью линуха
Аноним 17/04/17 Пнд 15:48:47  280667
>>280651
С линукса можно двачевать.
Аноним 17/04/17 Пнд 16:03:22  280668
cb5ffb28e168081[...].jpg (55Кб, 640x446)
>>280667
Аноним 17/04/17 Пнд 16:25:08  280669
testoraarrrr
Аноним 17/04/17 Пнд 17:06:38  280676
>>280595
>узколобости типичных EE
ИТТ очередной гений special snowflake
Аноним 17/04/17 Пнд 17:10:03  280677
>>280571
Пока не освоил доказательства теорем, нехуй даже браться за лапласа. Ты это должен САМ все вывести, а не брать готовые решения как обезъяна. Начинать надо с топологий и гомологий и развивать абстрактное мышление, потом уже сука за паяльник браться.
Аноним 17/04/17 Пнд 21:06:38  280707
каеф, спиздил с работы 400 метров мгтфа
Аноним 17/04/17 Пнд 21:39:04  280710
>>280622
Гуглится только состав - NbTi, кто-то титан танталом зовёт, на да похуй. Бывает с медным покрытием, другой инфы нету. Где добыл и почему с повинной до сих пор не явился?
Аноним 17/04/17 Пнд 21:53:23  280711
Анонасы подскажите нормальный варик, для клавиатуры. Есть меню на указателях которое работает как жопа лол хочу добавить кнопочки управления, но не могу придумать нормальный способ.
Я думаю нужно делать какую-нибудь функцию "события" которая будет как-то переваривать нажатие, ставить на счетчик блок нажатия.
Но идей как это нормально сделать совсем нет.
Аноним 18/04/17 Втр 03:24:56  280740
>>280711
Штоу?
В любом случае, Ардуина с нативным USB (ATmega32u4) может выполнить самые грязные твои фантазии в качестве HID устройства.
Аноним 18/04/17 Втр 03:52:53  280742
blob (30Кб, 888x387)
blob (34Кб, 972x433)
Хочу запатентовать пару схемок, так как вряд ли такие гениальные мысли кого посещали. Нужно включать фонарь с большой задержкой, но не плавно а ВНЕЗАПНО. Оба варианта задают невъебенно большой RC так что получается линейный ramp. В первом случае при 700mv открывается bjt во втором - полевик. Второй больше деталек, но круче. В смысле более резко открывается, если правильный полевик взять. Взлетит?
Аноним 18/04/17 Втр 04:08:56  280744
>>280742
> вряд ли такие гениальные мысли кого посещали
Но зачем? Если можно сделать цифрой (даже не обязательно при помощи мк, небольшой rc-генератор + дискретные компоненты), заодно легче будет регулировать время задержки, да и точнее будет.

Ещё и про токи утечки твоего гигантского конденсатора не забывай.
Аноним 18/04/17 Втр 04:27:38  280745
>>280744
ну так то да, но в цифре все очень просто получается и никакой теплой аналоговой еботни. проклятая цифра убила душу электроники и все мигают ардуинами.
а кондер можно уменьшить раз в 5-10 и увеличить резисторы базы и коллектора до сотен килоом. 200uf и будет секунды 4-5. правда ток в первом bjt будет такой крошечный, что может не открыться надежно.
Аноним 18/04/17 Втр 05:14:55  280751
>>280742
Фигня и то и другое. К тому же нет цепи разряда конденсатора при выключении.
Нужна задержка - на CD4060 собирается копеечный таймер хоть на несколько часов, без всяких конденсаторов на 10000 мкФ.
Аноним 18/04/17 Втр 05:19:52  280752
>>280443
Там нагреватель PTC терморезистор, он сам подкидывает мощность в начале нагрева, за счет низкого сопротивления. Ничего ты с ним не сделаешь.
Бери нормальный пистолет (а не из фикспрайса) с начальной мощностью 80-90Вт, они быстро греются.
Аноним 18/04/17 Втр 05:21:07  280753
>>280496
Мало информации.
Аноним 18/04/17 Втр 05:22:41  280754
>>280541
> Теперь термоклей греется вместо за 30 секунд вместо 2 минут.
Пиздишь, однако.
Аноним 18/04/17 Втр 05:26:02  280755
>>280555
Исходная плата - пластина покрытая сплошной фольгой.
Краской защищаются места, где должны остаться дорожки, специальным раствором (рекомендую хлорное железо, им травят профессионалы) остальная медь растворяется.
Краска смывается, сверлятся отверстия, если надо. В качестве защитной краски можно использовать тонер лазерного принтера - называется ЛУТ, погугли, поютубь.
Аноним 18/04/17 Втр 05:28:16  280756
>>280751
ну да, а еще лучше ардуино.
нахуй мне целая микруха если можно обойтись парой деталек. а кондер на 200мф а не 10 тыс.
Аноним 18/04/17 Втр 05:38:27  280757
>>280756
Ну тогда делай грамотно. Использование в качестве порогового напряжения открытия транзистора Ube приведет к плаванию времени срабатывания. А у тебя там порог еще и от Ugd зависит, при том срабатывание нечеткое, время растянуто на полсекунды. говно короче полное.
А вообще CD4060 в соике с обвязкой занимает места меньше чем твой задающий конденсатор.
Аноним 18/04/17 Втр 06:00:26  280758
blob (24Кб, 881x327)
blob (24Кб, 884x329)
blob (28Кб, 981x369)
>>280757
срабатывание можно сделать каким угодно, вот например еще один полевик и йоба - 2мс. можно наверно до us додрочить.
но правда уже дохуя деталек получается. но зато забавка уровня /ra/.
Аноним 18/04/17 Втр 06:01:21  280759
>>280757
Копеечная Attiny13 вообще нихуя не занимает и обвязки не требует. Но в нее надо накодить-прошить (код чуть сложнее хелловорлда), для некоторых это тяжко.
Аноним 18/04/17 Втр 06:01:33  280760
бля, вроде удалил две картинки а оно все равно три запостило суко
Аноним 18/04/17 Втр 06:03:55  280761
>>280759
я тащемта микроконтроллеры и программирую, просто иногда хочется с аналогом/симулятором потупить. чисто для физкультурной разминки
Аноним 18/04/17 Втр 06:08:47  280762
>>280761
Ну тогда потупи с ПОС, с разрядкой конденсатора после выключения (для перезапуска таймера), со стабильностью времени от температуры.
А просто натыкать одинаковых каскадов - как-то примитивно.
Аноним 18/04/17 Втр 06:10:29  280763
>>280761
Со схемами и задачами уровня детского радиокружка ты ничего интересного не постигнешь.
Запили на дискретке какой-нибудь усилитель, что ли. С ТТХ получше. Или реализуй на аналоге+логике ШИМ для импульсного БП.
Задержка включения у него, ахуеть интересные задачи.
Аноним 18/04/17 Втр 06:24:47  280764
>>280762
>>280763
кек, ну так я на уровне детского кружка и есть. Запилил что умею :) Аналог это сложна. Но буду надрачивать.

> аналоге+логике ШИМ для импульсного БП
ну это то как раз просто (ака скучно), там же все мозги в контроллере, только обвесить / обратную связь протянуть и готовые примеры
скопипастить прямо из даташита.

у тебя сажа приклеилась на всех твоих постах. это так задумано?
Аноним 18/04/17 Втр 10:08:18  280801
>>280710
>Где добыл
На работе очевидно. Уже отнес обратно ибо нахуй оно мене надо
Аноним 18/04/17 Втр 10:50:37  280805
14919251159130.jpg (75Кб, 681x800)
Я наверно здесь самый тупой. Есть тут физики которые объяснят мне каким образом получается U= I * R , если сопротивление это противодействие току, а напряжение и ток прямо пропорциональны. То бишь если напряжение растет от сопротивления (по формуле) то и ток должен расти.
Более того непонятно как при увеличении тока увеличивается напряжение, если это "давление" на электроны
Аноним 18/04/17 Втр 10:54:19  280806
>>280805
>То бишь если напряжение растет от сопротивления
Оно не может вырасти больше, чем дает источник эдс исключаем переходные процессы.
Аноним 18/04/17 Втр 10:55:30  280807
>>280806
Ну дак по формуле все так, че за путаница выходит-то?
Аноним 18/04/17 Втр 11:01:07  280809
>>280807
че тебе не понятно?
Аноним 18/04/17 Втр 11:03:39  280810
>>280809
По формуле напряжение растет, а ток нет или вообще падает. Но зависимость тока и напряжения прямая
>Более того непонятно как при увеличении тока увеличивается напряжение, если это "давление" на электроны
Это ты не читал вообще?
Аноним 18/04/17 Втр 11:45:44  280812
>>280810
Толсто
Аноним 18/04/17 Втр 12:48:26  280814
>>280764
Это против этого пидорского треда сажа (см. оп-пик). Но не против тебя.
Аноним 18/04/17 Втр 12:50:28  280815
Screenshot2017-[...].jpeg (295Кб, 1280x720)
Радиач, нубский вопрос.
Есть один мотоцикл. У него вышел из строя датчик дроссельной заслонки - потенциометр modori precisions, 5 кОм, угол поворота 90°, из-за чего неправильно работает система управления двигателем. Прикол в том что он шел в сборе с корпусом карбюратора и отдельно никогда не продавался. Мне с трудом удалось найти поставщика, который может притаранить полный аналог этого же производителя за 8-9 тысяч деревянных, что несколько дико.
У меня есть один прецизионный потенциометр 20 кОм с углом 360 градусов. Мозг выдает 5В и на выходе потенциометра напряжение должно меняться плавно от 0 до 5В. С этим потенциометром на нужном угле поворота получается от 0 до 1,25 В.
Что если я использую операционный усилитель так, чтобы на вход потенциометра и на питающий вход усилителя подать 5В от мозга, таким образом умножить усилителем напряжение на 4. Усилитель использовать rail-to-rail, типа AD8628ARZ https://www.chipdip.ru/product/ad8628arz
Электрика мотоцикла работает от мегнетто, без аккума.
Что может пойти не так, поясни по-хардкору.
Аноним 18/04/17 Втр 12:57:02  280817
>>280815
Возьми ЛЮБОЙ другой потенциометр от ДРОССЕЛЬНОЙ ЗАСЛОНКИ похуй чего. Будут те же ~5кОм (величина не критична) и поворот 90 градусов.
Аноним 18/04/17 Втр 16:33:31  280825
>>280805
Это ты кстати на философское место наступил в формулостроении. Запись типа A=BxC вовсе не означает, что В и C порождают A. Это просто зависимость, которую можно переписать в любом из трех видов, поэтому тут нет четкой курицы и яйца - напряжение порождает ток или наоборот, или ток с напряжением "порождают" сопротивление, все это бессмысленно. Можно любой из трех параметров как исходный рассматривать. Строго говоря это не закон, а зависимость между ними. В магнетизме еще веселее - ты можешь до бесконечности жонглировать законами ампера, фарадея, B, H, L, I, R(reluctance) и тд и из одного получать, выводить другое. Тебе нужно просто привыкнуть, принять и простить.
Аноним 18/04/17 Втр 16:36:19  280826
>>280814
С пидорским тредом согласен. ОП пидор. Пришлось ОП пик скрывать adblockом но при этом не кликается тред в каталоге, хорошо он есть в закладках.
Аноним 18/04/17 Втр 17:09:14  280827
>>280825
пасиб
Аноним 18/04/17 Втр 17:29:38  280829
>>280826
гомофобы на моих двачах, нет пути
Аноним 18/04/17 Втр 17:39:00  280831
>>280829
https://sуn-сh.соm/b/res/4158858.html#4158999
Аноним 18/04/17 Втр 17:39:27  280832
>>280829
не гомофобы а всему свою место, вкус нужно воспитывать
Аноним 18/04/17 Втр 19:21:21  280848
Какой-то умник мне недавно сказал что можно регулировать только ток, посредство напряжения и сопротивления. Прав ли он? Просто не раз слышал предложение "регулировка по току" и тд. ну и резисторы по-идее тоже могут, но если их не брать в расчет то что тогда
Аноним 18/04/17 Втр 19:25:11  280851
>>280848
Реальных источников тока не существует.
Аноним 18/04/17 Втр 19:31:18  280853
>>280851
Ты хотел сказать "идеальных"?
Аноним 18/04/17 Втр 19:34:42  280854
>>280853
Нет, у реального источника тока должен быть бесконечная ЭДС.
Аноним 18/04/17 Втр 19:37:20  280855
>>280854
Да, придётся пользоваться эрзацами.
Аноним 18/04/17 Втр 20:27:57  280864
>>280825
Если ты не заметил, на ВАХ ток обычно откладывают по оси ординат и является функцией напряжения, а дебик выше зачем-то записал выражение для аргумента, которое не имеет физического содержания.
Аноним 18/04/17 Втр 20:34:48  280866
Ток - следствие воздействия напряжения. Но не наоборот.
Аноним 18/04/17 Втр 20:49:22  280867
>>280848
Сформулируй вопрос нормально
Да, ток регулируется напряжением
Аноним 18/04/17 Втр 23:03:07  280882
Безымянный.jpg (571Кб, 1279x727)
>>280740
А не важно, я уже и сам все на костылях сделал.
Хотя хочется конечно сделать обработчик событий. Но блядь там пиздец.
Аноним 18/04/17 Втр 23:19:40  280884
>>280848
Кое-где удобнее отслеживать ток, чем напряжение. Светодиод, стабилитрон там.
Аноним 19/04/17 Срд 00:10:06  280891
>>280864
Ну часто да, удобно ток представлять ф-цией напряжения, зависит от задач. Но например на даташит transimpedance amplifier который преобразует ток в напряжение, увидишь график U(I). Но это же не имеет отношения к закону ома.
Аноним 19/04/17 Срд 00:39:37  280894
>>280891
С хренали не имеет?
Зависимость между R, V и I в нем не сохраняется?
Аноним 19/04/17 Срд 00:50:03  280895
>>280894
Ну хотя бы потому что это отношение может быть нелинейным. открой даташит и посмотри.
Аноним 19/04/17 Срд 00:50:58  280896
>>280894
Зависимость между V и I там нелинейна. Т.е. переменная R (которая в данном случае будет означать динамическое сопротивление) просто не имеет смысла, поскольку меняется в зависимости от тока/напряжения.
Аноним 19/04/17 Срд 01:22:22  280898
>>280895
>>280896
Это отношение нелинейно (как минимум по времени и частоте) даже в куске медного провода, и что?

>переменная R (которая в данном случае будет означать динамическое сопротивление) просто не имеет смысла
Это смотря как понимать эту переменную. Если как некоторую имманентно присущее куску медной проволоки статическое, линейное физическое свойство, то такая хренота в любом случае имеет смысл только как умозрительное упрощение для 4 класса, даже для куска медной проволоки.
Аноним 19/04/17 Срд 01:33:35  280899
>>280898
> Это смотря как понимать эту переменную.
Понимай как хочешь, но формула R = V / I показывает, что при изменении V на ∆V, I меняется на (∆V / R). Дальше уже идут твои домыслы.
> такая хренота в любом случае имеет смысл только как умозрительное упрощение
Наконец-то ты понял. А ещё используют резисторы с допуском ±5% и конденсаторы ±10%. Но всё как-то умудряется работать. Видимо точность нинужна.
Аноним 19/04/17 Срд 01:36:08  280900
>>280898
То есть любое устройство которое преобразует ток в напряжение можно считать резистором и оно подчиняется закону ома?
Аноним 19/04/17 Срд 03:42:53  280906
Earthsucks001.jpg (100Кб, 533x800)
>>280899
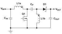
Ты забыл про R.

>Наконец-то ты понял
Это я тебе объясняю, и ты таки не понял.

>А ещё используют резисторы с допуском ±5% и конденсаторы ±10%. Но всё как-то умудряется работать
А еще используют прецизионные сборки резисторов, потому что нормирование по ТКС недостаточно, требуется еще и чтоб нелинейность ТКС была как можно более близкая. А еще есть voltage coefficient. Но им тоже всё не исчерпывается.

>>280900
>любое устройство которое преобразует ток в напряжение можно считать резистором и оно подчиняется закону ома?
Конечно. А тот "резистор", который в учебниках для 4 класса изображается прямоугольничком, сферический в вакууме элемент, имеющий мало того что только активное сопротивление, но еще и не изменяющееся ни от чего - это элемент в природе не существующий.
Аноним 19/04/17 Срд 03:45:27  280907
>>280906
> Ты забыл про ∆R.
Тогда это не закон Ома.
Аноним 19/04/17 Срд 03:46:26  280908
>>280906
>А тот "резистор", который в учебниках для 4 класса изображается прямоугольничком
Вот закон ома ровно про него
Аноним 19/04/17 Срд 03:50:35  280909
>>280906
> прецизионные сборки резисторов
Это те которые 0.1%? Что-то всё равно не выглядят особо точными.
Аноним 19/04/17 Срд 03:54:44  280910
>>280907
Отчего же? В любой, произвольно взятый бесконечно малый момент времени закон Ома выполняется, соотношение между V, I и R такое как в нем указано.
Только R в этом законе это совсем не прямоугольничек из твоей схемы за 4 класс, это да.

>>280908
Нет, не про него. А лишь про одно из множества его свойств, которое нелинейно зависит от множества факторов и даже одно оно полностью может быть описано лишь в качестве нестационарной системы - как только ты вспомнишь хотя бы про теплообмен с окружающей средой.

>>280909
Прецизионность (то есть высокая точность) требуется в разных случаях разная. Чаще важнее сколько ppm (или ppb) ТКС например (а также его изменение в процессе старения, в том числе количество часов работы пока оно устаканится), а не сферические в вакууме 0.0001%.
Аноним 19/04/17 Срд 03:57:19  280911
>>280910
> Отчего же?
Ты хоть википедию можешь осилить прочитать?
Закон Ома, в отличие от, например, закона Кулона, является не фундаментальным физическим законом, а лишь эмпирическим соотношением, хорошо описывающим наиболее часто встречаемые на практике типы проводников в приближении небольших частот, плотностей тока и напряжённостей электрического поля, но перестающим соблюдаться в ряде ситуаций.
Аноним 19/04/17 Срд 03:58:01  280912
>>280910
>А лишь про одно из множества его свойств,
Тогда бы закон ома имел форму U = I x R(t,,,,)
где R ф-ция многих переменных.
Аноним 19/04/17 Срд 03:59:19  280913
highVoltage11.png (20Кб, 573x478)
>>280909
Аноним 19/04/17 Срд 04:02:44  280914
>>280912
Сколько ж раз тебе объяснять?
Закон Ома описывает не прямоугольничек, на котором написано "10 Ом". Закон Ома описывает в букве R описывает активное сопротивление всей цепи. И его соотношение с напряжением и током.

>>280911
Любой "закон физики" это и есть эмпирическое соотношение, достаточно хорошо в рамках какой-либо теории описывающий некоторые процессы.
Аноним 19/04/17 Срд 04:03:03  280915
>>280913
>0.05%
Что-то всё равно не очень точно. Кстати, надеюсь после пайки из-за взаимодействия разных материалов его свойства не сильно ухудшатся?
Аноним 19/04/17 Срд 04:04:06  280916
>>280914
> Любой "закон физики"
Любой "закон" имеет область применения. Ты пытаешься натянуть закон туда где он не работает.
Аноним 19/04/17 Срд 04:04:24  280917
>>280915
Ты какой-то необучаемый.
Картинка призвана обратить твоё внимание сколько внимания в ТТХ типичной резисторной сборки уделено твоим 0.00Х%, и сколько - сравнительно - другим параметрам, не столь сферическим.
Аноним 19/04/17 Срд 04:05:21  280918
>>280917
И что? Всё равно резистор - неточное говно. Да ещё и непонятно как на его характеристики будет влиять пайка.
Аноним 19/04/17 Срд 04:07:08  280919
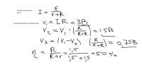
>>280917
Некоторые важнейшие параметры, например, на картинку вообще не поместились.
Такие как, например, шумы и их зависимость от частоты.
С тонкопленкой на низких частотах, например, часто очень забавные случаются вещи.

>>280918
А кто-то утверждал обратное?
И почему вдруг пайка? Позолоченные цанговые панели, например, никто не отменял.

>>280916
Кто не работает? Закон Ома не работает? Где, показывай.
Аноним 19/04/17 Срд 04:13:06  280920
>>280919
> Кто не работает? Закон Ома не работает? Где, показывай.
Закон ома не работает для нелинейных элементов. Там уже используется small signal analysis, где сопротивление бывает двух видов:
1) Статическое, которое определяется так же как и в законе ома делением падающего напряжения на ток и используется например для расчёта потребляемой мощности.
2) Динамическое, которое представляет из себя производную напряжения по току.

К закону ома это не имеет никакого отношения, последний работает для тех самых упрощенных моделей проводников (прямоугольничков) на схемах.
Аноним 19/04/17 Срд 04:16:25  280921
>>280920
Закон Ома определяет соотношение между мгновенными значениями, причем тут твои нелинейности?
Причем он определяет его так, что R собственно и определяется через I и V, это умозрительная величина.
Аноним 19/04/17 Срд 04:17:53  280922
>>280921
> Закон Ома определяет соотношение между мгновенными значениями
Ты формулы читать умеешь? Где в формуле закона ома это сказано? там написано R = V / I, а не R = dV/dI.
Аноним 19/04/17 Срд 04:20:55  280923
>>280922
Я тебе об этом и талдычу.
Какие нахрен нелинейности, не говоря уж о производных, если никаких d там нет?
Соотношение между мгновенными значениями.
Аноним 19/04/17 Срд 04:24:15  280924
>>280923
Ты совсем дурак? В законе ома никаких мгновенных значений нет. Там просто предполагают R - постоянной при любом I и V, и на основе этого делают анализ цепи.

Если R не постоянна, тогда это уже не закон Ома, хотя формула по сути остаётся той же.
Аноним 19/04/17 Срд 04:30:53  280925
>>280921
Можно даже переформулировать закон Ома понятней.
Ток в любой точке цепи в любой бесконечно малый момент времени пропорционален напряжению. Как именно они соотносятся, зависит от такого свойства цепи, которое мы можем назвать её активным сопротивлением R.
Разумеется, это умозрительное R тоже будет "в бесконечно малый момент времени", иыми словами мгновенное его значение.
Аноним 19/04/17 Срд 04:35:18  280926
>>280925
Твоя проблема в том, что ты делаешь величину R зависимой (при этом зависимой от времени), в то время как в законе ома все три величины независимы.

Даже если взять формулу R = dV/dI, в ней сопротивление остаётся величиной независимой, зато зависимой становится напряжение (причём зависимой от тока).
Аноним 19/04/17 Срд 04:37:37  280927
>>280926
> зависимой становится напряжение
Кстати, эта зависимость, т.е. функция V(I) и называется вольт-амперной характеристикой.
Аноним 19/04/17 Срд 04:41:43  280928
>>280925
>Твоя проблема в том, что ты делаешь величину R зависимой
Твоя проблема в том что ты не понимаешь что R это и есть условная величина, это просто коэффициент пропорциональности I и V для данной цепи, в конкретный момент времени.

>в законе ома все три величины независимы
Закон Ома - о том что две величины зависимы друг от друга. Это V и I.

>если взять формулу R = dV/dI, в ней сопротивление остаётся величиной независимой
А если взять формулу dR = V/dI, или dR = dV/I, то "останутся независимыми" V и I соответственно. Просто потому что ты их в этих "формулах" таковыми сделал.
А на заборе можно вообще много чего написать. И "Х", "У" и "Й" сразу станут от этого постоянными, реально существующими, стационарными, статическими физическими величинами.
Аноним 19/04/17 Срд 05:00:52  280930
>>280928
Ты не замечаешь, что вплетаешь время там, где оно не нужно. Слово "переменная" уже обозначает, что она может изменяться во времени.
> Закон Ома - о том что две величины зависимы друг от друга.
Поправка. Закон ома в том, что одна величина может быть зависима от двух других. Обычно та переменная, которая находится слева и представляется зависимой от переменных справа.
> А если взять формулу dR = V/dI, или dR = dV/I
Я надеюсь ты в курсе что производную V'(I) (или иной записью dV/dI) используют потому, что существует зависимость V(I) под названием вольт-ампернах характеристика, та самая, которая и указывается в даташите. Твои же "формулы" не имеют смысла.
Аноним 19/04/17 Срд 06:45:10  280931
megynkelly.jpg (12Кб, 241x305)
>>280930
>Ты не замечаешь, что вплетаешь время там, где оно не нужно
Конечно, это именно я уже постов 100500 рассказываю тебе про какие-то дельты, а ты мне напоминаешь про мгновенные значения.

>Слово "переменная" уже обозначает
И откуда ты это слово взял? И с чего оно там взялось?

>Закон ома в том, что одна величина может быть зависима от двух других. Обычно та переменная, которая находится слева
Вот видишь, речь идет о физических величинах.
И есть две физические величины, существование которых принимается в электротехнике объективно существующим - напряжение и ток. И третья, придуманная для того чтоб через неё выражать взаимозависимость между ними.

>производную V'(I) (или иной записью dV/dI) используют потому, что существует зависимость V(I) под названием вольт-ампернах характеристика,
Есть очень много зависимостей разных величин от других величин, условно предполагая для упрощения что все осталные величины остаются при этом неизменными. То что тебе известна только ВАХ, очень грустно.

> та самая, которая и указывается в даташите.
В каком даташите? Где нормируется только ВАХ (в конкретной схеме при конкретных и неизменных - что физически невозможно - остальных условиях и конкретном способе измерения конкретными моделями приборов, кстати)? Ну так себе элемент, могу я на это сказать.
В других даташитах нормируются другие зависимости, например спектра собственных шумов (хотя бы двух их основных типов, желательно) от частоты и напряжения - и что?

> Твои же "формулы" не имеют смысла.
Ну да, потому что кроме ВАХ ты никаких зависимостей не наблюдал. Чего проще, нагрей тот элемент, к которому у тебя в даташите ВАХ, посмотри как она поплывет.
Аноним 19/04/17 Срд 07:01:25  280932
>>280931
> Конечно, это именно я уже постов 100500 рассказываю тебе про какие-то дельты, а ты мне напоминаешь про мгновенные значения.
Только вот есть разница между изменением и зависимостью. Зависимость явно выражается в формулах. В законе Ома не указана зависимость сопротивления от времени, а значит её там нет. Конечно сопротивление может изменяться, но это будет уже за пределами этого закона. Почему ты не можешь понять такую простую вещь?
Аноним 19/04/17 Срд 07:56:12  280934
>>280932
В законе Ома нет никакого времени, он про мгновенные значения, я тебе устал уже объяснять.

> Конечно, это именно я уже постов 100500 рассказываю тебе про какие-то дельты, а ты мне напоминаешь про мгновенные значения.
Это был сарказм, сарказм.
Это ты уже заебал всех своими дельтами, которые к закону Ома никакого отношения не имеют вообще.
Аноним 19/04/17 Срд 08:04:02  280937
>>280934
> он про мгновенные значения
Нет там мгновенных значений. Всё. Точка. Прочитай что такое мгновенное значение, а потом уже и спорь. Там где закон ома используется, линейность R принимается за правило и благодаря этому можно применять некоторые виды анализа. Там где R нелинейна, закон Ома не работает и для анализа используются другие виды. Что тут непонятного?
Аноним 19/04/17 Срд 10:51:39  280952
>>280937
щито? закон ома работает всегда.
мимо
Аноним 19/04/17 Срд 10:53:11  280953
>>280952
Если сопротивление нелинейно (т.е. может изменяться в зависимости от напряжения или тока), то закон ома уже не работает. Например с диодами или транзисторами.
Аноним 19/04/17 Срд 10:58:55  280956
>>280953
хуйни не неси. нелинейность вах не означает того, что закон ома не работает.
Аноним 19/04/17 Срд 11:06:16  280958
>>280956
Означает.
Смотри, вот закон Ома: V(I) = RI, т.е. зависимость напряжения от тока - это прямая с наклоном R.

Если ВАХ нелинейна, т.е. V(I) ≠ RI, тогда R вычисляется по-другому, R = dV/dI (или R = V'(I)), т.е. насколько быстро изменяется напряжение от изменения тока. А это уже не закон ома.

Т.е. закон Ома - это частный случай, когда ВАХ линейна, а сопротивление можно находить и по-другому.
Аноним 19/04/17 Срд 11:48:34  280970
filthycasual.png (877Кб, 900x1346)
>>280958
>зависимость напряжения от тока - это прямая с наклоном
Аноним 19/04/17 Срд 11:54:39  280971
>>280937
>Нет там мгновенных значений. Всё. Точка.
Ну где же в законе Ома V(t) вместо V?

>Прочитай что такое мгновенное значение
Это очень простая штука - просто значение в конкретный момент времени.

>Там где закон ома используется
То есть везде?

> линейность R принимается за правило
Линейность может существовать на промежутке времени, в конкретный момент понятие линейности или нелинейности лишено смысла.

>>280953
>Если сопротивление нелинейно (т.е. может изменяться
Это не одно и то же. Изменяться можно линейно, а можно нелинейно. Более того, можно изменяться линейно в завимиости от чего-то, и в то же время нелинейно в зависимости от чего-то другого.

>>280958
>Смотри, вот закон Ома: V(I) = RI, т.е. зависимость напряжения от тока - это прямая с наклоном R.
Какая нахуй прямая? V это мгновенное значение напряжения, R - мгновенное значение активной составляющей сопротивления, I - мгновенное значение тока. Из одной точки ты как сумел прямую построить?
Аноним 19/04/17 Срд 11:56:29  280972
>>280971
Всё, ты подебил. Теперь иди нахуй.
Аноним 19/04/17 Срд 11:58:02  280973
ichigomashimaro[...].jpg (477Кб, 1024x768)
>>280972
И это твоя благодарность?
Аноним 19/04/17 Срд 11:58:18  280974
>>280958
очень толсто
Аноним 19/04/17 Срд 11:58:47  280975
>>280973
Мгновенно отблагодарил тебя за щёку. Проверяй.
>>280974
О, ещё один с мгновенным законом ома.
Аноним 19/04/17 Срд 12:07:07  280979
>>280975
Я не понимаю, почему бы тебе просто не поблагодарить что кто-то потратил время что бы объяснить тебе закон Ома, рассеять твои заблуждения, помочь тебе таким образом улучшить твое понимание физики и электротехники. Просто не понимаю.
Аноним 19/04/17 Срд 12:08:04  280980
>>280979
Тебе не нравится моя моментальная благодарность за щеку? Извини, другой у меня нет.
Аноним 19/04/17 Срд 12:10:08  280981
>>280980
Мне не нравится твое отношение к собственным заблуждениям и к окружающим, которые пытаются тебе помочь.
Это совершенно неконструктивно.
С таким подходом ты не сможешь продвинуться профессионально дальше ремонтника телефонов. Подумай об этом.
Аноним 19/04/17 Срд 12:12:51  280982
>>280981
А ты продвинулся, манька? Давай, рассказывай какой ты моментально-профессиональный специалист и зарабатываешь 300кк в час.
Аноним 19/04/17 Срд 12:34:45  280984
>>280981
как жаль, что кроме закона ома тут практически ни на что ответить не могут.
Аноним 19/04/17 Срд 14:40:02  280994
1.png (9Кб, 913x97)
Я правильно понял что чтобы получить максимальную частоту полевика нужно сложить все это(пик) и потом 1/t?
Аноним 19/04/17 Срд 15:12:14  280995
.png (8Кб, 791x82)
.png (11Кб, 397x320)
>>280994
Nyet. Нужно найти "Total Gate Charge" (пик 1), который в кулонах, разделить его на ток (который в амперах), который будет идти в/из затвора и получишь в секундах время срабатывания транзистора.

Но ещё лучше найти график зависимости заряда затвора от напряжения (пик 2) и подобрать заряд затвора в зависимости от того какое напряжение будешь подавать на затвор. А потом уже найти время открытия/закрытия как указано выше.
Аноним 19/04/17 Срд 15:19:28  280996
>>280995
>разделить его на ток
Но ток уменьшается по мере заряда затвора.
Аноним 19/04/17 Срд 15:22:19  280997
>>280996
Почему ты так думаешь? Ток постоянен пока затвор не зарядится, а потом равен нулю. Кстати, полученное время надо ещё умножить на два (если токи заряда/разряда одинаковы).
Аноним 19/04/17 Срд 15:30:27  280999
69.9.gif (3Кб, 481x224)
>>280997
> Ток постоянен пока затвор не зарядится
ты чо? ебан?
Аноним 19/04/17 Срд 20:31:07  281027
>>280995
В общем если кратко то чем ниже Total Gate Charge и выше ток на затворе тем выше частота?
Кстати, что за транзистор у тебя на пиках?
Аноним 19/04/17 Срд 20:31:29  281028
Я запутался кого из вас хеусосить. Я разжег срач, заявив что график не всегда рисуется как I(U) а иногда U(I) например для TIA. Но при этом это просто ф-ция U от I что нихуя не закон ома. А петушок стал кукарекать что это закон ома и есть. А я говорю какой нах закон ома, если зависимость U(I) в данном случае нелинейна. Поэтому импеданс там ф-ция многих переменных и к закону ома это отношения никакого не имеет, так как закон ома это про мгновенные значения. На что он стал мне мозги ебать коробочкой-резистором из 4 класса и еще какой-то хуетой но я пошел спать. Короч давай все сначала поясняй.
Аноним 19/04/17 Срд 21:02:11  281035
>>280995
Т.е. для полевика, например, irf630 расчет будет такой:
Qg = 35 nC http://docs-europe.electrocomponents.com/webdocs/0791/0900766b8079110d.pdf
I пусть будет 2А
0,000000035/2=0,0000000175 Сек
f = 1/0,0000000175=57142857 Гц
Так?
Аноним 19/04/17 Срд 21:28:59  281039
>>281028
Потенциал - это потенциальная энергия заряда. Разность потенциалов - это работа по перемещению заряда из одной точки в другую.
Тогда закон Ома можно сказать другими словами: разность потенциалов (на сопротивлении) равна (dq/dt) * R.
Получается что для идеального резистора работа по перемещению заряда из одного в другой конец не зависит от скорости с которой заряд перемещается. А вот почему это так, я не могу сказать, но можно привести аналогии из механики в качестве примера, для которых это правило выполняется.
Аноним 19/04/17 Срд 22:49:00  281063
>>280291
> TDA7388
Я не очень умный. Только паять умею.
Все схемы для неё на четыре канала. Мне же только два надо.
Аноним 20/04/17 Чтв 00:00:48  281088
>>281035
Это манярасчеты какие-то.
Нужно так
T= RC, C=q/u
T= R
q/U, f=1/T
где R - внутреннее сопротивление драйвера (U/2 ампера например) плюс сопротивление цепи драйвер-затвор.
Аноним 20/04/17 Чтв 00:20:18  281092
>>281088
Я немножк обосрался, Правильнее будет f=1/3T
Аноним 20/04/17 Чтв 05:59:50  281096
>>281063
Ищешь документацию на TDA7388, там есть как её четыре выхода сделать в два, но с большей амплитудной мощностью.
Аноним 20/04/17 Чтв 13:44:43  281125
Почему еще никто не придумал передавать данные током?
Ну там 1мА = 00000001, 2мА = 00000010, 3мА = 00000011 ну и т.д.
Аноним 20/04/17 Чтв 14:14:20  281130
>>281125
окей, гугол, токовая петля...
спасибо, гугол!
передача цифры током полнейший бред.
Сам подумай почему.
Аноним 20/04/17 Чтв 14:16:30  281131
>>281130
>передача цифры током полнейший бред.
>яскозал
Аноним 20/04/17 Чтв 15:42:54  281137
>>281130
Там же пиздец дохуя мелкие градации и на большие числа понадобятся нихуевые такие токи.
Аноним 20/04/17 Чтв 15:48:30  281138
>>281131
>>281130
>>281125
А что если вы все нихуя не шарите? Работаю в военке, есть один протокол хитрый (который я ебу как называется) четырехпроводной, так там информация током передается
Так то
Аноним 20/04/17 Чтв 16:12:52  281139
>>281138
У этих всегда всё через жопу.
Зато надежно типа и отечественное. И аналогов мире нет. Уже лет пятьдесят как.
Аноним 20/04/17 Чтв 16:15:31  281140
>>281137
Почему? 255 мА не так уж много.
Аноним 20/04/17 Чтв 16:20:03  281141
>>281138
Чересчур обскурно. Так-то посоны ещё в шестидесятых на Гаваях и не такое лепили.
Аноним 20/04/17 Чтв 16:55:45  281144
>>281130
>>281125
Раньше существовала эмиттерно-связанная логика, в которой были токовые входы/выходы. Наверное эта логика и сейчас была бы быстрее прочих, но слишком много она потребляет.
Аноним 20/04/17 Чтв 18:27:53  281158
>>281139
>надежно типа
Именно. Причем никто не может объяснить, почему надежнее, ХУЛИ ТЫ ПРИЕБАЛСЯ НАДЕЖНЕЙ И ВСЕ
Аноним 20/04/17 Чтв 18:40:35  281159
>>281158
Диды сделали, значит надёжнее.
Аноним 20/04/17 Чтв 18:44:17  281160
>>281138
видимо хитрость его в том что именно током передается. напряжения мы у пендосов перехватываем и расшифровыаем. а они наш ток хуй расшифруют. это очень мудро и тянет на нобелевку. но не дадут суки, потому что санкции
Аноним 20/04/17 Чтв 19:15:06  281163
14671825702510.jpg (29Кб, 316x310)
>>281160
> током передается
Аноним 20/04/17 Чтв 21:03:42  281171
>>281163
Прецизионные резисторы.
Аноним 20/04/17 Чтв 21:26:21  281173
>>281171
> Прецизионные резисторы.
> Прецизионная витуха CAT 6E
Аноним 20/04/17 Чтв 21:45:18  281175
>>281173
Ну, на небольшие расстояния передавать можно.
Аноним 20/04/17 Чтв 23:03:47  281177
14927177230080.png (6703Кб, 3840x2400)
Снизил градус гомосексуальности этого треда. Не благодарите.
Аноним 21/04/17 Птн 00:13:58  281185
>>281177
да раньше надо было. уже зашкварился тред. я его игнорирую полностью.
Аноним 21/04/17 Птн 00:22:55  281186
>>281185
Через какое время тред шкварится? через 24 часа?
Аноним 21/04/17 Птн 04:31:26  281188
>>281186
как только я забанил адским блоком этого мерзкого мужика. теперь я на этот тред кликнуть не могу, и поэтому как-будто его и нет, я его не вижу и не читаю.
Аноним # OP  21/04/17 Птн 06:51:14  281192
14482595541470.jpg (4Кб, 130x122)
>>281185
> я его игнорирую полностью.
Так игнорируешь, что через одно сообщение всем об этом напоминаешь?
мимоОП
Аноним 21/04/17 Птн 12:13:41  281199
а у lm7805 есть защита по току?
Аноним 21/04/17 Птн 14:03:49  281204
>>281199
Нет, только по температуре.
Когда же вы научитесь даташиты читать?
Аноним 21/04/17 Птн 17:51:34  281223
Посоветуйте форвардеров с Таобао.
Я охуеваю с того что там многое дешевле в два раза.
Аноним 21/04/17 Птн 17:56:20  281224
>>281223
>многое дешевле в два раза
По сравнению с чем, с али что ли?
Аноним 21/04/17 Птн 18:39:28  281229
>>281224
С Алиэкспрессом, с eBay, с оффлайном.
Аноним 21/04/17 Птн 21:08:46  281238
ахуеть, оказывается индукционная плита ферромагнетики нагревает сильнее, чем аллюминий. Я раньше думал, что в первую очередь влияет удельное сопротивление. Чем оно ниже, чем сильнее вихревые токи и больше нагрев. А тут все дело в скин-слое оказывается.
Аноним 21/04/17 Птн 21:14:12  281239
>>281192
просто для друга зашел случайно
Аноним 21/04/17 Птн 22:06:05  281243
>>281238
Кстати, о ферромагнетиках.
Давайте делать трансформаторы (а также прочие катушки) без сердечников? Так ведь лучше будет - а размер для DIY не особо важен.
Аноним 21/04/17 Птн 22:25:10  281246
>>281243
на мегагерцах и делают.
Аноним 21/04/17 Птн 23:48:15  281251
transistor stru[...].gif (16Кб, 514x509)
>>281185
>>281188
Сейчас окажется, что это мод, и что предыдущий тред висит именно по описанным причинам.
Как бы то ни было, солидарен.
Аноним 21/04/17 Птн 23:53:40  281253
>>281251
Схемка слишком упрощена.
Например, есть ли отдельный вывод подложки (у JFET или MOSFET) или он соединен с истоком? А это две большие разницы.
Так что годится только для 4 класса, рядом с моделью атома водорода где электроны "вращаются по орбитам".
Аноним 21/04/17 Птн 23:58:25  281254
>>281253
На пике одни BJT.
Аноним 21/04/17 Птн 23:59:21  281255
кег.png (105Кб, 780x373)
>>281251
Как сделать, чтобы картинка нормально открывалась? У меня какой-то лютый пиздец.
Аноним 22/04/17 Суб 00:04:49  281256
>>281255
Дать леща запостившему, использовать светлую тему оформления и убрать галку с
>Разворачивать картинки в центре экрана
в настройках.
Аноним 22/04/17 Суб 00:11:29  281258
>>281256
Спасибо, помогло.
Аноним 22/04/17 Суб 00:52:40  281261
>>281255
да просто кликать на имя файла а на не пик. у меня тогда открывается нормально в отдельном табе
Аноним 22/04/17 Суб 15:35:58  281277
>>281096
Я жопой читаю может быть, но ни в одном пдфе нет ничего про два канала. Только про четыре.
Наверно можно два не использовать, но может тогда лучше что-то другое поискать?
Аноним 22/04/17 Суб 16:07:27  281281
14887813569850.webm (239Кб, 720x576, 00:00:03)
Поясните за второе правило Кирхгофа. Вообще не понимаю как оно работает. Первое как бы осилить не сложно, а второе блджад не могу понять и все. Ну сумма падений напряжений равна сумме эдс в контуре, вроде как понятна формулировка, а почему так не понимаю
Аноним 22/04/17 Суб 16:33:31  281283
>>281281
Что тебе непонятно? Есть источник ЭДС. В контуре всегда будет суммарное падение напряжения, равное напряжению, которое создает источник.
Аноним 22/04/17 Суб 17:01:02  281286
1.JPG (176Кб, 598x425)
Анон. Напомни, зачем мне делать тонкие дорожки? Разве толстые не вытравятся быстрее? И сопротивление у них меньше.
Алсо: это не перемычки. Это компоненты. Просто, чтоб не ошибиться с количеством дыро отверстий
Аноним 22/04/17 Суб 17:37:31  281291
>>281283
>В контуре всегда будет суммарное падение напряжения, равное напряжению, которое создает источник.
Так почему?
Аноним 22/04/17 Суб 17:52:52  281292
>>281286
Низачем. Делай толстые, насколько это возможно.
Аноним 22/04/17 Суб 17:54:16  281293
>>281281
Добавь в модель внутреннее сопротивление источника ЭДС, должно все встать на свои места.
Аноним 22/04/17 Суб 20:58:48  281304
durak.webm (200Кб, 640x360, 00:00:02)
>>281291
Аноним 22/04/17 Суб 21:04:37  281305
>>281304
Быдло
Аноним 22/04/17 Суб 21:06:35  281307
>>281305
Ну что тут, сука, может быть непонятно?
Сколько дается напряжения на схему, столько схема и потребляет. Все без остатка напряжение потребляется схемой. Значит падение напряжения равно ЭДС источника.
Аноним 22/04/17 Суб 21:10:24  281309
>>281307
Вот так бы и сразу ответил. Эх как было бы хорошо жить если бы мир был без ненужных выебонов спасибо
Аноним 22/04/17 Суб 21:17:51  281310
Радач, у меня теоретический вопрос. Если я ставлю две батарейки параллельно, то они отдают такое же напряжение, что и одна батарейка, но имеют большую емкость и при сильной нагрузке могут отдать вплоть до половины ампера током? А если последовательно, то только увеличивается максимальное напряжение, а токоотдача при этом? По формуле Ома ток, выдаваемый сборкой, должен вырасти в два раза, а как при этом батарейки отдельно друг от друга выдают ток? Максимально доступный для схемы ток? Просто у меня днищебатарейки из фикспрайса и могут проседать.
Аноним 22/04/17 Суб 22:10:42  281312
>>281307
Нет, не потребляется.
Просто напряжение существует между полюсами источника ЭДС. Какое существует, такое и есть. Что там и как в схеме для напряжения неважно, хоть бесконечно малый кусок медного провода.
Аноним 22/04/17 Суб 22:11:42  281313
>>281310
>По формуле Ома
Внутреннее сопротивление батареек не забывай.
Аноним 22/04/17 Суб 22:23:05  281318
>>281310
>Нет, не потребляется.
Потребляется в кавычках.
Оно падает, т.к. на нуле источника ЭДС нулевое напряжение.
Аноним 22/04/17 Суб 22:23:28  281319
>>281318
>>281312
>
>Нет, не потребляется.
Аноним 22/04/17 Суб 22:24:18  281320
>>281319
Сука, абу пидарасина тупая, я же не кидал цитату, и постится еще хуй знает куда. говно ебаное.
Аноним 22/04/17 Суб 23:20:28  281324
>>281291
Ну смотри, первый закон – следствие закона сохранения заряда, второй – энергии.
Аноним 23/04/17 Вск 00:02:57  281328
>>281324
Ну ты в каких-то диких терминах объясняешь.
Вот кинул ты провод медный без ничего между полюсами источника ЭДС (например, батарейки) - и у тебя на куске медного провода получается "суммарное падение напряжения, равное напряжению, которое создает источник". Схренали кусок медного провода создаст падение напряжения в 12 Вольт?
Аноним 23/04/17 Вск 00:04:36  281329
>>281328
>Схренали кусок медного провода создаст падение напряжения в 12 Вольт?
Своим омическим сопротивлением. Ток будет постепенно увеличиваться и, соответственно, падение напряжения будет увеличиваться по закону I x R, до тех пор, пока падение напряжения не станет равно напряжению источника ЭДС.
Аноним 23/04/17 Вск 00:05:04  281331
Сап раданы. Есть 10 светодиодов(3-3.5В, 0.7А) хочу сделать БП для них. Есть трансформатор(30-41В, фиг знает почему скачет), диодный мост из кд202д и 2 кондера на 470 микрофарад(200В), чего ещё нужно для годного БП?
Аноним 23/04/17 Вск 00:07:54  281332
>>280133 (OP)
Поясните нюфане какие значение должны быть у кондера и трансформатора, в схеме выпрямителя с понижением с 220AC до 6 DC
Аноним 23/04/17 Вск 00:13:24  281333
DSC00906.JPG (790Кб, 1536x2048)
во какую бобину я спиздил. кило 3-5 весит
Аноним 23/04/17 Вск 00:39:54  281335
>>281328
>Схренали кусок медного провода создаст падение напряжения в 12 Вольт?
Падение напряжения создает источник, а не медный провод. Можешь соединить так батарейку, она быстро разрядится да и всё.
Аноним 23/04/17 Вск 01:00:42  281336
>>281335
Нет, источник создает ЭДС.
Аноним 23/04/17 Вск 01:07:42  281337
>>281336
Ты видишь противоречие там, где его нет. Внутреннее сопротивление батарейки будет много больше чем у провода, поэтому все будет падать на источнике.
Аноним 23/04/17 Вск 01:46:31  281338
>>280133 (OP)
> Нельзя делать имитацию схемы "заземления" , соединяя в евророзетке "нулевой рабочий" и "нулевой защитный" проводники. Нередки случаи отгорания "рабочего нуля" в щите. После этого на корпусе Вашего холодильника, компьютера и т.д. очень прочно размещается 220В
Посоны, разъясните, откуда на корпусе возьмется 220, если ноль отгорит в щите? Непонимат.
Аноним 23/04/17 Вск 01:54:57  281340
>>281333
Класс. Катушку теслы фигач.
Аноним 23/04/17 Вск 02:07:20  281341
hqdefault.jpg (41Кб, 480x360)
Анон, можешь покидать ссылок каких расходников купить для изготовления импульсных трансформаторов. Каркасы и сердечники есть (Б\У).
Аноним 23/04/17 Вск 02:11:44  281342
>>281341
Проволока медная тонкая и толстая и многожильная, скотч, изолента(желательно белая), черный маркер. Про такие вещи как паяльник, припой и т.д. я думаю писать не стоит.
ВСЕ.
Аноним 23/04/17 Вск 02:15:20  281344
>>281338
Потому что отгорит не "0", а земля.
Аноним 23/04/17 Вск 02:15:31  281345
>>281342
Чем пропитывать обмотки? Чем склеивать сердечник? Какой скотч\ленту использовать?
Я нашёл стор на Али, но там пиздец выбор хуй разберёшь чё надо.
Аноним 23/04/17 Вск 02:25:33  281346
>>281345
Ничем. Сердечник вообще склеивать не стоит, его нужно затягивать изолентой/скотчем. Скотч обычный канцелярский 15 мм, изолента 15 мм самая обычная(желательно белая чтобы черный маркер был хорошо виден).
Да и на ютубе полно инфы.
А вообще мотать трансы удовольствие ниже среднего.
Аноним 23/04/17 Вск 02:29:33  281347
>>281344
"Земли" в брежневке, например, нет. Имитируя заземления кузьмичи сажают "землю" розеток на нулевой провод. Если он отгорает в щите, откуда на корпусе подключенного прибора 220?
Аноним 23/04/17 Вск 02:30:52  281348
>>281346
Кстати самые пиздатые трансы получаются на тороидах(кольцах), но ты их заебешься без спец оборудования мотать, да и выглядеть будет откровенно хуево, зато КПД будет хороший, если "в навал" мотать не будешь.
Аноним 23/04/17 Вск 02:38:19  281349
>>281347
Если кратко то там с БП идет кондер который одной ножкой на корпус садится. Да и будет там не 220, а 110в.
Насчет того что там делают кузьмичи не знаю, я больше по радиоэлектронике чем по электрике, знаю только что которые использовали сетевой "0" как заземление через конденсатор для того чтобы их высоковольтные девайсы работали как надо впрочем, некоторые даже кондер не ставили, а кидали прямиком на батарею.
Аноним 23/04/17 Вск 04:39:13  281352
>>281348
>самые пиздатые трансы получаются на тороидах
Это настолько же глубокое, насколько и распространенное заблуждение.
Аноним 23/04/17 Вск 04:59:55  281355
По поводу трансов... мне попадались трансформаторы на распылённом железе и даже ёбы на сердечниках формы "Н".
Есть мнение что такие вещи делают по принципу "потому что могу".
Аноним 23/04/17 Вск 06:57:21  281358
>>281355
Разные делают вещи.
Кто-то потому что "могу", а кто-то знает зачем именно эту обмотку надо мотать именно вокруг этой части сердечника, и именно через неё, имеющую наименьшую индуктивность рассеяния, сливать с других каналов все пульсации.
Аноним 23/04/17 Вск 08:27:18  281360
Анон, есть 2 колонки с сопротивлением 6 Ом, как мне подобрать усилок и подрубить их к компу?
Аноним 23/04/17 Вск 09:37:37  281364
>>281337
У идеального источника нет внутреннего сопротивления
Аноним 23/04/17 Вск 09:39:57  281365
>>281310
Закон ома для участка цепи, тебе нужен для полной цепи.
Аноним 23/04/17 Вск 09:45:24  281366
>>281364
У идеального источника напряжения. У идеального источника тока наоборот, оно равно бесконечности.
Но так как обоих не бывает, можно на этом не акцентироваться.
Аноним 23/04/17 Вск 09:46:54  281367
>>281338
Нарисуй схему - три фазы, три потребителя, один ноль. Нарисуй на ней же пути тока при целом нуле и оторваном.
Аноним 23/04/17 Вск 09:49:29  281368
tumblrm57mm1lvq[...].gif (998Кб, 500x328)
Любителям симуляторов
>Вот отчёт о попытке смоделировать помехи от импульсных источников питания: http://www.yorkemc.co.uk/research/smps/apx-H-modelling.pdf
>Люди из сертифицированной лаборатории ЭМС подошли к этому очень дотошно. Они выпаяли из источника питания детальки, анализатором цепей измерили их полные сопротивления, построили Spice-модели и запаяли детальки обратно.
>И всё равно результаты моделирования отличаются от результатов измерений до 10дБ, причём в обе стороны
Аноним 23/04/17 Вск 09:56:20  281370
>>281340
Ну я и так, только детали уже полгода жду из китая
Аноним 23/04/17 Вск 10:10:08  281373
>>281364
Это потому, что в большинстве включений им можно пренебречь, но не в данном случае.
Аноним 23/04/17 Вск 10:15:59  281375
>>281373
Не знаю в каком таком случае им можно пренебречь. Если оно и в розетке-то мало того что далеко от нулевого, но и прыгает как усратый заяц. Не говоря уж про батарейки.
Аноним 23/04/17 Вск 10:51:14  281376
>>281265
Угол установки щеток может быть не перпендикулярен оси полюсов статора. И оно вроде так и есть
Аноним 23/04/17 Вск 10:55:48  281378
>>281286
Совсем толстые хуже прогреваются при пайке.
Но в принципе да, без особой необходимости делать тонкие смысл нет.
Аноним 23/04/17 Вск 10:58:44  281379
>>281331
Резистор. После выпрямителя у тебя будет вольт 50, соответственно лишние 15 нужно где-то высадить.
Аноним 23/04/17 Вск 11:01:56  281381
>>281360
1.Ходишь мимо помоек.
2.Видишь усилитель.
3.Подбираешь, подрубаешь к компу.
4. ...
5.Profit!
Аноним 23/04/17 Вск 11:14:14  281382
>>281381
У нас бомжи зачищают помойки так быстро, что ты нихуя не успеешь
Аноним 23/04/17 Вск 11:15:19  281383
>>281382
Конкурируй с бомжами, борись!
Аноним 23/04/17 Вск 11:35:50  281387
>>281360
Я бы тоже хотел усилитель к своей хуйне >>280289 но что-то советы мне нравятся пока.
Аноним 23/04/17 Вск 11:52:57  281389
Анон, как ты пользуешься мультиметром применительно к беспаечной макетке? Щупы в контактные отверстия не пролезают же.
Аноним 23/04/17 Вск 11:56:06  281390
>>281389
Используй другие щупы, ткни проводники в отверстия макетки.
Аноним 23/04/17 Вск 12:11:33  281394
>>281390
Другие щупы покупать надо (
Помогли скрепки в изоляции - вставляю в нужное отверстие и прижимаю щуп к торчащей оголенной части прямо над доской.
Аноним 23/04/17 Вск 12:49:40  281395
Знает кто-нибудь как масштабировать сигнал 5В в 3.3В с помощью ОУ?

Можно и делителем напряжения, но, вроде, с помощью ОУ стабильнее.
Аноним 23/04/17 Вск 12:50:52  281396
17-5.jpg (120Кб, 800x589)
6f71a5.png (80Кб, 596x266)
Можно ли зарядить четыре паралельно соединенных акка 18650 от одной копеечной китайской зарядки? Время зарядки не интересует, хоть пару суток.
Акки с обной ноутбучной батареи, все рабочие, заряжены до упора той же китайской приблудой до упора.
Аноним 23/04/17 Вск 13:11:57  281398
>>280133 (OP)
Начитался про влияние ЭМИ на здоровье и плету шапочку из фольги. Правда ли что оно вляиет и можно ли натренировать скилл иммунитета как-то обезопаситьс от этого влини, не покукпа шарлатанских приборов дл защиты?
Аноним 23/04/17 Вск 13:20:58  281400
>>281396
Можно конечно. Я и по 8 заряжал.
Аноним 23/04/17 Вск 13:25:20  281401
>>281398
Начни с избавления от всех импульсных преобразователей в доме и заменой их на линейные.
Конечно, они имеют меньший КПД и большие габариты, но это не критично. К тому же /ra тебе поможет сэкономить в этом. Трансформаторное железо отыскать недорого в постсоветском пространстве возможно, силовые диоды тоже, с конденсаторами немного сложнее, но например большие К50 очень недороги, даже производства Армянской ССР - и в отличие от маленьких, заметно емкости не теряют в массе своей. Силовые транзисторы и радиаторы тоже можно найти недорого, если поискать.

С портативной техникой ситуация, конечно, сложнее. Начать можно с пользования Bluetooth-гарнитурой, переведя её питание на LDO - таким образом ты сможешь таскать смартфон и саму гарнитуру (бери ту что не составляет единое целое с наушником или наушниками, а имеет гнездо для подключения провода с наушниками и микрофоном) подальше от себя - хотя бы в сумке или оюкзаке.
Аноним 23/04/17 Вск 13:40:01  281403
>>281401
>>281398
хосспади, каких только долбоебов не бывает
Аноним 23/04/17 Вск 13:42:37  281404
>>281400
И как? Жив? Зарядка не греется? Банки нормально себя чувствуют?
Аноним 23/04/17 Вск 13:45:35  281406
>>281403
Тащемта ответ был чистым сарказмом, но ты глуп и не уловил сути
мимопроходил
Аноним 23/04/17 Вск 13:52:45  281408
>>281379
у меня после диодного моста и 2 конденсаторов напряжение от 34 до 36 скачет (я переделал навесной в печатку, теперь все четко, а не на чертовых соплях), из-за того что напряжение скачет аки украинец на майдане я не могу токоограничивающий резистор подобрать, щито мне делать?
Аноним 23/04/17 Вск 13:54:32  281409
>>281408
Увеличивай емкость конденсатора.
Аноним 23/04/17 Вск 14:16:55  281412
какое максимальное давление воды сможет создать такой моторчик?
https://ru.aliexpress.com/item/1pc-Mini-Micro-Submersible-Water-Pump-DC-2-5-6V-Low-Noise-Brushless-Motor-Pump120L-H/32790059510.html
Аноним 23/04/17 Вск 14:52:35  281416
>>281404
Зарядка должна ограничивать ток. Хоть 1 хоть 100 батарей подключи, ток будет один и тот же.
Аноним 23/04/17 Вск 14:56:02  281418
at.png (126Кб, 1732x1119)
>>281412
>Maximum lift: 40-110cm
Аноним 23/04/17 Вск 15:36:15  281422
Привет.
Суть: есть блок питания обычный, то есть мост из диодов и кондёры на выходе. Вот картинка. Хлопает предохранитель FU2. Звонил диоды, все в порядке, только у VD4 сопротивление пониже остальных. Две пары больших дырок (одна прямо над FU1, вторая левее) это большие полярные кондёры на 15000мкф 63в родом аж из 1994. Проверял и их, вроде бы тоже в порядке, но это не точно. Ваши мысли?

Естественно, кондёры могли высохнуть, но разве это давало бы бОльший ток на выход соответственно через предохранитель? Насколько я понимаю, из-за этого понижается выходное напряжение, хм, может поэтому и вырастает ток?
Аноним 23/04/17 Вск 15:36:39  281423
rectodis010u.jpg (123Кб, 805x505)
>>281422
Отклеилось.
Аноним 23/04/17 Вск 16:42:58  281425
Подскажите программку которая могла бы генерировать звуковые импульсы определенной частоты через определенные промежутки времени.
Аноним 23/04/17 Вск 18:30:22  281432
>>281406
Не был.
Аноним 23/04/17 Вск 19:01:49  281436
Глупый вопрос но всё же: разобрал сегодня свои наушники, обнаружил, что сопля тянущаяся через оголовье от левой чашки к правой в одном месте перебита и торчит жилами наружу странно как не замыкает друг на друга сами жилки тоньше чем из пизды волосок, авг 28 или даже меньше судя по штангенциркулю, мультиметр показал сопротивление 47.5 ом на левую чашку и 48 на правую.
Собственно вопрос - могут ли влиять эти пол ома на синхронность каналов? И как лучше поступить: засверлиться в правую чашку и прокинуть провод напрямую к динамику или не ебать мозги и кинуть новую соплю?
Аноним 23/04/17 Вск 20:51:04  281442
DOC002037124[1].jpg (25Кб, 600x436)
Котаны, прошу помощи. Особо не интересовался радиоэлектроникой, но сейчас обстоятельства заставляют заюзать повышающий dc-dc преобразователь. Эта йоба на пике. Читал даташит, но так и не понял как же его использовать. Нужно дополнительно какие-то элементы подпаивать к его ногам? Поясните обезьяне, которая просто хочет подать питание на него и с него подавать уже дальше.
Аноним 23/04/17 Вск 20:52:55  281444
>>281442
Поясняю: купи готовый модуль на Али.
Аноним 23/04/17 Вск 20:56:29  281445
Анон, нужна микросхема RTS0072B. В интернет магазинах, даже зарубежных и СНГшных, ее уже нету. Есть ли какой-то прибор звуковуха, материнка или что еще, откуда ее можно позаимствовать? Али не вариант. Не спрашивайте почему.
Аноним 23/04/17 Вск 20:59:50  281446
>>281436
Кидай зигу соплю.
Аноним 23/04/17 Вск 21:09:06  281448
>>281444
Время поджимает, к сожалению. О каком модуле ты говоришь?
Аноним 23/04/17 Вск 21:10:08  281449
>>281448
XL6009. Они самые дубовые\неубиваемые.
Аноним 23/04/17 Вск 21:10:17  281450
>>281442
Как минимум катушка индуктивности тебе нужна.
Аноним 23/04/17 Вск 21:10:54  281451
cMDOoTTLON4.jpg (78Кб, 680x754)
Аноны. Выручайте. Дайте современный доступный аналог 2n5457 нубу для пайки махарайки. Чтобы можно было купить в украшке Нихуя не понял из гугла.
Аноним 23/04/17 Вск 21:13:36  281452
>>281450
да не абы какая а конкретно подходящая. у меня вот нихуя такая хуйня не взлетела а катушек я перебрал достаточно все две что были
Аноним 23/04/17 Вск 21:15:25  281453
>>281449
Смог нагуглить, что на полтора вольта их не бывает, блджад

>>281452
У тебя была похожая задача?
Аноним 23/04/17 Вск 21:17:54  281454
>>281453
была похожая задача... ты попроще изъясняйся лол. так говоришь будто повышающий дс-дс это невидаль дикая и встречается раз на миллиард схем
Аноним 23/04/17 Вск 21:18:35  281455
>>281454
Лол, ну мало ли к чему ты их подбирал. Я ведь не шарю совсем
Аноним 23/04/17 Вск 21:20:18  281456
>>281455
>>281453

а я смог нагуглить что на полтора вольта их бывает, блджад и вот даже первая сверху ссылка ты не поверишь

http://www.ebay.com/itm/DC-DC-1-5V-35V-Adjustable-Boost-Buck-Step-Up-Down-XL6009-Converter-Module/192019886845
Аноним 23/04/17 Вск 21:23:22  281457
>>281456
Долблюсь в глаза, спасибо, анон. Постараюсь завтра найти в своей мухосрани
Аноним 23/04/17 Вск 21:24:36  281458
Мелкобуква пиздит. Он школьник и только и умеет что гуглить.
Аноним 23/04/17 Вск 21:25:40  281459
>>281457

а вот в мухосрани ты их как раз таки вряд ли найдёшь в варианте как ты выразился "просто подать питание на него и с него подавать уже дальше"

реальнось такова что порой мухосранью в этом плане можно считать и всё что не ДС/ДС2

>>281458
в чём я спиздел, киса?
Аноним 23/04/17 Вск 21:28:03  281460
>>281459
Да, в моих ебенях можно найти только на 4 вольта, бля. Я готов, в общем-то припаять и необходимое все к той маленькой хуете, но не нашел ни одного гайда как вообще делать что то подобное
Аноним 23/04/17 Вск 21:30:54  281461
>>281460
не нашёл гайда "как паять"? берёшь паяльник макаешь в канифоль, потом в припой, потом тыкаешь в место соединения проволочек ну и всё такое
Аноним 23/04/17 Вск 21:36:46  281463
>>281461
C этим я разобрался, лол. Не могу всосать с этими всеми сопротивлениями, индуктивностями, которые нужно к ногам припаивать
Аноним 23/04/17 Вск 21:38:14  281464
>>281463
а чего с ними всасывать то? смотришь по схеме, берёшь нужную детальку, припаиваешь куда нужно.
Аноним 23/04/17 Вск 21:49:57  281465
blob (3Кб, 234x97)
blob (4Кб, 114x118)
Фаст хелп нуфане
Чем отлисается пик 1 от пика 2 ?
Аноним 23/04/17 Вск 21:51:56  281466
Хочу собрать регулятор оборотов вентиляторов для пеки, а то она впустую пыль сосёт в простое.
Купил коннекторы, транзисторы, атмеги, и, сука, датчики температуры.
Три раза заказывал LM35, у разных продавцов, разными количествами, каждый раз приходят затёртые наждачкой перемаркированные NPN транзисторы.
Какие ещё датчики температуры можно подключить к атмеге? Нужно штуки 3-4, наверное.
Аноним 23/04/17 Вск 21:52:31  281467
>>281465
Пик 1 - Неполярный конденсатор. Обычно плёночный или керамика. Маленькая ёмкость.
Пик 2 - Полярный конденсатор. Обычно "банка". Огромная ёмкость.
Аноним 23/04/17 Вск 21:52:47  281468
blob (18Кб, 810x116)
>>281465
это вот такой конд, да?
22п - пикафарада?
Аноним 23/04/17 Вск 21:53:26  281469
>>281467
понял, спс
Аноним 23/04/17 Вск 21:53:34  281470
>>281466
Резистивные термопары.
Аноним 23/04/17 Вск 21:54:59  281472
>>281470
Ну это какие-то древние технологии. LM35 откалиброваны на заводе.
Аноним 23/04/17 Вск 21:57:54  281473
>>281468
на первых двух картинках там справа u то есть микро а значит слева скорее будет латинская n то есть НАНО а не пико
если обе картинки с одной схемы конечно же
Аноним 23/04/17 Вск 22:09:34  281474
blob (75Кб, 856x555)
blob (8Кб, 297x93)
>>281473
схема

И еще вопрос:
какие резисторы брать: маломощные или мощные?
В схеме крона - 9V и, если верить гуглу, 0.1 А = 0.9W т.е. мне нужны маломощные резисторы?
Аноним 23/04/17 Вск 22:12:38  281475
>>281474
а еще тут у Р2 просто 500, что это?
Аноним 23/04/17 Вск 22:16:31  281476
>>281474
да ты же ГИТАРАСТ
то что на схеме n это нано всё таки.
резисторы да, маломощные.

>>281475
все Р в схеме это крутилки. в омах. 20k - 20 килоом. если буквы нет то 500 - просто пятьсот ом

сустейнер блять! фузз бы спаял для начала
Аноним 23/04/17 Вск 22:23:52  281477
>>281476
ну это пока самое простое что можно собрать, как мне показалось. За исключением драйвера, хуй знает как буду его пилить
Аноним 23/04/17 Вск 22:40:44  281478
blob (98Кб, 1196x587)
>>281474
на 22n нету обычной керамики, есть только такая микро-залупа, которую я хуй припаяю, мб можно чем-то заменить? Мб подстроечным?
Аноним 23/04/17 Вск 22:44:28  281479
>>281478
да каким подстроечным не еби мозг плиз. ты не радио паяешь а говно до 20 кгц. нет 22 нано - бери любое около. хоть 22пико хоть 1микрофарад ебани разницы не заметишь на своём говнокомбике лол
Аноним 23/04/17 Вск 22:48:00  281481
blob (98Кб, 1196x587)
blob (111Кб, 872x330)
>>281479
>говнокомбике

Не пизди, у меня тут целая коллекция
Аноним 23/04/17 Вск 22:51:53  281482
>>281481
ну это вообще! чёж ты в этой говнопроге сустейнер не подключишь тогда такой же картиночкой на экране а паять решил?
Аноним 23/04/17 Вск 22:53:41  281483
>>281482
сустейнер который колеблет струну, а не педаль-компрессор
Аноним 23/04/17 Вск 22:56:52  281484
>>281483
клёво. ну и куда в таком случае у тебя выход с операционника будет идти? тот что на схеме OUT справа внизу
Аноним 23/04/17 Вск 22:58:49  281485
>>281484
На драйвер мб
http://guitar-gear.ru/2016/sustainer/
Аноним 23/04/17 Вск 23:08:44  281486
>>281485
так и знал. идейка гиблая изначально. чтобы это понять предлагаю тебе найти дома охуенно здоровый магнит, самый большой что найдёшь вообще и поприближать его к своим струнам. заметить расстояние с которого струна начнёт хоть чуть чуть отклоняться если вообще начнёт лол и запомнить это. потом положить этот охуенно большой магнит перед собой и рядом положить свою пиздюлинку которую ты паяешь. вместе со всем обвесом и с кроной. и подумать сможет ли она создать хотя бы в половину, хотя бы в четверть такой же силы магнитное поле как этот магнит.
Аноним 23/04/17 Вск 23:10:59  281487
>>281486
у чувака на видосе всё ок же
Аноним 23/04/17 Вск 23:13:45  281488
blob (123Кб, 963x769)
blob (124Кб, 1039x749)
>>281474
Верно понабрал хоть?
Аноним 23/04/17 Вск 23:17:05  281489
>>281488
да вроде верно

>>281487
не вижу никаких видео в статье по ссылке. в любом случае, бесконечно рад за того чувака, что у него "всё ок"
Аноним 23/04/17 Вск 23:17:56  281490
>>281489
На ютубе 'Самодельный сустейнер'
Аноним 23/04/17 Вск 23:26:21  281491
>>281490
красота. но всё равно не взлетит
Аноним 24/04/17 Пнд 00:12:33  281497
149295897315397[...].jpg (61Кб, 450x800)
Анон, чем смочить бумажку вместо спирта, что б тонер лучше отходил?
Няшу тебе, анон.
Аноним 24/04/17 Пнд 00:19:32  281498
>>281497
Правильно, а спирт выпить.
Аноним 24/04/17 Пнд 00:29:29  281499
>>281497
Железной губкой для посуды.
Аноним 24/04/17 Пнд 00:31:31  281500
>>281497
Бензином, растворителем. Или не травить себя и отскребать тонер при помощи Visa Gold или кусочка текстолита — что под рукой окажется.
Аноним 24/04/17 Пнд 00:47:29  281502
>>281498
>>281499
>>281500
Нет. До этого.
Блин.
В прошлый раз, я протер текстолит наждаком, помыл с мылом, положил сверху бумажку с рисунком, капнул спирта и прижал утюгом.
Сейчас я не могу светить литрухой чистого спирта перед отцом, ибо… Нельзя короч. Чем смочить перед переносом?
Аноним 24/04/17 Пнд 00:52:57  281503
>>281502
Ничем. Зачем капать спиртом перед переносом?
Аноним 24/04/17 Пнд 01:02:43  281505
>>281502
Берешь текстолит.
Моешь под краном тёплой водой с мылом.
Сильную грязь отмываешь губкой.
НИКАКОГО НАЖДАКА. Забудь блядь про наждак.
Потом макаешь текстолит на 10-15с в хлорное железо.
Спаласкиваешь водой и протираешь сухой тканью.
И под термоперенос.
Аноним 24/04/17 Пнд 01:33:19  281506
>>281505
Что не так с наждаком?
А если у меня персульфат аммония? Или тут не принципиально?
Аноним 24/04/17 Пнд 01:36:59  281507
>>281503
> Ничем. Зачем капать спиртом перед переносом?
Размочить бумажку и облегчить термоперенос. Чувак в ютубе так сказал.
Аноним 24/04/17 Пнд 03:33:46  281509
12981326.jpg (2Кб, 200x133)
>>281381
Что же ты делаешь содомитю
Аноним 24/04/17 Пнд 03:35:22  281510
13015200.jpg (3Кб, 188x200)
>>281387
> но что-то советы мне нравятся
Жри чё дают!
>>280291-кун
Аноним 24/04/17 Пнд 07:23:38  281517
>>281360
Бери тда 7057, она даже от юсб при +5В будет работать.
Аноним 24/04/17 Пнд 07:45:25  281519
Тогда уж pam8403, чё мелочиться.
Аноним 24/04/17 Пнд 08:03:25  281520
>>281517
>>281519
TDA2822
Аноним 24/04/17 Пнд 10:05:28  281526
>>281505
лол, без обработки наждачкой у тебя нихуя не перенесется.
Аноним 24/04/17 Пнд 10:27:00  281527
Мелкобуква уже заебал хуйню нести. Весь тред засрал.
Аноним 24/04/17 Пнд 10:38:00  281528
>>281527
Таблетки принял?
Аноним 24/04/17 Пнд 10:52:43  281529
>>281526
хуйню сказал.
Аноним 24/04/17 Пнд 11:08:20  281530
>>281529
нет, ты.
Аноним 24/04/17 Пнд 12:30:27  281532
>>281519
У 7057 4,5-18В напряжение рабочее и мощность соответственно подобрать можно больше-меньше.
Аноним 24/04/17 Пнд 13:26:11  281536
blob (120Кб, 914x444)
Повторно срабатывает реле, не всегда, от коммутации лампы, от искры на контактах, как я понимаю. Также от любой другой малейшей искры при включении бытовых приборов, но это не страшно, так как оно само себя задрачивает по несколько раз к ряду. Как бороться, что изменить в схеме?
Аноним 24/04/17 Пнд 14:59:27  281541
Screen Shot 201[...].png (27Кб, 554x288)
Анон, помоги с EasyEDA. Хочу сделать симуляцию фильтра - не работает. Пишет:

Circuit: gooduntitled
Doing analysis at TEMP = 27.000000 and TNOM = 27.000000
Warning: v1: no DC value, transient time 0 value used
Initial Transient Solution
--------------------------
Node Voltage
---- -------
volprobe+ 8.4
v1#branch -0.0084
No. of Data Rows : 1008
ngspice-26 done

Хз в чем дело, задал генератор Amplitude=8.4, DC offset = 8.4. Где графики?
Аноним 24/04/17 Пнд 15:54:50  281546
Расскажите про источники тока. Пишут что идеальный источник выдает строго фиксированный ток, а в реале как все обстоит? И напряжение выдаваемое им получается вообще не имеет никакого значения?
Аноним 24/04/17 Пнд 15:57:55  281547
>>281546
>Пишут что идеальный источник выдает строго фиксированный ток
так точно. Напряжение меняется в зависимости от сопротивления нагрузки.
>а в реале как все обстоит?
а в реале, источник имеет внутреннее сопротивление. И диапазон выдаваемых напряжений ограничен.
Аноним 24/04/17 Пнд 16:04:14  281548
>>281547
Я, если честно, так и не понял чем он отличается от источника эдс. Та же коробка, в которой ток зависит от сопротивления нагрузки и напряжения
Аноним 24/04/17 Пнд 16:06:30  281549
>>281548
в источнике эдс меняется и напряжение и ток. В источнике тока меняется только напряжение.
Аноним 24/04/17 Пнд 16:44:37  281554
бляя, я заебался ждать детали с али, пиздец какой-то. и хуй чо сделаешь, заказ то не отменишь, а платить еще раз за те же детали чтобы заказать в чипдипе не хочется
Аноним 24/04/17 Пнд 17:16:13  281557
>>281554
ну ты сэкономил. Радуйся.
Аноним 24/04/17 Пнд 17:35:06  281558
>>281554
ты че, ебанутыый? ты шо там заказывал? 148888 резисторов?
Аноним 24/04/17 Пнд 18:22:36  281560
blob (681Кб, 744x659)

Имеется от старого телевизора СОКОЛ приёмник ИК диапазона или что это?
А также пульт. Как из этого спаять можно датчик движения? То есть, чтобы он отключался, когда светодиод что-нибудь перекрывало бы. С фоторезистором примерно знаю схему, а тут хз.
На корпусе чёрной хуйни написано что-то вроде 19 240 1836 3v
Аноним 24/04/17 Пнд 18:37:33  281561
>>281560
Хотя почитал, вроде бы гиблая затея, а датчик хочется. Ладно, похуй.
Аноним 24/04/17 Пнд 19:39:58  281566
Нормальные люди ведь сначала сверлят, а потом лудят, да?
Аноним 24/04/17 Пнд 20:00:04  281567
>>281566
А толку? Металлизированное отверстие так все равно не получишь. Зато лудило будет цепляться за дырки и класть припой неровно.
Аноним 24/04/17 Пнд 20:20:06  281569
>>281566
Нормальные люди либо делают на макетке (где китайцы переходных отверстий наделали с избытком и качественно) - когда нужен ровно один экземпляр. Либо заказывают партию плат, когда нужно много. Либо навесным, когда токи или частоты побольше.
Аноним 24/04/17 Пнд 21:13:50  281576
>>281569
>на макетке
эхх, щас бы сделать кусок говна на макетке с кучей соплей и удивляться что нихуя не работает
Аноним 24/04/17 Пнд 21:56:17  281578
>>281576
Схреналибы?
Аноним 24/04/17 Пнд 22:17:27  281580
>>281566
а разница?
>>281569
как правило эти люди дальше макеток никуда не идут.
Аноним 24/04/17 Пнд 22:37:31  281581
>>281567
>>281580
Давай перефразирую. Как правильно? Сначала лудить или сначала сверлить?
Аноним 24/04/17 Пнд 22:46:09  281582
>>281541
Добавь внутреннее сопротивление для конденсатора. Пусть даже ничтожно маленькое.
Аноним 24/04/17 Пнд 23:06:35  281584
Радианы, хелп.
Имеем микруху хххЛА3 (2И-НЕ, 1 на выходе только при обоих нулях на 2 входах, 0 при всех остальных случаях). На входах по +5В, т.е. на выходе - 0. Берем и убираем с одного из входов +5 вольт. Убираем то есть вообще убираем - вход повисает в воздухе. Что будет на выходе?
Интересует для КМОП 1533ЛА3 серии, но пойдет и ТТЛ 155ЛА3.
Аноним 24/04/17 Пнд 23:12:00  281585
>>281584
Сука! Проебался с описанием.
2И-НЕ это когда 1 на выходе при входных 00, 01, 10.
0 на выходе при 11 на входе.
Вопрос в силе, что будет, если один из входов (на другом +5) повиснет в воздухе.
Аноним 25/04/17 Втр 00:23:24  281587
>>281585
> Проебался с описанием.
Опять проебался.
2И-НЕ когда на выходе 1 при 0 на любом из входов.
Аноним 25/04/17 Втр 00:25:31  281588
>>281585
> что будет
То же самое как если бы на висящем входе 1. Это ко всем ТТЛ относится.
Аноним 25/04/17 Втр 00:35:16  281589
>>281587
Бля.
>>281588
А помехозащищенность?
Аноним 25/04/17 Втр 00:42:27  281590
>>281589
Помехозащищенность идёт лесом.
Аноним 25/04/17 Втр 02:22:56  281591
>>281582
А как добавить? Как вообще физические параметры редактировать? У меня только название и метка.
Аноним 25/04/17 Втр 06:09:16  281596
>>281422
Как видно предохранитель стоит между выходом источника и нагрузкой. Значит у тебя где-то в нагрузке пробой или перегруз, а БП не при чем.
Что за мода - не включать аналитическое мышление?
Аноним 25/04/17 Втр 06:19:24  281597
>>281536
Подстроить подстроечник 1.5М в сторону уменьшения сопротивления (увеличить таким образом гистерезис компаратора).
Аноним 25/04/17 Втр 06:21:52  281598
>>281566
Да. После сверления все равно надо пройтись шкуркой, снять заусенцы. На залуженной плате этого уже не сделать.
Аноним 25/04/17 Втр 11:08:46  281605
>>281558
все электронные компоненты там заказываю
>>281557
ну да, просто чет нихуя не приходит
Аноним 25/04/17 Втр 11:52:55  281609
Нужно устройство, которое будет не сильно ударять по батарее каждые 5 секунд. Как сделать?
Аноним 25/04/17 Втр 13:06:43  281612
>>281609
решил заняться наказанием батарейсоседей?
Аноним 25/04/17 Втр 14:57:17  281621
>>281612
Да нужно бы воспитать животных.
Есть идеи?
Аноним 25/04/17 Втр 15:09:39  281623
>>281621
идеи то есть, но мне кажется, нужно для начала воспитать себя. мммм?
Аноним 25/04/17 Втр 15:11:19  281625
>>281623
Зачем? Я же не мешаю никому.
Аноним 25/04/17 Втр 15:12:11  281626
>>281625
но ты хочешь мешать же.
А как мешают тебе?
Аноним 25/04/17 Втр 15:14:50  281627
>>281626
Не дают спать, круглосуточная долбежка, ни отдохнуть ни хуя
Аноним 25/04/17 Втр 15:20:19  281628
>>281627
ну так сходи и дай им в пыщло. Позвони ментам. Завари им дверь и выруби свет. Зачем по батарее то стучать? Тебя же весь стояк слушать будет.
Аноним 25/04/17 Втр 15:23:30  281629
>>281628
Щас бы садиться на бутылку за порчу имущества.
А ментам они не открывают.
Аноним 25/04/17 Втр 15:28:35  281630
>>281629
ну если ты такой смелый, что не можешь отстоять свое право на тишину - сиди стучи по батарее.
Аноним 25/04/17 Втр 15:31:29  281631
>>281630
Блять, съеби уже в /b/, даун. Всем похуй на твое мнение, здесь обсуждаются технические решения.
Аноним 25/04/17 Втр 15:35:35  281632
>>281631
если я съебу, то здесь некому будет отвечать на вменяемые вопросы. А придурков, любящих постучать по батарее, я не люблю. Это факт. Ты еще мусор к их двери ставь, болезный.
Аноним 25/04/17 Втр 15:49:53  281633
>>281632
Поставил тебе за щеку, проверяй.
Аноним 25/04/17 Втр 17:01:46  281641
l-music-1.jpg (729Кб, 2992x2165)
Сап, радиач. Перед вами тупой студент, которому надо сделать курсач. Задача такова: светомузыкальная установка, в которую будут входить 3 куска светодиодной ленты (3 разных цветов), электретный микрофон CMA-4544PF-W, который будет получать собственно сам сигнал с колонок и микроконтроллер ардуино (да-да, для дебилов, которые не могут в нормальные контроллеры). Лента должна светиться всеми цветами, аки твоя новогодняя елка под музыку. Как это нормально реализовать? Что еще дополнительно потребуется кроме вышеперечисленного (мозги не предлагать, их у меня все равно нету)? Мб, кто-нибудь пилил нечто подобное и может покидать ссылок каких полезных?
Аноним 25/04/17 Втр 17:11:55  281642
>>281641
ты не только тупой но и ленивый. Погуглить "ц/светомузыка на ардуино" не судьба?
Аноним 25/04/17 Втр 17:44:26  281645
>>281641
А ардуины хватит для частотного анализа (FFT)?
Аноним 25/04/17 Втр 17:45:39  281646
>>280133 (OP)
Раз написано нихуя не создавать тред, похуй, пишу в твоём треде, умник блять. Вопрос такой. Деревня 5 км от мухосранска, смартфон не ловит сеть от слова совсем. В мухосранске 3джи. Деревня в яме. Сколько метров надо запилить мачту, чтобы словить 3 джи на внешнюю антенну роутера? Если никто не ответит все пидоры.
Аноним 25/04/17 Втр 17:50:54  281647
>>281646
вопрос достаточно сложен. Проще проверить экспериментально. Из моего опыта - до ближайшей вышки 11км напрямик, местность холмистая. Устойчивый прием3 палки получился, когда я затащил на сосну направленную антенну из ведра. Высоты там метров 7 примерно.
Аноним 25/04/17 Втр 17:52:41  281648
>>280289
С динамиком от Романтики усиливать звук тда? Мож всё таки на транзюках че-нить спаяешь? Если хочешь быстро и просто, собирай обвязку для тда 2050 или 2030а на кусочке текстолита, в цепочке против самовозбуда ставь резистор ом 10-20, а не как в даташите 1, иначе самовозбуд захуярит, в делителе (если схема однополярная, но ты же не изввращенец, двухполярную схему для тдашки мутить) ставь резисторы примерно 15к, максимум 20к, против 100к в даташите, иначе средняя точка на выходе куда-нибудь уплывёт. Других проблем быть не должно, собирал схему раз 30. Только держись подальше от богомерзких тда 2003. Они говно.
Аноним 25/04/17 Втр 17:55:42  281650
>>280133 (OP)
Ещё поракую немного. Можно ли переделать коммутатор карбовой девятки, чтобы на выходе въебать тиристор вместо транзистора. А то этот транзистор у меня сгорел однажды в два часа ночи далеко от дома. А в мото тиристоры ставят и норм, не сгорают вааще никогда.
Аноним 25/04/17 Втр 17:56:46  281651
>>281641
>микроконтроллер ардуино
Это не микроконтроллер, а серия отладочных плат со своей средой разработки.
По моему для такой задачи применение микроконтроллера может оказаться не целесообразным.

>>281645
Для этого не требуется делать БПФ по тысячам точек и для всех отсчетов сигнала, так что хватит. С тем же успехом можно сделать набор ФНЧ 1-ого порядка.
Аноним 25/04/17 Втр 17:58:47  281652
>>280556
Берёшь 100500 советских плат, выпаиваешь резисторы, плёнку и переключатели. Все так начинали, не?
Аноним 25/04/17 Втр 18:02:17  281655
>>280571
заниматься механикой без теории - полная хуйня. Пока не научился считать Лагранжиан и поправки на эффект замедления времени, браться за напильник, чтобы снять фаску с детали, нет никакого смысла.
Аноним 25/04/17 Втр 18:02:56  281656
>>281650
Нет, нельзя. Тиристорные и транзисторные системы работают с существенно разными катушками зажигания.
Поставь нормальный транзистор и забудь.
Аноним 25/04/17 Втр 18:10:32  281657
>>280595
Аппаратура для радиосвязи, звукоусиления и вычислительных машин на лампах и полупроводниках технологически отработана. Что нового ты собрался изобретать, мамкин изобретатель? Механические программируемые машины? Они уже изобретены, луркай машина Жаккарда. Но это как бы не к радиотехнике.
Аноним 25/04/17 Втр 18:12:00  281658
>>280605
Двачую, книги 50х-70х самые толковые.
Аноним 25/04/17 Втр 18:17:04  281659
>>280805
Не путай причину со следствием. Это ток бежит, так как его толкает напряжение. Ток порождается напряжением. Можно конечно перейти к другой системе координат и как бы получить ток, но мы сейчас не об этом же. Рассматриваем задачу в рамках покоящейся электрической цепи.
Аноним 25/04/17 Втр 18:18:40  281660
>>280805
Это как если я сдам экзамен, то я выпью вина. Следовательно, если я не выпью вина, то я не сдам экзамен.
Аноним 25/04/17 Втр 18:26:05  281661
>>281310
Двачую, учитывай внутреннее сопротивление батареек, и всё будет заебись. А определить его можешь экспериментально по той же формуле, снимая с цепи напряжение и ток с несколькими разными нагрузками.
Аноним 25/04/17 Втр 18:28:04  281662
>>281360
Паяй усилок сам, очевидно же. Мощность динамиков читай на динамиках, а не на колонках.
Аноним 25/04/17 Втр 18:31:23  281663
>>281436
Я бы полностью заменил провода внутри наушников. А то и до разъёма. Если провода изолированы лаком, он убирается зажигалкой. Но аккуратно, провода тонкие плавятся.
Аноним 25/04/17 Втр 18:36:47  281664
>>281652
>2018
>100500 советских плат
Аноним 25/04/17 Втр 18:42:25  281665
>>281664
Ты просто места не знаешь. В совке так дохуя радиодеталей наделали, что некоторые магазины до сих пор ими торгуют. Сталкеруй по заброшенным/полузаброшенным зданиям, я так дохуя кварцевых и плёночных конденсаторов нашёл, и несколько годных корпусов не надо, полученный результат не стоит затраченных сил
Аноним 25/04/17 Втр 19:01:55  281666
>>281665
Я хз, нашу мухосрань застроили новостройками, никаких заброшек не осталось.
Аноним 25/04/17 Втр 20:16:06  281668
Как легче всего сделать проводной интерком? (Нужно связать две постройки на даче голосовой свзью.)
Аноним 25/04/17 Втр 20:27:45  281669
>>281668
купи 2 самые дешевые рации.
Аноним 25/04/17 Втр 20:31:45  281670
>>281669
Нужно именно по проводу, из-за геометрии радиосвязь крайне паршивая выходит. Между двумя подвалами-то.
Аноним 25/04/17 Втр 21:14:33  281673
>>281670
микрофон-усилитель-динамик
обратно так же (только кнопку поставь, а то получится обратная связь)
Аноним 25/04/17 Втр 21:24:43  281674
K.PNG (79Кб, 1151x698)
>>281673
Как-то так?
Аноним 25/04/17 Втр 22:23:13  281676
Привет, анон. Такое дело. У меня недалеко от работы, на остановке поставили вай-фай точку. Остановка находится недалеко от моего окна. В метрах 400.


Как мне забюджетно усилить сигнал и подключиться к ней?
Аноним 25/04/17 Втр 22:48:51  281677
Что сажешь по поводу сверлилки? Питать буду телефонной 2А зарядкой с ножной педалью.
http://www.ebay.com/itm/262800893117
Аноним 26/04/17 Срд 00:09:54  281678
>>281648
> 2030а
Как же это говно свистит и греется от самовозбуда!!!
> тда 2050
Вместо первого говна ставил. Можно и тда2040.
Аноним 26/04/17 Срд 03:09:09  281683
>>281648
Там написано что нужно питание плюс и минус. У меня в комплюкторе только +12 есть. Отдельный блок питания делать не будут.
Аноним 26/04/17 Срд 05:12:52  281684
>>281677
хуета. Балансировка дерьмо и 0.5мм сверла рассверливают 0.7мм отверстия.
Хуета. Движок говно.
Нужна сверлилка? - не жопься и купи дремель (баланс в строну мощности) или проксон (баланс в сторону точности). Хорошая вещь прослужит тебе е один год и пригодится во многих делах
Аноним 26/04/17 Срд 05:13:50  281685
>>281676
гугли биквадрат wi-fi
Аноним 26/04/17 Срд 10:38:47  281689
В гитартреде одно быдло, мб тут шарит кто-то:
На кой хуй катушку звукоснимателя и сердечники заливают парафином?
Менял сердечники т.к. хотел другой цвет (они выкручиваются как винты), новые парафином не заливал - разницы нет.
Аноним 26/04/17 Срд 11:09:56  281693
>>281689
>заливают парафином?
Чтобы не орали.
Аноним 26/04/17 Срд 11:11:03  281694
>>281689
Потому что провод с током, находясь в переменном магнитном поле, вибрирует. Физика 8 класс.
А зальешь парафином, свечку в храме поставишь и сразу перестают витки тереться, микрофонный эффект пропадает. Рок да благодать...
Аноним 26/04/17 Срд 11:25:06  281697
>>281694
какой нахуй провод, довен? стучат половины сердечника, потому что он перемагничивается.
Аноним 26/04/17 Срд 12:08:43  281699
Сап анон, может кто-нибудь помочь объяснить как подключить эпру?
Аноним 26/04/17 Срд 13:01:19  281703
>>281697
>довен
Как интересно с тобой дискутировать, пиздец просто.
Аноним 26/04/17 Срд 13:02:26  281705
>>281699
На корпусе нарисовано
Аноним 26/04/17 Срд 13:03:03  281706
>>281678
Долбоёб, чем ты читал мой пост, жопой? Я же писал что делать чтобы не было самовозбуда. Цепочку цопе цобеля можно вообще выкинуть из схемы нахуй.
Аноним 26/04/17 Срд 13:05:27  281708
>>281683
Есть схемы с однополярным питанием. На вход подаётся половина напряжения питания, на выходе тоже если нет меняй сопротивление резисторов делителя на вход. Набери в ютубе сталкер amplifier class ab нет это не он, этот чувак реально шарит, а я хуй
Аноним 26/04/17 Срд 15:25:40  281717
п605а годный транзистор?
Аноним 26/04/17 Срд 15:31:26  281718
А есть вариант запилить адаптер на 10-20-овер9000 сим карт с помощью паяльника?

Что вообще нужно для работы симкарты, какой интерфейс мутить чтоб эту балду потом прицепить к пеке?
Реально ли вообще?
Аноним 26/04/17 Срд 15:37:57  281719
>>281718
Понадобится советский галетник с кучей пластин - одна штука.
Аноним 26/04/17 Срд 15:56:03  281721
>>281706
> Я же писал что делать чтобы не было самовозбуда.
ТДА2030 ссыт на твои вскукареки и твёрдо возбуждается в твой ротешник, довен!
Аноним 26/04/17 Срд 16:22:12  281722
Нужен совет.
Есть колонки S-30B подключенные к MR-5102-STEREO. С недавних пор стереокоплекс начал выключаться и включаться туда-сюда, так пару минут может происходить, пока не придет в норму. Соответственно, если его усилок сдохнет, мне надо будет куда-то втыкать колонки. Вопрос куда?
Покупать старые советские с рук или что-то новое для них можно купить?
Аноним 26/04/17 Срд 16:28:45  281723
>>281722
Вон чуть выше читай. Тут уже пара таких вопросов.
Аноним 26/04/17 Срд 17:09:35  281725
>>281651
>По моему для такой задачи применение микроконтроллера может оказаться не целесообразным.
Можно поподробнее? Каково твое видение данной задачи?
Аноним 26/04/17 Срд 17:11:12  281726
>>281584
КМОП распидорасит, ТТЛ - как 1.
Аноним 26/04/17 Срд 17:21:20  281727
c27603c94a4a.jpg (59Кб, 640x479)
>>281726
Самый лучший ответ!
>>281588-кун
Аноним 26/04/17 Срд 18:18:00  281729
>>281727
Спасибо, я старался как можно более доходчиво донести данную информацию до спрашивающего пользователя.
Аноним 26/04/17 Срд 18:42:14  281734
Где можно подробно почитать о режекторных фильтрах на операционных усилителях? В методичках/книжках 2-3 плевка информации. Или я просто не очень умный.

Пока что я вижу только один путь: каскад из фильтров низких и высоких частот, но, мне кажется, что можно сделать лучше.
Аноним 26/04/17 Срд 19:46:23  281736
Должна ли присоска на кинескопе присасываться или она просто похожей формы? за счет чего тогда она держится?
И второй вопрос, какой-то мудак эту самую присоску порвал, можно ли ее как нибудь склеить?
Аноним 26/04/17 Срд 20:15:18  281742
14871743185590.jpg (23Кб, 450x309)
>>281736
По моему она вакуум держит. Собственно ту дырку через которую высасывали воздух и закрывает.
В домашних условиях врядли получится высосать снова. Нужна стерильная беспыльная камера.
Хотя хуй знает, может аноны что-то подскажут.
Аноним 26/04/17 Срд 20:51:24  281744
>>281736
> можно ли ее как нибудь
Можно. Нужно промыть безводным этанолом и склеить силиконом с лучшими изоляционными свойствами.
>>281742
Вакуум можно на радиорынке купить в специальных баллончиках для ремонта кинескопов. Дорогой правда.
Аноним 26/04/17 Срд 21:00:13  281745
>>281742
> По моему она вакуум держит. Собственно ту дырку через которую высасывали воздух и закрывает.
Сук, ну нахуя так толстить-то?
Аноним 26/04/17 Срд 21:59:19  281747
>>281596
дело в том, дорогой друг, что нагрузка не менялась. откуда там внезапно очутиться пробою или перегрузу? а вот конденсаторы сами умеют высыхать...
Аноним 26/04/17 Срд 22:02:05  281748
Почему DDS как технология такое говно если надо еще фильтрами заморачиваться. Или почему они фильтр внутри не вставляют. Я не разобравшись купил голый чип, хотя продается и обвешанный и стоит столько же. Мне больше делать нехуя как элиптичесекие фильтры воротить и искать индуктивности на 5.102404505005 нан. Сука кругом сплошное наебалово. Мне ПОХУЙ их алиасинги хуялисинги. Дай мне чип сука который генерит синус в заявленных пределах. Мне похуй какая там максимальная частота и найквисты хуяйквисты. Дай мне чип который говорит, генерею чистый синус от и до. Нет блять они мня в даташите объясняют по понятиям за алиасинг.
Аноним 26/04/17 Срд 22:26:15  281749
>>281747
> дело в том, дорогой друг
Что ты даун, начитавшийся хуйни, и твоя мамка шлюха. Тебе нужно соснуть хуйцов и сделать бочку.
Аноним 26/04/17 Срд 22:55:42  281750
blob (158Кб, 1177x516)
blob (177Кб, 1062x644)
Правильно слот подобрал?
Как еще под обычный транзистор найти?
Аноним 26/04/17 Срд 22:58:15  281751
>>281694
> Физика 8 класс
Петушня какую-то хуйню про провод несет, зато обязательно нужно выебнуться про 8-й класс. ССу тебе в рот, хуесосина.
Аноним 26/04/17 Срд 23:52:30  281753
>>281750
Какой слот? Чё ты несёшь?
Аноним 26/04/17 Срд 23:54:14  281754
>>281751
Типа в восьмом классе стрёмную часть физики проходят мимо.
Аноним 27/04/17 Чтв 00:08:17  281755
>>281750
Это называется ПАНЕЛЬ
>Как еще под обычный транзистор найти?
Нет таких, зачем вообще в панель транзистор ставить?
Для отладки есть бредбоард
Аноним 27/04/17 Чтв 00:24:26  281758
>>281755
А нахуй он в панель усилитель для наушников ставит? Странное поделие сумрачного гения?
Аноним 27/04/17 Чтв 00:29:52  281760
>>281758
Ну он же начинающий, первые десять микрух сгорят из за соплей на плате, 11-тая таки запустится
Горячая смена ИМС епта
Аноним 27/04/17 Чтв 00:33:27  281761
>>281760
Из-за соплей на плате замкнёт питание и до усилителя не дойдёт
Аноним 27/04/17 Чтв 00:38:40  281763
>>281758
Чтоб не перегреть. Очевидно же. Епт.
Аноним 27/04/17 Чтв 01:05:29  281766
>>281763
Ну если он 100 ваттным топориком паяет, то да, соглашусь
Иначе хуитка
Аноним 27/04/17 Чтв 01:26:34  281767
(_((ГАДЖУБАС___()
Аноним 27/04/17 Чтв 05:27:38  281771
Мышь razer deathAdder(~5лет) перестает реагировать на несколько минут, после чего опять работает. Звуков что устройство отпало нет и подсветка мыши остается. Независимо от ОС, юсб порта.
Че может быть?
Аноним 27/04/17 Чтв 05:36:25  281772
>>281689
Да просто чтоб не болталось. Провод тоненький, может оборваться в легкую. А так - он приклеен на парафин и никуда не денется.
Еще заливка парафином увеличивает межвитковую емкость и таким образом снижает собственную резонансную частоту катушки, но это по-моему уже из области алхимии. Хотя в музыке алхимии много.
Аноним 27/04/17 Чтв 05:36:39  281773
117722.png (162Кб, 462x441)
>>281771
Она поломалась.
Аноним 27/04/17 Чтв 05:41:05  281774
>>281742
>я долбоеб школьник и нихуя в заданном вопросе не понимаю, но спиздану, возмущенные аноны поправят.
Аноним 27/04/17 Чтв 05:42:21  281775
>>281747
Ну намочи их, хуле. Раз не хочешь ни голову включать, ни советов слушать.
Аноним 27/04/17 Чтв 05:44:45  281776
>>281748
>нихачу учиться, хочу большую красную кнопку "Шоб Все Сразу Пиздато".
Хуй тебе за щеку, дебил.
Аноним 27/04/17 Чтв 05:52:41  281777
>>281774
Всё правильно он тебе ответил. Пососи вакуум.
Аноним 27/04/17 Чтв 07:12:55  281780
>>281748
>Мне ПОХУЙ их алиасинги хуялисинги.
Тогда зачем тебе фильтр? Даже если ты не поставишь фильтр, "ступеньки" в генерируемом синусе ты на осциллографе не увидишь.
Аноним 27/04/17 Чтв 10:15:31  281787
Анон, есть кучка маломощных smd светодиодов, а распаять мне их хочется на многожильный провод вместо платы или на проволоку. Как мне жто лучше осуществить?
Аноним 27/04/17 Чтв 10:17:53  281788
>>281760
вот +
Аноним 27/04/17 Чтв 10:22:50  281789
>>281760
С каких пор панель=сопли?
Аноним 27/04/17 Чтв 10:30:10  281790
>>281787
У меня есть куча маленьких крышечек от люков, хочу приварить их к пучку арматуры чтобы получились ромашки. Как мне это осуществить?
Аноним 27/04/17 Чтв 10:36:55  281793
Аноны, ищу моторчик для сверлилки плат. С шариковыми подшипниками, без биений. Что бы был проверенный вариант. С Алиэкспресса. Даже по реферальной ссылке пройду, если годный вариант.
Аноним 27/04/17 Чтв 11:15:25  281794
>>281793
А пососать тебе не завернуть?
http://directlot.ru/lot.php?id=47827
Вот тебе по запросам. Патрон думаю сможешь прикрутить.
Аноним 27/04/17 Чтв 14:27:13  281806
blob (91Кб, 240x240)
Радиач, помоги.
Нужен чувствительный акселерометр с UARTом. Задача - сделать сигналку на замок, реагирующую на малейшую встряску. Точность нинужна, главное сам факт смещения зафиксировать.
Есть проверенные варианты на али? Там их много, не хочется проебаться и потом трахать прессом его, чтобы заработал.
С менякак всегда
Аноним 27/04/17 Чтв 14:29:40  281807
>>281806
Теперь это шарика на пружинке тред!
Аноним 27/04/17 Чтв 15:00:14  281821
jM1hfHN13us.jpg (35Кб, 558x604)
Помогите срочно
Аноним 27/04/17 Чтв 15:16:28  281823
>>281748
Да, уж...
Еще раз - у ДДСа на выходе широченный забор из комбинационных частот.
Лучший фильтр - полосовой.
Неприемлем из-за необходимости иметь возможность перестройки. Обычно применяется ФНЧ.
Частота среза выбирается с учетом среза ближайшей гармоники. Где эта гармоника находится нужно считать, измерять или читать в документации.
Уровень вне полосного подавления выбирается исходя из уровня этой ближайшей гармоники.
Хорошо подавите не будет проблем, плохо - получите интермоды.
Если набрать в поиске DDS и его спектр, можно найти документацию и материалы в интернете.
Неужели Вы хотите устроить здесь цитирование документов и статей?

Тем более Вы не определили свою задачу.
Нужно знать Вашу полосу перестройки, выходное сопротивление, какой там реальный спектр, что нужно давить и с каким уровнем подавления, с какой неравномерностью и еще куча проблем.
Я, же писал вопрос сложный и получить чистый сигнал с ДДСа это непростая инженерная задача.
Аноним 27/04/17 Чтв 15:30:15  281824
>>281821
21,6(6)
Аноним 27/04/17 Чтв 15:38:41  281825
>>281824
На пике конденсаторы, это же очевидно.
Аноним 27/04/17 Чтв 16:06:40  281828
>>281806
bump
Аноним 27/04/17 Чтв 16:31:59  281830
Часть1000000.jpg (200Кб, 3504x2550)
>>280133 (OP)
Сап, рач! Посоветуй пожалуйста источников c годной теорией по OOK, FSK и GFSK
Аноним 27/04/17 Чтв 17:16:47  281831
>>281825
33,75
Аноним 27/04/17 Чтв 17:18:11  281832
>>281821
60
зелень ебучая
Аноним 27/04/17 Чтв 17:51:20  281838
>>281825
Там светодиоды.
Аноним 27/04/17 Чтв 17:55:33  281839
>>281775
я внимательно слушаю, что ты конкретно посоветуешь
конденсаторы мочить не вариант
Аноним 27/04/17 Чтв 18:59:23  281841
>>281789
>Ну он же начинающий,
>С каких пор панель=сопли?
Читаем жопой и не понимаем смысла? Завязывай с этим
Аноним 27/04/17 Чтв 21:54:13  281852
20170424233059.jpg (3206Кб, 4032x3024)
Сап, нужны ли стягивающие резисторы для этой матрицы ?
Аноним 27/04/17 Чтв 21:57:31  281854
>>281841
>>281758
>>281755
Вы вообще мудаки что ли?
Что плохого в панелях вы нашли вообще?
мимо другой анон
Аноним 27/04/17 Чтв 22:44:31  281857
Rclbb[1].jpg (79Кб, 640x480)
>>281823
Откуда паста?
По делу - раз задача непростая заставить готовую деталь работать как надо, значит технология говно. Проще собрать аналоговый синус на дискретных детальках. Он не будет "супер чистым" но и не будет адских ступенек

>>281780
Я имею ввиду мне не хочется слушать их отмазки, почему все та сложно. А ступеньки еще как увидишь, именно их я и вижу. При тактовой 16Мгц их видно уже на мегагерце или даже ниже. Пик не мой, но вот так выглядит 2Мгц при тактовой частоте 25Мгц. Вот такое унылое говно это зашкварная "технология". 2мгц синус можно на коленке сделать из аналоговых деталек и будет достаточно чисто безо всяких дебильных фильтров.
Аноним 27/04/17 Чтв 22:50:04  281858
>>281776
> учиться
научился себе за щеку, петушиная рожа.
хули там учиться, все уже давно известно. схемы этих фильтров есть в даташытах. я говорю мне больше делать нехуя как заказывать и подбирать кучу емкостей и индуктивностей со всякими нестандартными значениями и потом ебаться с их настройкой.
Аноним 27/04/17 Чтв 22:56:00  281859
>>281857
какой то хач в отражении держит мобилу...
Аноним 27/04/17 Чтв 23:02:30  281861
9850-module-b[1].jpg (30Кб, 474x320)
>>281859
хз, cо stackexchange вряд ли хач

короч заказал вот этот god tier шильдик 9850, там все есть, в тч I->U выход, не надо ничего мутить, и все фильты хуильтры и даже пот на входe компаратора чтобы duty крутить. охуенно и недорого.

а то я буду неделями сидеть кондеры подбирать и на гармоники смотреть, чтобы сука СИНУС блять смастерить в итоге. это для нолайферов проект.
Аноним 27/04/17 Чтв 23:34:24  281864
>>281790
Обматывать электроды медной проволокой.
Аноним 27/04/17 Чтв 23:36:28  281865
>>281807
Проиграл.
Лучше бы пояснил ему.
Аноним 28/04/17 Птн 00:43:11  281868
>>281854
>Что плохого в панелях вы нашли вообще?
Еще один читающий жопой? Ну ка процитируй где называли панелями плохими
Аноним 28/04/17 Птн 00:45:07  281869
>>281852
>стягивающие
Эмм, какие?
Если что - там кроме диодов ничего нет
Аноним 28/04/17 Птн 04:16:48  281871
632641543765346.PNG (32Кб, 774x781)
Анон, зачем тут конденсатор 0,01u?
Аноним 28/04/17 Птн 05:05:44  281873
>>281871
Защита от помех с двигателя.
Аноним 28/04/17 Птн 05:40:28  281874
201112190124883[...].jpg (45Кб, 755x490)
Зачем на входе ОУ транзисторы в диодном включении?
Почему они не коротят входы друг на друга? ведь падение напряжения на транзисторе 0.6-1.2в.
Аноним 28/04/17 Птн 06:34:08  281875
>>281874
> Зачем
Чтобы было.
> Почему
Прост.
Аноним 28/04/17 Птн 06:50:36  281876
>>281874
> Зачем
> падение напряжения на транзисторе 0.6-1.2в.
This/
Защита входа от перенапряжения
Аноним 28/04/17 Птн 09:07:58  281878
>>281868
>А нахуй он в панель усилитель для наушников ставит? Странное поделие сумрачного гения?
Аноним 28/04/17 Птн 09:30:27  281879
>>281839
Вынь предохранители, включи устройство, померяй напряжение на конденсаторах, убедись что все с ними в порядке, ищи проблемы с нагрузкой.
Аноним 28/04/17 Птн 09:36:33  281880
>>281857
Если проще - собери как проще.
DDS микросхемы - устройства универсальные, а не просто "синус по бырому генерировать", поэтому и требования к фильтру могут быть самые разнообразные.
Аноним 28/04/17 Птн 09:39:39  281881
>>281874
Они именно что коротят входы друг на друга ПРИ ПЕРЕНАПРЯЖЕНИИ. В нормальных режимах работы ОУ разница напряжений между + и - не превышает нескольких милливольт.
Аноним 28/04/17 Птн 12:15:06  281888
Бля, как вообще понять принцип работы радиоламп? Почему у них 100500 сеток? Куча какихто напряжений, нихуя непонятно что к чему
Аноним 28/04/17 Птн 13:54:54  281894
>>281888

Смари, на катоде минус, на на аноде плюс. Электричество НА САМОМ ДЕЛЕ ВЛАСТИ СКРЫВАЮТ бежит от минуса к плюсу .

Чтобы электроны могли через вакуум перейти к аноду необходимо им придать энергию, для этого внутри катода мутим ТЭН, как у чайника или электроплитки, то бишь накал. Накал физически нагревает катод температурой до такой степени что электроны на нем получают энергию и лихо летят через вакуум к аноду. Таким образом ты получаешь диод. Самри если минус подать к аноду, а плюс к катоду то нихуя не будет, потому что электроны окажутся на аноде который никто в отличии от катода не греет, а катод греется тупо зря. Таким образом диод проводит онли в одну сторону.

Далее, мы хотим потоком электронов управлять, так что между катодом и анодом мутим хуйню, под названием сетка - если на этой сетке потенциал будет меньше чем у катода (то бишь если на катоде GND, то на сетке должен бьыть минус вольт относительно GND). то электроны будут тормозиться об электроны сетки (помним что противоположные частитцы притягиваются, а одинаковые отталкиваются) либо частично или полностью. Таким образом управляющий сигнал, поданный на сетку будет тормозить поток электронов и ток лампы будет повторять сигнал.

Далее тетроды и пентоды.

Пока с нашим триодом все заебись, но вот хуйня, между сеткой и анодом есть емкость, через которую, сука уходят все высокие частоты и мешает нам нормально усилять. Чо делать? Въебать еще одну сетку, на которую подать половину анодного напряжения.

Но вот хуйня, эта "экранирующая сетка" слишком пиздец как разгоняет электроны что те проходя через нее со всей дури вхуяриваются в анод и выбивают уже из него, сука, положительного, электроны. Вот такой пиздец.

Чо делать? Да как обычно - въебать еще сетку. между анодом и экранирующей. сделать ей минус как у катода и она будет отражать выбитые электроны обратно нахуй в анод.

Далее сетки добавляются уже функционально - чтобы подавать не один а аж два сигнала и смешивать их (гетеродинный приемник, микшер и прочее) и так далее.
Аноним 28/04/17 Птн 14:06:22  281896
>>281857
Паста с вегалаба.

Чтобы не было ступенек - нужно больше битов.

Тоже когда-то хотел купить этот модуль, в итоге купил кетайский недогенератор на пердуине и решил взять готовое устройство если понадобится что-то повыше уровнем.
Аноним 28/04/17 Птн 14:41:26  281902
>>281878
Шоб менять по мере убивания микрухи, очевидно же ну
Аноним 28/04/17 Птн 14:43:19  281903
>>281894
Анон, если это ты писал, то тонны нефти тебе. Хотя если и спиздил, все равно молодец, хорошо расписано
Аноним 28/04/17 Птн 15:10:40  281905
>>281750
Вот такие https://www.chipdip.ru/product/pbs-3 хуевины можно под транзисторы использовать только учти что мощные уже не влезут. Только вот вопрос НАХУЯ если транзистор спокойно выпаивается за 10 сек и еще 10 сек на прочистку дырок. Хотя мой тебе совет - если будешь брать то бери сразу 1х20 хотя я лично беру в радиомагазине 1х40, на чипдипе тоже есть, но минимальное количество для заказа там какое-то неадекватное и потом просто отрезаешь бокорезами сколько тебе надо по аналогии с plsками.
Аноним 28/04/17 Птн 15:55:51  281910
В пердуинотреде никого, потому спрошу тут:
Справится ли пердуина с датчиками холла в кол-ве четырех штук? Нужно сделать одометры на 4-ре двигателя с редукторами для робо-тележки.
Аноним 28/04/17 Птн 15:58:58  281911
rc.JPG (50Кб, 1527x756)
Анон, чему равна частота среза на нижней картинке?
Аноним 28/04/17 Птн 16:47:09  281913
>>281910
Справится.
Не справится.
Бери ту что справится.
Аноним 28/04/17 Птн 16:57:52  281914
1278364757011.jpg (55Кб, 412x481)
>>281881
А как же режим компаратора? ЯННП.
Аноним 28/04/17 Птн 17:12:26  281915
>>281914
Это нихуя не операционник, гондон ты пидор ебаный. Рака яиц твоей мамаше. Название быстраблядь этого усилителя написал быстраблядь!
Аноним 28/04/17 Птн 17:18:04  281917
Анончики, подскажите пожалуйста. Вот у кр142ен5а максимальное входное напряжение согласно даташиту 15В.
В моей схеме входное напряжение ровно 15в. Стоит ли рисковать впаивать или искать другой стабилизатор с бОльшим входным напряжением?
Аноним 28/04/17 Птн 17:20:43  281918
>>281903

Да, теперь как катод сделать положительнее сетки(чтобы сетка в свою очередь была отрицательна по отношению к катоду). Можно для этого въебать двоюную обмотку на трансе, конечно, причем ассиметричную, но лучше просто между катодом и землей въебать резистор, который по закону ома путем резисторного делителя (сопротивленире лампы+сопротивление нагрузочного+сопротивление подтяжечного, который мы и хотим въебать). А чтобы полученное смещение не плавало от сигнала (потому что сигнал будет постоянно изменять опротивление лампы, что очевидно) мы к катоду паралельно резистору въебем кондер.
Аноним 28/04/17 Птн 17:21:00  281919
>>281917
> Стоит ли рисковать
Нет
> или искать другой
> с бОльшим входным
Да.
Аноним 28/04/17 Птн 17:37:28  281921
>>281915
Поиск по гуглокартинкам не освоил, даун?
Это обычный NE5532
http://www.ti.com/lit/ds/symlink/ne5532a.pdf
Аноним 28/04/17 Птн 17:42:11  281922
05.gif (2Кб, 229x290)
>>280133 (OP)
на сайте радиокот в обучалке, ГВЧ:
но как он заработает если на базу ничего не подается?
Аноним 28/04/17 Птн 17:45:24  281923
>>281922
неполная схема, если только на конденсатор зарядить
Аноним 28/04/17 Птн 18:11:37  281925
>>281921
All voltage values, except differential voltages, are with respect to the midpoint between VCC+ and VCCExcessive input current will flow if a differential input voltage in excess of approximately 0.6 V is applied between the inputs, unless
some limiting resistance is used.

Applications
• AV Receivers
• Embedded PCs
• Netbooks
• Video Broadcasting and Infrastructure: Scalable Platforms
• DVD Recorders and Players the end of the data sheet.
• Multichannel Video Transcoders
• Pro Audio Mixers

Читать не умеешь?
Аноним 28/04/17 Птн 18:16:23  281926
>>281880
В чем их универсальность? Какие разнообразные требования? Именно они и нужны чтобы синус по бырому. Или треугольник с меандром, но это вторично. Требование у них одно - чтобы генерилась требуемая форма с наименьшими искажениеями. Откуда эти искажения известно. Как с ними бороться тоже известно. DDS уже сам по себе сложный девайс. Почему бы еще десяток деталек не добавить.

>>281896
>больше битов
Это понятно. По сути DDS это glorified DAC.
Я играл с DAC в STM32 и там как раз все очень понятно откуда что берется - размер синус таблички, максимальная скорость DAC и отсюда можно прикинуть макс частоту синуса без искажений. Получалось где-то 100-200Kгц. Зато безо всяких фильтров. А эти DDS пидоры заявляют в даташитах огромными буквами невъебенные частоты, а на деле это всего лишь тактовая частота, которую нужно делить в уме на 10 а то и на 20. а если без фильтров то и на все 100.
Аноним 28/04/17 Птн 18:17:43  281927
1248204480456.jpg (9Кб, 251x218)
>>281925
ЯННП
Поясни.
Оно что в режиме компаратора работать не сможет?
Аноним 28/04/17 Птн 18:23:42  281928
>>281927
> не сможет?
А нахуй оно нужно?
Специализированная хуитка для работы с аудио.

Input resistance 30...300 kΩ
Output impedance (AVD = 30 dB, RL = 600 Ω, f = 10 kHz) 0.3 Ω
Аноним 28/04/17 Птн 18:43:09  281929
В /ra впервые, прошу не пинать, нужна схемка которая имеет 2 выхода и один вход. На входе кнопка при нажатии на неё на одном входе должен быть одиночный импульс, а при отпускании на другом. Желательно без всяких микроконтролёров, а на тразисторах или простых микросхемах
Аноним 28/04/17 Птн 18:47:53  281930
>>281929
Импульс чего?
Аноним 28/04/17 Птн 18:51:25  281931
>>281930
При нажатии кнопки должен моргнуть один светодиод, а при отпускании другой
Аноним 28/04/17 Птн 18:52:07  281932
7р.png (2139Кб, 1125x1500)
Посоны, у квадрика после очередного краша один мотор стал хуже крутится. Я снял-одел пропеллер, запустил - запах гари и мотор совсем не крутится.
Думал мотор сгорел, но сейчас разобрал и там какая то хуйня черная подплавилась слегка и плата пожелтела. Все, пизда, или дело все таки в моторе?
Аноним 28/04/17 Птн 18:55:03  281933
post-11238-1176[...].jpg (67Кб, 1156x785)
>>281929
Аноним 28/04/17 Птн 18:55:31  281934
>>281932
Транзистор полетел. Замени.
Аноним 28/04/17 Птн 19:00:05  281935
>>281934
Будь у меня паяльник я бы еще смог мотор поменять - 2 проводка. Но как и на какой менять транзистор понятия не имею. Я в /ra первый раз как можно было догадаться.
Аноним 28/04/17 Птн 19:02:46  281936
>>281935
Ну пойди в сервис ноутбуков плату отнеси, попроси транзистор заменить. Больше 100 рублей я бы не дал я бы сам спаял.
Аноним 28/04/17 Птн 19:02:48  281937
>>281935
> Я в /ra первый раз
Тогда ты должен зарегистрироваться.
Аноним 28/04/17 Птн 19:04:47  281938
>>281922
ну че кто поможет???
Аноним 28/04/17 Птн 19:05:08  281939
навальный
Аноним 28/04/17 Птн 19:08:15  281940
>>281936
Сомневаюсь что то, что кто то за сотку возмется. А это тоже из за транзистора было?
>после очередного краша один мотор стал хуже крутится
Аноним 28/04/17 Птн 19:11:43  281941
>>281940
Вполне возможно. Хуй его знает, может и мотор транзистор спалил, может транзистор просто сдох от перегрева/китайского качества.
Тут нужно выпаивать мотор и транзистор и смотреть.
Отнеси в сервис если руки из задницы. Дедушкиным паяльником для ведер даже не пытайся лезть.
Аноним 28/04/17 Птн 19:12:09  281942
>>281940
Транзистор у тебя подгорел из-за слишком большого тока. Движку что-то мешало работать. Может внутри что-то заклинило, может лопасти о корпус тёрлись. Кто знает что там случилось, ты же нихуя не объяснил толком.
Аноним 28/04/17 Птн 19:13:42  281943
>>281938
Батарею переверни и нагрузку повесь параллельно конденсатору. Должно заработать.
Аноним 28/04/17 Птн 19:17:43  281944
>>280133 (OP)
Есть разбирающиеся в Altium Designer? Трассировал платку и во время выравниваний компонентов, я так думаю, нажал какое-сочетание клавиш и теперь при перемещении компонента по плате, когда он подходит на какое-то растояние, вокруг все элементы как отталкиваются, отскакивают от него, а когда жлемент отводишь все на места встают. Сочетания думаю было Shift+Ctr+клавиша, но это не точно.
Как отключить этот режим?
Аноним 28/04/17 Птн 19:36:09  281946
>>281911

бамп
бамп
бамп
бамп
бамп
Аноним 28/04/17 Птн 19:49:27  281952
>>281946
иди нахуй

иди нахуй

иди нахуй

иди нахуй

Аноним 28/04/17 Птн 19:53:19  281953
>>281937
Я давно уже зарегистрировался
Аноним 28/04/17 Птн 20:07:34  281954
>>281952
ты злой.
Аноним 28/04/17 Птн 20:09:16  281955
>>281954
Ты охуел.
Аноним 28/04/17 Птн 20:17:02  281956
>>281955
Это еще почему?
Аноним 28/04/17 Птн 21:43:08  281958
>>281933
Горит постоянно, ЧЯДНТ?
Аноним 28/04/17 Птн 21:43:42  281959
Безымянный.png (45Кб, 939x623)
>>281958
отклеилось
Аноним 28/04/17 Птн 23:28:35  281965
>>281929
>Желательно без всяких микроконтролёров
Эт ты зря. Коле нуфаг - проще ардуинку купить, чем в транзисторы вникать.
Кондёры Аноним 28/04/17 Птн 23:38:11  281966
Дайте ссылку на то какие вообще кондёры бывают.
Хочу заряжать на разном вольтаже, чтобы затем заряжать акб на одном.
Важно отношение цены к сроку службы, желательна медленность саморазряда, конечно.
Аноним 28/04/17 Птн 23:43:49  281967
>>281966
http://google.com самая точная ссылка.
Аноним 28/04/17 Птн 23:44:30  281968
>>281967
Самый тупой ответ, подожду ещё.
Аноним 28/04/17 Птн 23:55:34  281969
>>281968
На самый идиотский вопрос.
Жди вместо того чтобы искать.
Аноним 28/04/17 Птн 23:57:04  281970
>>281968
Ок. https://www.chipdip.ru/catalog/capacitors
Аноним 28/04/17 Птн 23:58:06  281971
>>281970
Названий, очевидно, недостаточно, нужна инфа по типам.
Аноним 29/04/17 Суб 00:10:31  281972
Как там нормальные посаны из блока от БП крайне быстро делают лабораторные блоки? Мне 24 вольта и десять ампер нужно
Аноним 29/04/17 Суб 00:15:03  281973
>>281972
Померяй чем там на выходе из него идет. Если нет 24 то ищи 12 и ебаш умножитель.
Аноним 29/04/17 Суб 00:16:12  281974
Подскажите пжалста клон/аналог/приемлемую подделку MAX232, которую можно купить на али.
Аноним 29/04/17 Суб 00:16:35  281975
>>281973
только +12 и -12, но у них даже на какой-нибудь одноваттный светодиод с резистором просадка пять вольт
Аноним 29/04/17 Суб 00:24:44  281976
>>281974
stm23xx
Аноним 29/04/17 Суб 00:27:38  281977
>>281976
Что-то хуйня гуглится.
Аноним 29/04/17 Суб 01:18:43  281981
>>281974
MAX3232
Или заменить простой схемой на паре транзисторах.
Аноним 29/04/17 Суб 01:55:01  281982
Только ч что паял с аспирином. Мне теперь пизда? Я в респираторе сидел и под сквозняком.
Аноним 29/04/17 Суб 01:57:27  281983
>>281981
Насчет транзисторов я думал, но придется где-то брать 7.5V, видимо покупать регулируемый стабилизатор. Ком порт не дает 7.5 питание вроде.
А 3232 это то же самое но на 3.3V выходных.
Аноним 29/04/17 Суб 04:26:17  281986
Хочу чего-нибудь спаять, но из деталей у меня только светодиоды и несколько резисторов. Платы вообще никакой нет. Что делать?
Аноним 29/04/17 Суб 08:56:43  281989
>>281983
>А 3232 это то же самое но на 3.3V выходных.
Нет. MAX3232 может работать с уровнями 3,3В и 5В, в зависимости от напряжения питания.
Аноним 29/04/17 Суб 09:01:15  281990
>>281982
теперь ты доктор Айболит!
>>281986
>картонка
Аноним 29/04/17 Суб 09:10:27  281992
IMG.jpg (1329Кб, 2304x1728)
Есть пара источников питания для макетки.
Вход: 7-12В через разъем DC/5В через mini-USB,
Выход: 3.3В/5В, 800мА

Один из них я запитал от стабилизированного источника питания 12В 1А, после чего с ним произошло такое:
При питании от USB работает норм, на выходе 3.65В/5.07В (у "эталонного" 3.3В/5.2В).
При питании от кроны 9В на выходе 2.6В/2В на соответствующих контактах (против 3.3В/4.99В у "эталонного").
При питании от 12В 1А на выходе 10.6В/5В, "эталонный" не запитывал, чтоб не сжечь хехе.

Есть мультиметр и паяльник.
Что именно и как нужно "прозванивать", чтоб протом заменить?

На сломанной плате замерил сопротивление в режиме до 200 ом между 1(Gnd) и 3(Vin) ногами обоих стабилизаторов, получил 26 Ом, на "эталонной" между этими ногами ток не идёт. Если мерять сопротивление в режиме до 200 кОм, то там циферки бегают и ничего непонятно.

На этих источниках стоят AMS1117-3.3 и AMS1117-5.
Аноним 29/04/17 Суб 10:30:50  281994
>>281982
Я без всяких респираторов поял с аспирином. Ничо так, вкусный запах
Аноним 29/04/17 Суб 10:43:48  281997
12028443682.jpg (13Кб, 594x196)
Ребзи хочу забубенить простенький лазер из двд привода по прикрепленной схеме. Нужно купить:
1) микросхему lm317
2) Резистор 2Вт
3)Модуль для лазера возьму из лазерной указки с лорька
4) питать буду от 4 пальчиковых батареек
Подскажите что упустил, в чем успел ошибиться.
Свой привод, откуда я буду доставать лазерный диод, уже имею.
Аноним 29/04/17 Суб 10:44:05  281998
>>281992
>На этих источниках стоят AMS1117
У них 15В максимум, вероятно твой блок не сильно стабильный, найди вольт на 9.
Аноним 29/04/17 Суб 12:06:31  281999
>>281998
С блоком я понял уже, как быть с траблшутингом и ремонтом?
Как понять, что именно регулятор сгорел?
Может, это диод или та штука 506D (или 0905, я не знаю, к стати, что это?)?

Или тупо заменить оба регулятора?
Аноним 29/04/17 Суб 12:13:11  282000
>>281997
Если сомневаешься - собери на макетке без диода и посмотри ток и напряжение
Насколько я вижу тут лмка работает как стабилизатор тока, а напряжение какое придется, но может меня кто поправит
Аноним 29/04/17 Суб 12:15:13  282001
>>281971
Какие тебе типы конденсаторов нужны, болезный? Пленочные, керамические? Электролитические? Бумажные?
Иди теорию читай и не доебывай своими вопросами
Аноним 29/04/17 Суб 12:22:21  282004
>>282001
Это шкальник в разработку какого-то наебаторского девайса пытается.
Аноним 29/04/17 Суб 12:34:30  282006
>>282004
Ага, устройство для сбережения электроэнергии делает, куда нужно ставить особенный, нигде не встречающийся тип конденсаторов, чтобы косинус фи в баранку крутить
Аноним 29/04/17 Суб 12:41:00  282008
kROEDuPB6Eo.jpg (373Кб, 1288x966)
MDcOtZpprzM.jpg (357Кб, 1288x966)
Привет, анон! Такое дело. Доверил одним пидорасам нести усилок. Ну и они его стукнули. Из-за чего полностью обломалась крутилка.
Разобрал я его, значит и не уверен в том, что я понимаю что вижу.

Переменник стоит на регулировке баланса лево/право.
Что это за маркировка такая? И как вообще его найти?
Аноним 29/04/17 Суб 12:43:49  282009
>>282008
100КВ значит резистор сопротивлением 100кОм класса В, то бишь с логарифмической характеристикой. В рад магазин приходишь и так и описываешь, усе
Аноним 29/04/17 Суб 12:47:22  282010
>>282009
Спасибо!

А ещё такой вопрос. То, что он регулирует баланс. Это ничего страшного? Он ничем не отличается конструктивно?
Аноним 29/04/17 Суб 12:49:50  282011
>>282010
Из
Ничем, просто подключен по хитрому
Только когда выпаяешь посмотри, обычный он или сдвоенный, я когда темброблок делал у меня сдвоенный вроде как стоял
Но по фотке он обычный трехногий
Аноним 29/04/17 Суб 12:51:09  282012
>>282011
Или я в глаза долблюсь и там стоит сдвоенный. Короче выпаяешь и глянешь сколько ног, три или шесть
Аноним 29/04/17 Суб 12:51:16  282013
>>282011
Обычный, трёхногий
Аноним 29/04/17 Суб 14:36:53  282026
>>282011
Короче говоря в магазине не было обычного. Нашли только сдвоенный. Ну и ладно. Припаял три ноги из 6 и всё заработало збс.

Бидон чаю тебе
Аноним 29/04/17 Суб 16:31:21  282040
AA-500mA.png (5Кб, 548x313)
Как в домашних условиях можно запилить подобные графики?
По сути нужны вольтметр, амперметр снимающие показания периодично и дампающие их куда-нибудь на пека.
Что за аппаратура нужна? Мультиметр какой-нибудь умеющий с интерфейсом связи с пека и софтом на той стороне? Из говна и палок можно что-нибудь собрать?
Аноним 29/04/17 Суб 16:48:08  282041
>>282040
Наверняка эти графики сняты какой-то йоба-зарядкой.
Аноним 29/04/17 Суб 17:14:05  282042
>>281992
Это китайская втыкалка? Как они, контакты норм?
Аноним 29/04/17 Суб 17:19:30  282043
>>282040
Можно хакнуть обычный китайский мультиметр за 100 рублей, подключившись прямо к дисплею чтобы сильно не ебаться.
Поставить ему питание вместо батарейки, чтобы не села. Считывать микроконтроллером показания раз в n секунд.
Собирать данные и по UARTу/USB посылать.
Ебашь.
Аноним 29/04/17 Суб 19:44:52  282050
>>282042
Ага, китайская. Ищется по запросу "k2 mb102".
Контакты норм, но быстро выходит из строя лол.
Аноним 29/04/17 Суб 19:48:55  282052
>>282043
Не проще ли вольтметр собрать из аж одного прецизионного резистора и какой-нибудь атмеги/аттини/ардуины/распиберри и т.д.
Аноним 29/04/17 Суб 20:05:06  282054
>>282052
Любой говномультиметр из классического нищевыбора будет точнее самопального регистратора.
Аноним 29/04/17 Суб 20:38:07  282055
>>282052
>распиберри
Там нет АЦП, придется подключать отдельно.

>>282054
С чего бы это? АЦП в мультиметрах ничем не отличаются от тех что в микроконтроллерах.
Аноним 29/04/17 Суб 20:47:26  282056
>>282052
Да ну его, погоду показывать будет. А мой вариант вполне не плох даже для полного нуба, пару дешвых клонов пердуино с али и все готово. Там и FTDI есть рублей за 100.
На профессиональные йобаметры цены дикие же.
Аноним 29/04/17 Суб 21:42:16  282058
2017-04-29 21.1[...].jpg (1552Кб, 3264x2448)
Это защищенный аккум или нет?
Аноним 29/04/17 Суб 22:26:45  282060
>>282058
Маркировка есть? Или она в этом QR коде загадана?
Аноним 29/04/17 Суб 22:31:59  282061
>>282058
Защищаются они дополнительной таблеткой приклеенной к торцу, вроде на фото её видно.
Аноним 29/04/17 Суб 22:44:24  282062
>>282058
NCR18650B
Аноним 30/04/17 Вск 00:26:57  282065
Сложно ли сделать материнку навесным/сквозным монтажом?
Аноним 30/04/17 Вск 00:30:00  282066
image.png (391Кб, 451x338)
>>282065
Конечно.
Аноним 30/04/17 Вск 09:28:31  282080
>>280133 (OP)
Могут ли кремниевые транзисторы быть сделаны из аморфного кремния? И так чтобы работали. Какие их характеристики будут по сравнению с теми, что из монокристалического кремния? А транзисторы из арсенида германия?
Аноним 30/04/17 Вск 09:29:22  282081
>>280133 (OP)
Аноний, помоги собрать блок лабораторный блок питания - есть трансформатор ТС-200-7, он на этой странице внизу http://vprl.ru/index/transformatory_ts_200/0-81, может быть посоветуешь несложную схему и способ, как его лучше оформить в блок питания со стрелочным индикатором и защитой от КЗ?
Аноним 30/04/17 Вск 09:46:38  282083
>>282081
Вариант - купить линейеый от Mastech всем хорош.
Аноним 30/04/17 Вск 09:52:27  282086
>>282083
>Mastech
Я сам сделать хочу, купить - не джедайский путь.
Аноним 30/04/17 Вск 10:36:58  282089
>>282086
Паяьлник тоже сам себе делал?
Аноним 30/04/17 Вск 12:10:19  282094
Хайль, Ра! Мучу ИК-паяльник из автомобильного прикуривателя вроде пикрелейтед. Подключать планирую к БП от компа 300W, где 12V линии могут давать 18 Ампер. Как не спалить нахуй нихромовую спираль? Многие пишут что она сгорает в течении минуты от ИБП. Но в тоже время дохуя видосов где парни реально используют данный девайс и ничего у них не перегорает. Стоит ли заебашить тиристорный регулятор? Или есть идеи попроще?
Аноним 30/04/17 Вск 12:24:58  282099
Безымянный1.jpg (270Кб, 680x1261)
>>282089
Собрал себе лабораторник из LM317, датчика напряжения/тока с али и подстроечных резисторов с ручками для регулировки тока и напряжения.
Пол ампера-ампер выдаёт, зависимость лютая.
Аноним 30/04/17 Вск 12:51:04  282102
0.01 сек - это достаточное время для преодоления дребезга тактовой кнопки?
Аноним 30/04/17 Вск 12:51:36  282103
>>282081
Продай эту хуйню на авито или на медь сдай.
А себе сделай что-нибудь нормальное в зависимости от потребностей. Например на базе ATX питальника.
Аноним 30/04/17 Вск 12:52:49  282104
>>282102
0.1~0.2 сек бери.
Аноним 30/04/17 Вск 14:07:08  282106
>>282102
Обычно берется 30-50 мсек, т.е. 0.03-0.05 сек
Аноним 30/04/17 Вск 14:28:01  282107
minipushbutton.[...].png (77Кб, 600x600)
>>282102
Нет. Я беру 100мс. Человек быстрее 100мс два раза кнопку не нажмёт, а дребезг может.
Причём у меня толи кнопки такие, толи значение "дребезга" я не понимаю, но если я зажму и чуть подвигаю кнопку, то она регистрирует десятки нажатий.
Аноним 30/04/17 Вск 15:26:58  282109
debezg.png (4Кб, 451x433)
>>282102
Я сделал хардварный антидребезг пикрел, и как ни странно вообще дребезга нет. Проверил осциллографом на разных масштабах от 10 мкс до 100 мс, вообще никакого дребезга, даже 0.1 вольта не появляется после нажатия. Кнопка что ли качественная такая?
Аноним 30/04/17 Вск 15:34:40  282110
14935553033630.webm (8910Кб, 640x360, 00:01:51)
ето што
Аноним 30/04/17 Вск 15:40:21  282111
>>282109
Это точно правильная схема? Это так надо гасить дребезг кондёром?
Я как не пробовал, у меня ничего не получалось. Но по такой схеме, вроде, не пробовал.
Аноним 30/04/17 Вск 15:41:18  282112
>>282110
Батарейка внутри двигателя или в картонке.
Аноним 30/04/17 Вск 15:48:31  282113
>>282111
У меня нет дребезга, могу если хочешь сфоткать экран осцилла.
Аноним 30/04/17 Вск 17:11:53  282117
>>282109
Не делай хардварный.
Достаточно правильного софтварного.
Поймал перепад с выкл на вкл и в течении 100-200 мс НЕ ОПРАШИВАЕШЬ КНОПКУ.
Такой хардварный повлияет на ресурс кнопки из-за разряда кондера на контакты кнопки.
Аноним 30/04/17 Вск 17:29:53  282119
>>281911
То же что и вверху, только вместо R - сопротивление параллельных R1 и R2.
Именно такое выходное сопротивление имеет эквивалентный генератор.
Аноним 30/04/17 Вск 17:31:47  282120
>>281922
Кто тебе сказал что он заработает?
Аноним 30/04/17 Вск 18:36:33  282126
>>282117
>НЕ ОПРАШИВАЕШЬ КНОПКУ.
Ну это геморрой. С таймером дополнительным мудиться, флаги выставлять
Аноним 30/04/17 Вск 18:38:18  282127
>>282126
Тогда можешь делать наотъебись.
Аноним 30/04/17 Вск 18:38:37  282128
>>282117
Олсо в моем девайсе нужно знать конкретное время, которое пользователь держит кнопку нажатой. Т.е. придется согласовывать аж 3 таймера.
Аноним 30/04/17 Вск 18:40:15  282129
>>281922
Это упрощенная схема, цель которой - понять принцип работы.
Здесь даже не указаны номиналы.
Аноним 30/04/17 Вск 18:42:16  282130
>>282126
>>282128
Учитесь программировать.
Всё это делается в несколько строк и нет никакой проблемы зафиксировать момент времени когда было нажатие и отпускание. Потом, вычтя одно из другого получишь время нажатия.
Аноним 30/04/17 Вск 18:50:28  282131
>>282130
Ебать ты умный. Только при дребезге там будет дохуя нажатий и отпусканий.
Аноним 30/04/17 Вск 18:55:56  282132
>>282131
Да, я умный.
Ловим перепад с 0 (не нажата) на е
1 (нажата), запоминаем метку времени, когда это произошло, посколько у нас включен антидребезг - прекращаем опрос кнопки на 100 мс.
Далее ловим момент отпускания кнопки, запоминаем момент времени отпускания, на 100 мс прекращаем опрос кнопки (антидребезг).
Вычитаем из второго первое.
Тепеиь мы знаем время в течение которого юзер держал кнопку нажатой.
Аноним 30/04/17 Вск 19:00:42  282133
UQhkoRcrY5Y.jpg (72Кб, 480x455)
Мимо добавлю:
Кнопочки нужно качественные ставить, подороже. Можно антидребезг поменьше сделать.
Аноним 30/04/17 Вск 19:06:46  282134
>>282132
>прекращаем опрос кнопки на 100 мс.
А для этого надо запустить 1-й таймер, снять флаг опроса (который предварительно проверяется при каждом опросе), затем сделать обработчик прерывания таймера, который выставлял бы флаг обратно и запускал 2-й таймер, который отслеживает непосредственно отпускание кнопки.
Аноним 30/04/17 Вск 19:41:30  282135
>>282134
Тут еще не все так просто.
Если юзер отпустит кнопку раньше, чем через 100 мс, то второй таймер так и не поймает восходящий фронт, потому что его не будет, и все зависнет нахуй.
Аноним 30/04/17 Вск 19:44:04  282136
>>282134
>>282135
Элементарно всё это делается, написать вам код?
Аноним 30/04/17 Вск 19:45:10  282137
>>282135
Значит используй кнопку, дребезг которой заканчивается раньше, чем через 100 мс. Ты вообще смотрел как долго она дребезжит?
Аноним 30/04/17 Вск 19:58:08  282138
>>282137
>Ты вообще смотрел как долго она дребезжит?
Зависит от того, как нажать. Может в 3 раза изменяться время дребезга в зависимости от скорости и силы нажатия.
Аноним 30/04/17 Вск 20:02:05  282139
>>282138
Надо смотреть. По факту длительность дребезга значительно меньше, чем то как часто юзер сможет жать на кнопку.
Попалется упоротый юзер - понажимает помедленнее.
Аноним 30/04/17 Вск 20:04:11  282140
Радач, клей лока прочный, или это просто прозрачный клей с так себе скреплением клеящихся поверхностей?
Аноним 30/04/17 Вск 20:23:45  282141
>>282139
Нажать можно очень быстро, гораздо быстрее 100 мс. Я вот по осциллографу отследил, что могу держать кнопку нажатой всего 50мс но это не значит, что можно нажимать так часто больше 1 раза.
Аноним 30/04/17 Вск 22:03:00  282146
Радач, есть одна заводская плата, и к ней надо припять шлейф. Как это делается-то, блядь, я все припоем обляпал, горелая канифоль эвривеа.
Аноним 30/04/17 Вск 22:13:08  282147
>>282146
руки из жопы достань
Аноним 30/04/17 Вск 22:16:53  282148
>>282147
Сложна, дай еще совет какой нибудь
Аноним 30/04/17 Вск 22:27:16  282149
>>282107
> Человек быстрее 100мс два раза кнопку не нажмёт
Если человек играет в кс, то нажмет
Аноним 30/04/17 Вск 22:31:03  282150
>>282149
играл в кс, с юсп стрелял с псих.скоростью, нагуглил тест — в районе 100мс между кликами.
Аноним 30/04/17 Вск 22:31:47  282151
>>282150
Минимальный клик: 50ms
Аноним 01/05/17 Пнд 05:37:03  282157
>>282009
В - это линейный. A (audio) - логарифмический.
Аноним 01/05/17 Пнд 05:41:10  282158
>>282094
Возьми квадратный галогеновый прожектор на 220В 150Вт и не еби себе мозг.
Аноним 01/05/17 Пнд 05:43:00  282159
>>282102
Мало. 50 мс нужно.
Я эксперементировал. Если меньше - возможны двойные срабатывания, если больше - кнопка становится "тупой".
Аноним 01/05/17 Пнд 05:49:17  282160
>>282117
Авотхуй. Правильный софтварный антидребезг - это поймав фронт от кнопки - обрабатывать ее срабатывание и запустить таймер на 50 мс. Повторное нажатие кнопки в течение этого периода снова предустанавливает этот счетчик на 50 мс и срабатывание игнорируется.
То есть в алгоритме фильтра есть условие что в течении предыдущих 50 мс кнопка не нажималась/дребезжала - тогда она считается сработавшей. Это работает четко.
А у тебя нажатие кнопки на секунду вызовет 10 срабатываний.
Аноним 01/05/17 Пнд 09:33:24  282164
дребезг.PNG (51Кб, 574x560)
>>282160
Аноним 01/05/17 Пнд 10:11:33  282166
1PCS-LM317-DC-L[...].jpg (67Кб, 650x549)
Анансы, подойдёт такая хреновина в качестве простенького реобаса, для регулировки скорости вращения кулера? https://ru.aliexpress.com/item/1PCS-LM317-DC-Linear-Regulator-DC-DC-4-5-40V-Turn-1-2-37V-Step-Down/32677515626.html?spm=2114.10010208.1000014.1.E4H49l&scm=1007.13338.79672.000000000000000&pvid=37647ebe-827b-46e6-8f2f-811d7e6b5e3a&tpp=1
Аноним 01/05/17 Пнд 10:18:38  282167
>>282166
пойдет
Аноним 01/05/17 Пнд 10:24:47  282169
>>281999
>Или тупо заменить оба регулятора?
Да, больше там нечему гореть.
Аноним 01/05/17 Пнд 10:27:11  282170
s-l1600.jpg (51Кб, 800x800)
>>282166
Купи лучше плату на LM2596 если не хочешь получить кипятильник.
Аноним 01/05/17 Пнд 12:49:21  282180
>>282166
Какой ток и разница напряжений?
При входных 30В, выходных 5В и 0.1А, LM317 сдетонирует. Оче горячий стабилизатор.
Аноним 01/05/17 Пнд 12:56:32  282181
сап,радач. Есть аккумуляторы от бесперебойника,12в 17А, "гелевые" (стекловата между пластин). На холостых показывают 12,5в , но если замерить под нагрузкой в виде лампы дальнего света авто - у одного падает до 0 (уаааще до 0 ),у другого до 2в. Пиздец?
Аноним 01/05/17 Пнд 13:54:14  282185
>>282166
>Анансы, подойдёт такая хреновина в качестве простенького реобаса, для регулировки скорости вращения кулера?
>Стабилизатор напряжения
>регулировка скорости кулера
Але, какой нахер стабилизатор, тебе ШИМ-регулятор нужен, гугли
Аноним 01/05/17 Пнд 13:55:19  282186
>>282181
>Пиздец
Пиздец
Либо в нагрузке КЗ(что врятли), либо им пизда
Аноним 01/05/17 Пнд 14:46:34  282188
>>282181
Дистиллированную воду уже пробовал доливать?
На ютубе тысячи видео как это сделать.
Аноним 01/05/17 Пнд 15:38:21  282189
>>282185
Не вводи людей в заблуждение.
Не все вентилляторы стабильно работают если их питать импульсами.

Но при этом АБСОЛЮТНО ВСЕ вентилляторы работают стабильно если регулировать обороты напряжением.
Аноним 01/05/17 Пнд 16:22:12  282195
>>282189
Я тут мимо проходил. А как с ESP8266 регулировать напряжение для вентиляторов, например? Что для этого надо?
Аноним 01/05/17 Пнд 16:28:15  282196
>>282195
> А как с ESP8266 регулировать напряжение для вентиляторов, например?
Сделать ШИМ
> Что для этого надо?
Транзистор
Аноним 01/05/17 Пнд 16:35:39  282198
>>282196
>ШИМ
Напряжение же спросил.
Аноним 01/05/17 Пнд 16:44:32  282199
>>282198
>Напряжение же спросил.
Ну тогда ШИМ с LC фильтром.
Аноним 01/05/17 Пнд 16:56:22  282200
Кнопка.JPG (42Кб, 529x500)
>>282164
Описанное в книжэчьке имеет смысл только если ожидается мусор на входе. Для опроса реальных кнопок, даже самых шумных - резиновых этого не нужно. Лаг в 30 мС в нажатии кнопки хорошо заметен и неприятен.

На мэдскилзе - мой (впрочем я более чем уверен, что это давно изобретенный велосипед) алгоритм.
Аноним 01/05/17 Пнд 16:57:37  282202
>>282188
А потом уже в помойку.
Аноним 01/05/17 Пнд 17:58:27  282208
>>282160
>А у тебя нажатие кнопки на секунду вызовет 10 срабатываний.
Не вызовет - т.к. нет изменения уровня, сколько угодно можно держать кнопку и такого не произойдет.

>это поймав фронт от кнопки - обрабатывать ее срабатывание и запустить таймер на 50 мс. Повторное нажатие кнопки в течение этого периода снова предустанавливает этот счетчик на 50 мс и срабатывание игнорируется.
Хорошее решение, суть которого в том, что антидребезг адаптируется, к раздолбанным кнопкам, которые уже дребезжат дольше, чем это планировалось.
Аноним 01/05/17 Пнд 18:22:18  282213
>>282189
>Не все вентилляторы стабильно работают если их питать импульсами.
Кулер точно будет работать, в материнках они именно по ШИМу управляются
Аноним 01/05/17 Пнд 18:24:27  282214
>>282213
> именно по ШИМу управляются
по ШИМу у меня только одна управляет, интеловская, остальные - напругой.
Аноним 01/05/17 Пнд 18:26:51  282215
>>282214
Ну бля, хз
Ни разу сам не видел управления оборотами напругой
Аноним 01/05/17 Пнд 18:41:29  282216
zalman-rheobus-[...].jpg (43Кб, 800x800)
panel5[1].jpg (331Кб, 1962x1165)
>>282213
Серийные реобасы - линейные.
Аноним 01/05/17 Пнд 18:53:13  282219
Можно ли как-то наколхозить rp-sma коннектор? Поблизости не купить, ждать нет времени, паять напрямую не хочу.
Аноним 01/05/17 Пнд 22:41:21  282229
Нужна инфа на трапсформатор ТПМ3-6.
Аноним 01/05/17 Пнд 22:41:58  282230
>>282117
>>282160
охуели что ли 100 или 50 слишком долго
10 максимум а то будет заметно
на практике и 10 ждать не нужно, 2мс достаточно
допустим если таймер в котором опрашивается пин срабатывает каждые 500us, то если 4 раза подряд пин в одинаковом состоянии, то считается что дребезг закончился. 2мс работает нормально для любых кнопок что я пробовал.
Аноним 01/05/17 Пнд 22:52:13  282231
Восхитительный байт.
Аноним 01/05/17 Пнд 22:54:11  282232
>>282231
А вообще сириуз гайз, как старшая тетрада по ихнему будет?
Аноним 01/05/17 Пнд 23:03:04  282234
>>282232
что такое тетрада? где такие хитровыебаные понятия применяются?
Аноним 01/05/17 Пнд 23:08:00  282235
>>282234
Ну старший полубайт. Левая часть 4 битов в байте. Я хуй знает где применяют другие, я любитель.
Аноним 01/05/17 Пнд 23:08:04  282236
а, половинка байта что ли. думаю что за тетрадь. nibble это. low nibble/high nibble
тетрада аааааа (пистолет в рот)
Аноним 01/05/17 Пнд 23:11:53  282237
>>282235
кстати есть простое и понятное русское слово ниббл. греческие слова слишком сложные.
хуже тетрады только гексадецит Ж)
Аноним 01/05/17 Пнд 23:14:14  282239
>>282237
Ну а старший ниббл как будет? eld Jun?
Муриканцы так же как и мы называют? Или у них свое название вроде masterSlave нашим ведущийВедомый
Аноним 01/05/17 Пнд 23:15:36  282240
>>282239
написал же выше - high nibble.
да, это они из русского сперли слово ниббл.
Аноним 01/05/17 Пнд 23:17:57  282242
>>282240
А для 16 бит, старший байт не будет же high byte? low byte?
Аноним 01/05/17 Пнд 23:21:30  282243
>>282242
будет, почему нет. палю прием надежный: забей в гугл high byte low byte и увидишь.

или MSB тоже. "B" может означать бит или байт.
Аноним 01/05/17 Пнд 23:27:07  282244
14129650220490.jpg (79Кб, 610x600)
>>282243
ой вей, гугл не шутил.
Смешные названия.

Но все-равно спосибо.
Аноним 02/05/17 Втр 05:18:12  282256
>>282208
Это единственно верное решение для кнопки с дребезгом, которая может шуметь не только на фронтах. Таких кнопок как бы не большинство - резиновые просто все, 5мм щелкушки становятся такими после минимального старения.
Иначе при всех твоих дискретных защитных задержках ты вполне можешь поймать при очередном опросе не состояние а дребезг и получить ложное срабатывание.
Аноним 02/05/17 Втр 05:19:04  282257
>>280133 (OP)
Радиачи, посоветуйте годный симулятор для аналога нубу.
Недавно угорел по AVRкам, юзаю протеус и AVRstudio.
Решил угореть по аналогу и жестоко обламался. При попытке симулировать мультивибратор все вырубается. Покурил форумы, покрутил настройки - в итоге симуляции хватает на 1 такт. Разозлился, откатил настройки к дефолтным.
Короче докрутился до того, что теперь приходится открывать пример, сохранять его как, все удалять и только после этого можно работать. Придется по ходу его переустанавливать, как домой приеду.
Аноним 02/05/17 Втр 05:23:18  282258
>>282230
На практике вполне себе можно диагностировать срабатывание по первому фронту с кнопки. Иначе если ждать накопления - ее либо часто слишком опрашивать надо (как в твоем примере, а я опрашиваю раз в 5 мС обычно), либо она будет тупая.
А антидребезгом защищаться от ПОВТОРНОГО срабатывания. Для чего достаточно как раз 50 мс. Вряд ли кто-то способен тыкать кнопку чаще 20 раз в секунду.
Аноним 02/05/17 Втр 07:35:12  282262
Подскажите, что это за схема?
Аноним 02/05/17 Втр 07:36:51  282264
>>282262
Собери всимуляторе.
Аноним 02/05/17 Втр 07:37:53  282265
>>282257
LTSpice
Аноним 02/05/17 Втр 08:49:30  282268
>>282262
Фильтр полосовой.
Аноним 02/05/17 Втр 10:08:56  282273
>>282103
У меня еще трансформатор Украина есть, в белой коробке с дырочками от телевизора, тож на медь, толку никакого?
Аноним 02/05/17 Втр 11:20:09  282277
Посоветуйте недорогой H-мост не драйвер H-моста на ток до 0.5 А
Аноним 02/05/17 Втр 12:27:15  282286
e58af4f7616219a[...].jpg (62Кб, 698x349)
>>280133 (OP)
Поясните за гелевые/AGM аккумуляторы.
Какое напряжение должно быть на одной банке при полном заряде и полном разряде? Нужно, соответственно, для самодельной зарядки и индикатора разряда. Чтобы не откинулся после нескольких циклов использования.
Аноним 02/05/17 Втр 12:30:06  282287
>>282273
Это феррорезонансный стабилизатор напряжения. Интересная вещица, может найти применение даже в наше время.
Алсо меди в нём нет.
Аноним 02/05/17 Втр 12:44:23  282290
465124365252.PNG (68Кб, 424x283)
>>282286
Зарядки тут наверное каждый второй делал на базе АТХ.
А вот контроль разряда как-то не приходилось ещё.
Аноним 02/05/17 Втр 12:47:36  282291
>>282290
ясно. спасибо
Аноним 02/05/17 Втр 12:49:49  282293
>>282286
> При полном заряде
2.25 В
> и полном разряде?
1.75 В
Аноним 02/05/17 Втр 12:56:17  282295
842e9bd92cfb7aa[...].jpg (213Кб, 853x1280)
>>282293
и тебе тоже.
Аноним 02/05/17 Втр 12:57:53  282296
Ну там ещё есть всякие тонкости, типа заряда до 2.48в с последующим переходом на "капельный" заряд, "кривые" зарядного тока, десульфатация микросекундными высоковольтными импульсами и прочая эзотерика в кроличьей норе. Задротство сплошное.
Аноним 02/05/17 Втр 13:10:55  282299
>>281944
Сам разобрался, без вас. Ковыряйте и дальше свои ардуинки, да скетчи копируйте.
Аноним 02/05/17 Втр 13:39:44  282304
>>282277
Tea3717, 3718
Аноним 02/05/17 Втр 14:54:12  282309
блядский чип и дип, прислали другую микросхему в другом корпусе, и выебываются еще тем что отличается от той что я заказывал только корпусом. а то что плата разводится под определенный корпус (И он явно был указан в заказе) их не ебет, как и то что отправленная микросхема стоит 190 рублей, а не 20, которая нужна мне
Аноним 02/05/17 Втр 14:55:31  282310
>>280133 (OP)
Я разобрал электронную книгу, в ней был динамик, я подал на него 2.5 В постоянного тока, звук был. Но почему? Это же постоянный ток, а не переменный. Дребезг контаков?
Аноним 02/05/17 Втр 15:26:10  282314
У меня вопрос. В ноутбуке постоянно пыль собирается и я люблю вырезать в бумажке отверстие, приложить к решетке, где вентилятор и сверху трубу пылесоса на максимум.
После чистки температура падает на 20-30 градусов, но пылесос раскручивает вентилятор.
Запасной у меня есть, я догадываюсь, что однажды лопасти оторвёт, но вопрос в другом.
Каков шанс, что вентилятор в режиме генератора из-за пылесоса выдаст -30 вольт на плату и что-нибудь спалит?
Или там всё защищено и электричество, вырабатываемое от пылесоса ничего не сожжет?
Аноним 02/05/17 Втр 15:55:42  282315
>>282314
Какие интересные у тебя развлечения.
Аноним 02/05/17 Втр 16:33:29  282317
>>282314
Лопасти не оторвет, а подшипник может расколбасить.
И хуй там, а не 30 вольт. Ишь, чего захотел.
Аноним 02/05/17 Втр 17:39:35  282321
>>282310
Посмотри как устроен динамик и вопросы отпадут.
Аноним 02/05/17 Втр 17:58:01  282325
1493615502.jpg (77Кб, 824x1024)
Sup, /ra/.

Накопилось несколько банальных идей, но я не знаю как подойти к их реализации.
Например, есть бензиновый литровый двигатель. На нем различные датчики. Необходимо создать устройство, которое
записывает данные с различным интервалом времени для разных групп датчиков. Например, запись количества оборотов коленчатого вала - каждые 5 секунд, запись уровня топлива - каждые 5 минут. Датчиков может быть до 20 штук. Данные можно выгружать на ПК и по ним уже строить различные графики. Черный ящик для ДВС.
Обрабатывает другую группу датчиков и выдаёт оператору различные оповещения. Низкий уровень топлива/масла/воды, высокое количество оборотов, перегрев, ну ты понел.
Выводит данные/предупреждения в реальном времени на дисплей. Там так же может быть информация о дальнейшем тех.обслуживании или о количестве сожранного топлива за последние 24 часа.

Знания нулевые. На чем это легче реализовать? AVR, STM32, Arduino, Raspberry Pi? Или пока вообще забыть об этом и тщательно изучать самые азы? Тупо читать книгу за книгой, пока что-нибудь да не получится? Начать с минимума свыше?
Это же не мой профиль. Ни друзей, ни товарищей, которые могли бы разжевать ту или иную проблему, нет. Боюсь что, если в одиночку буду покорять столь огромное количество информации, то моего энтузиазма хватит ненадолго.
Аноним 02/05/17 Втр 17:59:09  282327
>>282321
Что-то не отпадают. Долго еще смотреть?
Аноним 02/05/17 Втр 18:07:57  282329
што.jpg (165Кб, 1070x1422)
Посоны, вопрос есть таков.
Вот в треде с красивыми часами для газоразрядных приборов используют динамическую индикацию (кто-то и статику, но не важно) В качестве ключа вот такой вот каскад на пике
Вопрос - зачем? Почему нельзя обойтись одним транзистором?
На базу если что 5В приходят, а управляется напряжение около 180В
Не хватает усиления по напряжению? Много тока надо для такого управляемого напряжения? Или что то сверх того?
Аноним 02/05/17 Втр 18:20:26  282331
>>282329
Ты не очень понимаешь как транзистор работает.

http://radiokot.ru/forum/viewtopic.php?f=3&t=27324&start=180
Страницы 10~12, с картинками.
Аноним 02/05/17 Втр 18:51:34  282335
6c194a9d0eacc1a[...].jpg (316Кб, 830x644)
sup /radio/

в телевизоре хочу заменить кондеры 100мкФ 16 вольт, как называется тип корпуса/типоразмер чтоб заказать в магазине ?
Аноним 02/05/17 Втр 19:22:42  282337
Есть ntc термистор, на нем написано BS100L, как узнать характеристики его? В гугле нихуя нагуглить не могу.
Аноним 02/05/17 Втр 19:32:29  282339
>>282327
До просветления.
Аноним 02/05/17 Втр 20:25:56  282345
>>282335
Это точно они въебали?
Аноним 02/05/17 Втр 20:27:21  282347
DOC001399819.jpg (32Кб, 561x600)
Чому у реле максимальный коммутируемый ток зависит от коммутируемого напряжения? Разве контактам не похуй какое там напряжение, если ток одинаковый? Или тут дело в образовании дуги и она может не погаснуть на высоком напряжении?
Аноним 02/05/17 Втр 20:37:33  282349
>>282347
Оно залипнуть может. Контакты сварятся.
И, как я понял, в механических реле обязательно когда-нибудь это происходит.
Аноним 02/05/17 Втр 20:39:27  282351
>>282345
да, косяк этой модели тв, пару сообщений нашел на форумах - замена этих кондеров помогает(высокий ESR)
Аноним 02/05/17 Втр 20:40:49  282352
>>282349
>в механических реле обязательно когда-нибудь это происходит.
В смысле? Слаботочки это тоже касается?
Аноним 02/05/17 Втр 21:12:51  282358
>>282352
Не знаю, мне так в /ra/ сказали. Сам купил 10 релюх для ламп накала 220 вольтовых, теперь не знаю чего с ними делать.
Аноним 02/05/17 Втр 22:28:29  282365
>>282347
Внезапно, высокий ток может сварить контакты, высокое напряжение даст пробой.
Аноним 02/05/17 Втр 22:34:25  282367
У меня вопрос по бесперебойнику. Короче, есть один ИБП. Суть в том, что он срабатывает как бы с задержкой. Всё нормально, нагрузку вроде держит, но при отключении сети, он начинает работать в автономке с небольшой задержкой (секунда, может чуть меньше). Ну, прибор и отрубается, и главное, гадёныш, потом включается снова. так как питание уже пошло, но этой секунды задержки хватает для отключения. Короче. надо что-то делать. Я думаю тут или с реле что-то не то, или с конденсаторами в ИБП. Спрашиваю, может у кого есть опыт ремонта бесперебойников и вдруг такая проблема имеет характерную причину. Хотя, и просто мысли раданов по этому поводу интересны.
Аноним 02/05/17 Втр 22:38:37  282368
>>282335
Меряй штангелем
@
Заказывай
Аноним 02/05/17 Втр 22:48:48  282369
>>282310
Наводки, или если ты припаялся 2.5 вольтами прямо к динамику в схеме, то возможно запитал не только его, а еще и схему которая его теребит.
Аноним 02/05/17 Втр 23:07:21  282371
Пацаны, есть некий заголовочный фаил .h и к нему .c если объявлять в СИ переменную, то все нормально, если в .h то ругается что редифайн, хотя не ясно где первое объявление, обычно если оно есть, на обоя объявления указывает ошибка.
Аноним 02/05/17 Втр 23:24:50  282374
001.JPG (9Кб, 226x242)
001.JPG (136Кб, 1009x1017)
>>280133 (OP)
слыш админ
ту у когого дома?
пора бы у жу закрепить печку шизика
проверку ана прошла
двумя

https://youtu.be/hwGDaUzHSbY
неверь анончик
никвс=му

ети идары вытягивают из тебя
все
ГОВАРИ ИМ НЕТ
где шизика печка?ъ
ани тянут и прордают тваи идеи
китайцам
ты с этого нее имееш неи хуя
ани да
а ты х сасеш анониг
и кто будет отстаивать тваю ога?
ани?
этот путлер дано продажный
он сдал в у плату
ккм бл\дь он продал?
а если?
небудет никаких если в твоей стране
ани быстей тебя все это ...
я знаю
и личтно мне похуй
10 лет
все настолько все просто....
в этой РФ
так не будет
Аноним 02/05/17 Втр 23:50:46  282376
необходимо учица программирувать рнакеты до канкретной цели
притом так чтобы ракеты не растрескиваясь шли
и притом летели на всех парах
чтобы даже перспективнаи РЭБ
на них не имели никакова влияния
притом чтобы учитывалось степень вздыбениния ...
их мног нам похуй
а если примут одиночный удар?

и спецальнай наш бетонобойнай
который пробивает толшу земли на 100 метров
да ?
тебьяж по твоему гейфону пернвого пор
зят
продаными алгаритмами или америкосы?
или наши?
ебать никто ничего теперь не может доказать
ЗНАЧИТ МОЖНО БЕЗНАКАЗАННО УЕБАТЬ

чем ани там доказали хим оружие?
а щипали нас
может нам тоже стоит "неуправляемую "
только без жертв например старенькую из кндр
Аноним 02/05/17 Втр 23:54:52  282377
а кого поразить? саудитов епта))))
сжеч пустыню в нахуй
превратить все тама в пепел
одним зарядом
и нет копротивления
Аноним 03/05/17 Срд 00:00:50  282378
14132248659680.jpg (85Кб, 494x604)
>>282374
В контактах 0.01г серебра в каждом
>>282376
>>282377
Запилиш ракеты на attiny13? Слабо поди, да, шизоид? То-то же...
Аноним 03/05/17 Срд 00:14:32  282379
>>282365
А почему 14 вольт 20 ампер не сварит контакты, а 250 вольт 20 ампер сварит?
Аноним 03/05/17 Срд 01:40:32  282384
Анон, искал тут нормальный microUSB на 2 метра и заебался. В основном это какое-то говно на .5 - 1м. Вот я задумался, какой-нибудь пачкорд можно хоть необжатый купить сколько хочешь, какие подводные припаять к нему с краев microUSB и USB ?
Аноним 03/05/17 Срд 02:09:25  282385
>>282384
Ты АБСОЛЮТНО НИХУЯ НЕ ПОНИМАЕШЬ В ПРОВОДАХ
Объяснять дауну с витухой не буду.
Поэтому коротко: тебе нужен МГТФЭ.
Получится практически вечный, не убиваемый, сколько не изгибай, провод. Хоть узлы завязывай. Экранированный. И ток большой держит. Это лучший вариант для USB и наушников.
Аноним 03/05/17 Срд 02:16:02  282386
>>282385
зашел в /ra показалось что в /ga
мне ток клаву воткнуть, какой там большой ток

но за кабель спасибо
Аноним 03/05/17 Срд 09:06:52  282395
>>282385
>мгтф
>экранированный
Аноним 03/05/17 Срд 10:06:12  282396
>>282371
Попробуй добавить в заголовок (.h) директиву `#pragma once` может поможет
Аноним 03/05/17 Срд 10:32:42  282400
>>282385
>МГТФЭ
>вечный
>Экранированный
>НЕ ПОНИМАЕШЬ В ПРОВОДАХ
Скорее ты, лёл
Аноним 03/05/17 Срд 11:26:07  282404
>>282379
При размыкании контактов возникает дуга. Чем выше напряжение - тем больше вероятность ее возникновения. Произведение тока нагрузки на напряжение разомкнутых контактов - дает мощность дуги. Производитель эту мощность ограничивает, ограничивая максимальный ток при высоком напряжении.
Аноним 03/05/17 Срд 11:30:03  282405
>>282386
Тогда любое говно подойдёт.
Аноним 03/05/17 Срд 11:30:22  282406
>>282351
Сами эти SMD электролиты - редкое говно, и имеют очень низкую надежность и повышенный ESR с новья.
Рекомендую заменить их на конденсаторы в обычном корпусе, изогнув ему выводы и припаяв к дорожкам сверху.
Да и припаять их так легче будет. SMD же паяются только нагревом всей платы феном. Просто тыкая в торчащий кончик вывода паяльником - полигон под конденсатором не прогреть.
Аноним 03/05/17 Срд 11:31:25  282407
>>282367
Может он у тебя просто всемирно известной фирмы DNS?
Аноним 03/05/17 Срд 11:33:16  282408
>>282374
Пошел в жопу отседова, психо дебильное.
Аноним 03/05/17 Срд 11:33:33  282409
>>282374
Он на самом деле болен или симулянт?
Похожего я видел в /rf, только он нёс совсем неадекватный бред.
Аноним 03/05/17 Срд 11:35:35  282410
>>282395
мгтфЭ же.
Но использовать его для USB? Пиздит косой.
Аноним 03/05/17 Срд 11:37:41  282412
>>282409
Да болен конечно. Можно было бы пожалеть, но жалеть гопника-шизофреника как-то не с руки.
Аноним 03/05/17 Срд 11:44:38  282415
А можно ли использовать автомобильное реле для коммутации 220в?
Аноним 03/05/17 Срд 11:58:46  282420
>>280133 (OP)
Сап /ra, суть такова: нужно пройти собеседование на должность "радиочастотное планирование", я, понятное дело, нихуя не знаю, поэтому реквестирую возможных вопросов для собеседования
Аноним 03/05/17 Срд 12:11:01  282423
>>282415
Принципиальной разницы вроде нет, но я бы не стал. Изоляция не нормирована для сетевого напряжения.
Аноним 03/05/17 Срд 13:51:50  282432
>>282347
Дуга.
Аноним 03/05/17 Срд 16:48:04  282443
какой максимальный ток у реле рэс42.569.151?
Аноним 03/05/17 Срд 17:40:11  282446
Ебать че-то почта рассии просралась, 3 месяца не приходило ни одной посылки с Али, а вчера и сегодня аж 6 штук.
Аноним 03/05/17 Срд 17:55:36  282447
6c19481279d0eac[...].jpg (650Кб, 2423x1635)
>>282406
попробую- там правда экран,

а что посоветуешь взять в микронике (ДС2)?
Jam 100 мкф - 16в 5x11 11.00
ECA 100 мкф - 16в 6x13 35.00
ECR 100 мкф - 16в 5x11 4.00
EHR 100 мкф - 16в 5x11 9.00
VK 100 мкф - 16В укор.выв. 7.00
ELR 100 мкф - 16в 6x11 13.00
EMR 100 мкф - 16в 6x7 10.00
EMR 100 мкф - 16в 6x7 12.00
EMRL 100 мкф - 16в 6x7 13.00
ERS 100 мкф - 16в 6x11 86.00
ESX 100 мкф - 16в 6x11 15.00
EXR 100 мкф - 16в 6x11 14.00
Аноним 03/05/17 Срд 19:01:29  282453
У меня усилитель с двухполярным питанием. +-20v на 15w. Каждое плечо трансформатора должно отдавать по пол ампера. Общая мощность трансформатора 15w. Да?
Аноним 03/05/17 Срд 19:02:22  282454
>>282400
таки МГТФЭ экранированный
Не вечный конечно, но вполне живучий, лучше омедненного говна, которое можно у нас в радиомагазинах купить
В военку МГТФ ставят, значит надежно, ёба!
Аноним 03/05/17 Срд 19:16:14  282455
>>282454
>В военку МГТФ ставят
Кстати да.
Аноним 03/05/17 Срд 19:26:36  282456
Как делают эти красивые зелёные и синие платы? Дайте мне ссылку на статью или на видео, где это подробно объясняется. Или сами напишите мне. А то я так и не понял что такое лужение, развод. Помогите мне, а то так и буду делать схемы на картонке и с медными проводами. Гугл шлёт меня нафиг с таким вопросами. Кажется что это какое-то тайное знание.
Аноним 03/05/17 Срд 19:43:16  282457
.jpg (39Кб, 430x280)
Я по-ходу сжег свой первый ( и пока единственный) мультиметр.
Будто старого друга потерял.
Скажите, что такое бывает часто и я не один долбоёб.
Аноним 03/05/17 Срд 19:51:52  282458
IMG201602271630[...].jpg (134Кб, 1920x1082)
>>282456
> Гугл шлёт меня нафиг с таким вопросами.
Ты тут не толсти. Гугли - паяльная маска.
Аноним 03/05/17 Срд 19:54:48  282461
>>282458
Всё-равно нифига не понятно. Какие-то сложные термины.
Аноним 03/05/17 Срд 20:35:26  282468
>>282461
Какие из терминов - сложные?
Аноним 03/05/17 Срд 20:56:01  282469
>>282456
Мне кажется этот спрашивал не про маску, а ЛУТ.
Смотри на ютубе "плата ЛУТ", или "плата фоторезист", но это слишком сложно.
Аноним 03/05/17 Срд 21:02:06  282470
Планирую обмазаться 9-ю 1W светодиодами.
Оче греться будет? Какой радиатор нужен?
Аноним 03/05/17 Срд 21:25:30  282473
14326870832951.jpg (63Кб, 728x436)
>>282470
На 9 вать.
Аноним 03/05/17 Срд 21:34:44  282474
>>282457
>Скажите, что такое бывает часто и я не один долбоёб.
Не скажем
Померил ток в розетке? Или милливольтмером сеть?
Аноним 03/05/17 Срд 21:39:17  282475
1449679051594.png (18Кб, 199x183)
>>282474
Я свой первый спалил, когда мне было лень за кроной, и я повесил её на 12в от источника. Потом зашел товарищ, и предложил померять напружку в сети. Я думал там кренка стоит. Надо было хоть проверить, а не ДУМАТЬ.
Аноним 03/05/17 Срд 21:39:18  282476
33629311716b0cf[...].jpg (70Кб, 640x480)
sku2138431.jpg (37Кб, 600x600)
Чуваки, нужна консультация у гуру по светодиодным лентам. Хочу сделать себе светодиодную подсветку для компьютерного стола. Как на пике или по проще. Цель: что бы свет от монитора ночью не бил по глазам. Со светодиодными лентами я раньше дел не имел, по этому всплыло пара вопросов:
1) Какого типа лента подойдет для моих целей? Хотел взять SMD 5050 60 д/м, но не будет ли это слишком ярко?
2) Беда с диммерами/контроллерами. 95% продающихся диммеров - управляются с ИК-пультов/телефонов. Для моих целей это не нужно. Оставшиеся 5% - говно говном. Может посоветуете что нибудь вменяемое?

Бонус https://www.youtube.com/watch?v=WzyndRjVOE8
Аноним 03/05/17 Срд 21:50:54  282477
.jpg (27Кб, 416x388)
>>282476
Я делал такую подсветку для выдвижной клавиатуры. Запитал от пека и она включалась вместе с пека.
Хуета. То ли свет неприятный. Проще настольную лампу включить.
Аноним 03/05/17 Срд 22:02:10  282478
чому тут после 8 вечера резко подскакивает скорость постинга? до этого времени постов вообще нет
Аноним 03/05/17 Срд 22:05:46  282480
>>282474
> Померил ток в розетке?
Лол, ну не настолько. В патронах люстры напряжение, переключатель выкрутил задом напротив 750V, а указателем напротив 2000 Ом.
Теперь какую-то рандомную хуйню показывает вместо правильных значений.
Аноним 03/05/17 Срд 22:07:18  282482
>>282477
А чего не приятный? Цвет не тот? Или яркость?
От компа конечно 3-4 метра ленты не запитаешь.
Аноним 03/05/17 Срд 22:08:36  282483
>>282480
Лол, это еще круче, ты померил сопротивление розетки.
Аноним 03/05/17 Срд 22:12:22  282485
>>282480
Толсто
Аноним 03/05/17 Срд 22:14:06  282486
>>282485
Хуелсто. Не палит приборы только тот, кто не пользуется ими.
Ну или у тех у кого куча входных защит.
Аноним 03/05/17 Срд 22:16:55  282487
>>282480
Измерь ОСТАЛЬНЫЕ ПАРАМЕТРЫ РОЗЕТКИ.
Ток в последнюю очередь.

С видеопруфами.
Аноним 03/05/17 Срд 22:30:46  282489
>>282485
Что толсто?
Переключатель (ручка) одинаково выглядит с обеих концов, у указательного конца только маленькая неприметная впадина/выступ в виде стрелочки/пимпочки, без выделения цветом. И таких моделей много, можно зафейлить если видимость плохая.
>>282487
Сейчас, схожу за штангенциркулем, начну с измерения расстояния между дырками отверстиями.
На самом деле нет.
Аноним 03/05/17 Срд 22:50:42  282491
>>282453
Бля анон. Обмотки по пол ампера или по амперу?
Аноним 03/05/17 Срд 23:06:38  282492
>>282258
понятно, у меня другой подход. допустим у меня 10 кнопок. вот это >>282160 не годится. не 10 же таймеров запускать. у меня один таймер на все кнопки и работает он постоянно с частотой 500us или 1ms и в обработчике проверяется состояние каждого пина. exti вообще не используются.
Аноним 04/05/17 Чтв 00:05:19  282496
>>282486
Регулярно пользуюсь, не палил приборы. только 2 атмеги спалил, когда случайно подал 15 вольт
Аноним 04/05/17 Чтв 00:26:31  282498
https://www.youtube.com/watch?v=Q2pMjGqc6mM
Почему тут микры не подыхают при повышенном в разы питании? Затыкаются от перегрева, но остывают и снова пашут!
Почему оно так? Объясните. У меня импорт 74hc умер от ~20% превышения питания, совок не пробовал. Я не понимаю как оно у мужика выживает. Поясните.
Аноним 04/05/17 Чтв 00:29:52  282500
1493846982079.jpg (1895Кб, 3264x2448)
Нашёл в ящике флешку от старой беспроводной мышки, которую года два назад разобрал на детали. В корпусе была плата. Вопрос – можно посмотреть, что внутри этой хуйни или она не является накопителем?
Аноним 04/05/17 Чтв 00:41:26  282501
14671825702510.jpg (29Кб, 316x310)
>>282500
> флешку
с кварцем. Гигабайт на 500 наверное.
Аноним 04/05/17 Чтв 01:01:56  282502
>>282498
> К155ЛА3 и К131ЛА3
> 74hc
Учить матчасть, быстро, решительно! 155 и 131 серия - ТТЛ, 74HC - КМОП.
Ну и в порядке ржаки погуглить про тиристорный эффект.
Аноним 04/05/17 Чтв 01:16:27  282504
>>282502
Ну и что, там один куй по паспорту напряжение в разы меньше чем у мужика в видео! Почему ТТЛ не дохнет? Если оно такое живучее, то почему занизили паспортное напряжение в 2+ раза?
Аноним 04/05/17 Чтв 09:57:14  282519
656574.png (524Кб, 3840x2160)
Добрый день анончик, надумал открыть радио fm в своей деревне+ 150км в округе, погуглил но с ходу нихуя не понял. Сколько будет стоить оборудование под такую идею? В 15-20 деревянных можно уместиться?
Аноним 04/05/17 Чтв 10:03:01  282520
Как понять кВАр конденсатора? Вот к примеру если у конденсатора 100кВАр, то о чем это говорит? О том, что он может выдержать синусоидальный ток с действующим значением 10А и амплитудой 10кВ? Или я неправильно понимаю.
Аноним 04/05/17 Чтв 11:10:22  282528
image.jpeg (1541Кб, 2592x1936)
Канифоли в хату, раданы.
Вырвал недавно разъем у себя из камеры, а запаять слишком мелковато.
Ищу мастера или анонс, который готов взяться. Ее за просто так, конечно.
Разъем micro-HDMI (type D)сам разъем живой, дорожки тоже вроде целы
Аноним 04/05/17 Чтв 11:37:18  282534
Забыл сказать, москва.
Аноним 04/05/17 Чтв 12:12:20  282536
>>282528
>запаять слишком мелковато
Флюса побольше и всё само спаяется. Поверхностным натяжением стянет и мостиков не будет.
Аноним 04/05/17 Чтв 12:29:50  282539
>>282482
Чому не запитаешь? Я два метра от одного молекса запитал. Вроде так питание старых винчестеров называется.
Мне не понравилось, хуй знает почему. Тут ярко, тут не ярко, тут хуй пойми. А настольную лампу повыше поднял и заебись. Всё равномерно подсвечено.
Аноним 04/05/17 Чтв 12:49:21  282541
Стремно просто, там рядом чип какой-то, а у меня кроме оьоссаного паяььника ничего нет. Ни фена ни скотча, что бы не перегреть.
Ссыккю в общем.
Но спасиб, попробую
Аноним 04/05/17 Чтв 13:46:36  282544
>>282519
>В 15-20 деревянных можно уместиться?
Можно
Но тебя не это должно волновать
Чтобы вещать на более-менее приличных мощностях (а уж тем более в fm) нужно получить разрешение на использование полосы частот и сертификат радиолюбителя, чтобы вещать не на миллипиздрической мощности
Оборудование должно иметь сертификат и зарегестрировано
Это если ты не пират-червь-пидор
Аноним 04/05/17 Чтв 15:14:39  282549
LpEzqAucOko.jpg (176Кб, 609x1080)
Что за пленка?
Аноним 04/05/17 Чтв 16:17:19  282550
>>282549
Это вроде скотч, нет?
Аноним 04/05/17 Чтв 16:30:37  282551
>>281678
У меня всё работает нормально. Может, ты не умеешь в настройку схем?
Аноним 04/05/17 Чтв 16:47:01  282552
.jpg (78Кб, 499x460)
Ищу себе щупы с крокодилами на али.
Такой набор нормально будет? Подводные камни этих винтовых насадок? Сопротивление большое?
Или покажите, что сами рекомендуете.

И ещё вопрос - если на щупы надевать неодимовые магниты (с отверстием, бублики короче), это не повлияет на паказания и вообще на работу мультика?
Аноним 04/05/17 Чтв 16:59:00  282553
Ребята, на каких ресурсах можно читать про самые новые хай-тех махарайки и открытия в области махарайничества, такие как слитые спецификации на ранее закрытые камни, новые горизонты, острие науки и всё такое? Просто я осознал, что я черпаю информацию из десять раз протухших форумов. Вот например, захотел я накатить новую прошивку на свой китайский ардуиноподобный осцил, полез на официальный сайт, а там большая часть ссылок не открывается даже, форум покинут и забыт, а в низу сайта надпись All rights reserved 2009 - 2012. Нахлынувшую на меня тоску не передать словами. Никогда не сидел целенаправленно на каком-то одном сайте, помимо майлача разумеется, что нужно искал через гугл, а тут не знаю даже, захотелось быть как-то в тренде чтоли, хоть это и просто хобби.
Аноним 04/05/17 Чтв 20:19:36  282561
>>282553
ftp://ftp.radio.ru/pub/2017/04/4.pdf
Аноним 04/05/17 Чтв 20:32:41  282562
>>282552
Берешь уебанные щупы, выкидываешь нахуй оконечники пластиковые и заменяешь их крокодилами из радиомаганзина за 5р штука, все
Сколько не видел щупов с накручивающимися крокодилами они были либо говно либо дорого
Аноним 04/05/17 Чтв 20:55:48  282563
>>282468
лужение, травление, разводка. Но я уже нашёл что плата делается из металопокрытого текстолита и что каким-то образом делаются дорожки на нём. Но как делаются? И если дорожки медные то придётся лаком каким-нибудь потом закрашывать, чтобы не окислялась?
Аноним 04/05/17 Чтв 20:57:18  282564
>>282562
Пожалуй так и сделаю, как раз есть уёбаные.
Аноним 04/05/17 Чтв 21:20:47  282565
Сап, есть одна глушилка на sn74so4 и на одном конденсаторе М47 на 110пф запитываю от кроны на 9v сильно грееться, стоит ли уменьшать напряжения? Если да то насколько?
P.S глушит очень слабо, как повисить мощность?
Аноним 04/05/17 Чтв 21:25:32  282567
>>282528
К мобильщикам отнеси, они такую хуйню регулярно делают.
Аноним 04/05/17 Чтв 21:27:57  282568
>>282565
>хочу понизить тепловыделение
>и повысить мощность
Тебя ничего не смущает?
Аноним 04/05/17 Чтв 21:30:28  282569
>>282568
суть вопроса в том не слишком ли много напрядения я подаю и как улутшить схему там мб что нибуть добавить
Аноним 04/05/17 Чтв 21:32:01  282570
>>282569
Для начала поставь скрипт который выделяет ошибки в тексте, чтоб не писать улутшить.
Аноним 04/05/17 Чтв 21:37:26  282571
>>282570
Я с телефона
Аноним 04/05/17 Чтв 23:01:49  282575
14572941321500.jpg (244Кб, 750x982)
Радоны, после нескольих ударов током, взрывов и прочего у меня тремор при работе паяльником/щупом осцилла.
Есть шанс вкатиться на работу? Или побороть (кроме стопарика).
Аноним 04/05/17 Чтв 23:09:48  282577
>>282575
Че взрывал? Тебя контузило что ли?
Аноним 04/05/17 Чтв 23:11:24  282578
>>282577
Видимо, страх на подсознанке.
Кондеры с неправильной полярностью, как обычно.
Аноним 04/05/17 Чтв 23:16:59  282580
>>282578
Ты какой-то странный. Кондеры не так сильно хлопают.
Попробуй одень маску на глаза, и заземляющий браслет.
Аноним 04/05/17 Чтв 23:18:41  282581
>>282577
Так и представляю как сервисник ползает по полу, в комнате все в дыму, в ушах свист рядом орут покалеченные коллеги, и слышны очереди мелких конденсаторов которые взрываются друг за другом.
Аноним 04/05/17 Чтв 23:18:50  282582
>>282580
Сейчас бы обсуждать нерациональные реакции на резкие взрывы. Может я аутист.
Защита выглядит леджит. Хотя страха получить КЗ на плате при хорошем замере это не убавит.
Аноним 04/05/17 Чтв 23:19:27  282583
>>282581
У меня в сумке в метро закоротил кондер на 10.000 мкФ. Весело было.
Аноним 04/05/17 Чтв 23:23:58  282586
>>282582
Хуй знает. У меня наоборот, когда только начинал, то немного очковал.
А потом, когда потрогал несколько инверторов на тысячи вольт, разрядил пару сетевых кондеров в себя, разъебал несколько САМОДЕЛЬНЫХ плавких вставок и варисторов, то стало как-то похуй.
>>282583

ТАК ВОТ КТО ЭЛЕКТРИЧЕСТВО С РАБОТЫ ПИЗДИТ В КОНДЕНСАТОРАХ, ВОТ ТЫ И ПОПАЛСЯ!

Аноним 04/05/17 Чтв 23:27:30  282587
>>282582
Еще узо на розетку поставить свою можешь.
Аноним 05/05/17 Птн 00:40:12  282589
>>282586
Хехе, вот сучка, казенные электроны пиздит с работы
Аноним 05/05/17 Птн 00:47:58  282591
>>282589
Ну вообще я наоборот, нёс махараечный БП в лабу.
Аноним 05/05/17 Птн 00:51:29  282593
image.jpg (61Кб, 290x387)
>>282563
>шыва
Look what I found on AliExpress
https://www.aliexpress.com/item/1111404122/1111404122.html
Аноним 05/05/17 Птн 01:10:52  282595
>>282563
На сайте моих любимых дядек нормально описано. http://pcblab.ru/
Аноним 05/05/17 Птн 02:27:06  282597
>>282552
Вот такие бери
https://www.aliexpress.com/item/Precision-Pointed-Gold-Plated-Copper-Ultra-Fine-Universal-Probe-Test-Leads-Cable-Multimeter-Meter-1000V-20A/32785980675.html
Всё остальное - хуйня без задач
Аноним 05/05/17 Птн 09:04:02  282602
>>282565
А схему можно?
Аноним 05/05/17 Птн 10:46:36  282605
r.png (36Кб, 947x169)
Че пишет? Непонятно нихуя
Аноним 05/05/17 Птн 10:55:17  282606
>>282605
Чё тебе не понятно? Пиздец.

Всё работает ок.
Продаван добавил бонус - 6 диодов.
3А не потянут, до двух 2А потянут - так он считает.
Быстрая доставка, ещё и с курьером до квартиры.
Аноним 05/05/17 Птн 11:01:58  282607
>>282492
Если ты хочешь обрабатывать 10 кнопок ОДНОВРЕМЕННО (типа пианино многоголосное) - то да, тебе надо будет 10 счетчиков.
Если же у тебя просто 10 кнопок в клавиатуре, но в один момент времени нажимается только одна - то нужен только один счетчик для антидребезга и один таймер для переодичного опроса. Обрабатывается та кнопка, которая была нажата первой (если жмякать по всем сразу).
Я так и с динамически опросом делал клавиатуры, на 12 кнопок в матрице 3х4.
Аноним 05/05/17 Птн 11:06:28  282608
>>282520
Правильно понимаешь. Часть этого тока идет на потери и может привести к локальному нагреву диэлектрика, превышение установленной реактивной мощности может вызвать пробой.
Аноним 05/05/17 Птн 11:09:18  282609
>>282549
Это RF absorber. Наклейка-фильтр, поглощает излучение платы, чтобы помехами не срало. Лепят, когда оказывается, что устройство не проходит EMI test а переделывать дорого.
Стелс-технологии в бытовухе.
Аноним 05/05/17 Птн 11:11:25  282610
>>282551
Скорей всего он не умеет в разводку платы или сэкономил цепь Цобеля. Типа не знаю зачем оно - значит не надо. Зато микросхема говно, свистит.
Аноним 05/05/17 Птн 11:19:37  282611
>>282602
Когда буду дома, скину
Аноним 05/05/17 Птн 11:47:27  282615
Есть диод в2-320, как узнать на какое он напряжение? больше на нем нихуя не написано, только 04.80, хуй знает что это значит
Аноним 05/05/17 Птн 12:13:05  282617
>>282615
Вольтметр, подключенный параллельно
Аноним 05/05/17 Птн 12:21:44  282622
Как узнать вольтаж микрухи?
Даташит не смог найти.
Аноним 05/05/17 Птн 12:31:54  282623
>>282617
щито?
Аноним 05/05/17 Птн 12:34:47  282624
14320728771530.jpg (33Кб, 640x480)
>>282622
А название микросхемы написать в тред можешь?
Аноним 05/05/17 Птн 12:36:22  282625
>>282624
sn74so4 и
Аноним 05/05/17 Птн 12:36:27  282626
>>282615
>в2-320
http://www.eandc.ru/catalog/detail.php?ID=17675
Аноним 05/05/17 Птн 12:39:22  282627
>>282625
>sn74so4
http://www.produktinfo.conrad.com/datenblaetter/150000-174999/170054-da-01-en-SN_7404_N_5404_74ls04_54ls04.pdf
Аноним 05/05/17 Птн 13:05:10  282632
>>282626
И чё? Я же говорю, кроме В2-320 нихуя больше не написано, кроме 04.80, но это явно что-то не то.
Аноним 05/05/17 Птн 13:18:42  282636
>>282627
Спасибо
Аноним 05/05/17 Птн 14:21:25  282644
12345.jpg (587Кб, 1608x1206)
123456.jpg (545Кб, 1608x1206)
1234567.jpg (660Кб, 1608x1206)
>>280133 (OP)
Что не так с этой микросхемой?
Аноним 05/05/17 Птн 14:36:00  282648
>>282644
Всё нормально, ставь назад в телевизор и не парься.
Аноним 05/05/17 Птн 14:53:09  282653
У меня на работе несколько человек слушают всякое говно через bluetooth колонку. Очевидное решение - заглушить сигнал. Но, блин... Гугл выдает глушилки wi-fi, радио, тв, GSM(это законно?) и прочее. Дай схемку, анон. Или подскажи как "глушилка" на английском.
Аноним 05/05/17 Птн 14:53:59  282654
>>282653
На англиском "jammer"
Аноним 05/05/17 Птн 14:54:48  282655
>>282653
Если найдеш кинь мне
Аноним 05/05/17 Птн 14:59:27  282656
1271930561(dj j[...].webm (1484Кб, 320x240, 00:00:37)
>>282648
Диск на два терабайта навернулся с табуретки когда я фапал. Теперь вот такая хуйня...
Сразу после этого его запустил. Все файлы были видны. Посмотрел некоторые, все открывались. Запустил то видео на котором он наебнулся, начал пищать, я его отключил, после чего опять запустил и хотел удалить это видео. Начал удалять, он долго тупил а потом начал пищать. После этого постоянно пищит при включении и отключается.
Пять лет уже лежит, треды с 2009 года должны быть на нем.
Аноним 05/05/17 Птн 15:00:42  282657
>>282656
Как ты себя чувствуешь? За каким буем ты его открыл?
Аноним 05/05/17 Птн 15:02:21  282658
>>282657
Посмотреть есть ли царапины и хули он пищит. Крышку снимал внутри полиэтиленового файла, там же и закрыл.
Аноним 05/05/17 Птн 15:10:09  282661
>>282658
> внутри полиэтиленового файла
Нужно было в гондон засунуть. И на голову тоже надеть. Ты же видишь, что чота не вдупляет он с позиционированием головок. Протри контакты ластиком на плате. И выбрось его нахуй.
Аноним 05/05/17 Птн 15:11:45  282662
>>282661
Короче, ты нуб и не шаришь. Так бы и написал.
Аноним 05/05/17 Птн 15:20:45  282666
>>282662
> ты нуб и не шаришь.
Я даже муху-СС лечил самостоятельно. Могу сказать одно, если там нужное тебе файло, то убери от него свои лохматые ручонки и отдай дядям которые за дикий прайс его тебе спасут наверное. А если не нужно, то выбрось нахуй ибо даже если он одумается и заработает, то я на него даже пару файлов не стал бы записывать.
Аноним 05/05/17 Птн 15:40:17  282667
14309168961258.jpg (20Кб, 320x320)
> Вскрытый гермоблок
> заработает
Аноним 05/05/17 Птн 15:46:47  282669
>>282667
> Вскрытый гермоблок
И что? Он же его не в цеху бетонного завода вскрыл. Или ты думаешь там жыдкий вакуум налит?
Аноним 05/05/17 Птн 15:47:14  282670
>>282667
2017
@
кто-то еще в это верит
Аноним 05/05/17 Птн 16:30:49  282675
>>282656
>>282658
>>282669
>>282670
Для нубов поясню: в ХДД головка парит над поверхностью диска нагнетаемым потоком воздуха. При вскрытом ХДД она скребет по поверхности диска. Одной пылинки на поверхности достаточно чтобы при столкновении с головкой появилось несколько тысяч бэдов на поверхности, а голова получила серьезные повреждения. Ну, как вы уже догадались, головки там уже как бы и нет, и большая часть поверхности уже нечитаема. Диск лишь пытается рекалиброваться. Даже за 100к рублей там восстанавливать уже нечего. А вообще, гуглите про PC-3000, его разновидности и прибамбасы, если вам интересно, как вытягивают инфу с убитых хардов.
Аноним 05/05/17 Птн 16:40:20  282676
>>282675
> При вскрытом ХДД она скребет по поверхности диска.
> А закрываешь и она начинает парить.
Ты реально настолько долбоеб? У меня был жесткий который ради лулзов стоял открытый на боку рядом со старинной материнкой и это все изображало типа торрент-серверка. Он проработал так пару месяцев пока его это заебло. И даже не знаю от чего он помер, от старости или от попавших хлебных крошек с моих бутербродов.
Аноним 05/05/17 Птн 16:44:36  282677
>>282562
Прокачаю твою идею. При отсутствии уёбанных шупов можно на конец который вставляется в цэшку поставить подходящий по диаметру кусок одножильной проволоки, а провода уж любой радиолюбитель найдёт не вылезая из-за стола.
Аноним 05/05/17 Птн 16:48:21  282678
>>282591
Разряжать же надо. Отвёртка всё простит, только немного потемнеет.
Аноним 05/05/17 Птн 17:33:22  282679
>>282675
>головка парит над поверхностью диска нагнетаемым потоком воздуха.
толсто
Аноним 05/05/17 Птн 17:36:06  282680
>>282679
> толсто
но она реально парит. Только ей похуй, открыт гермоблок или закрыт.
Аноним 05/05/17 Птн 17:42:30  282682
Что интересно, набить говна в гермоблок можно и без вскрытия.
Аноним 05/05/17 Птн 18:08:00  282683
lol3.png (7Кб, 231x176)
>>282680
ага, может там еще компрессор стоит для нагнетания воздуха?
Аноним 05/05/17 Птн 18:40:24  282687
Подскажите какую-нибудь йобу шоб в контроллерах покопаться. В гугле одни часы и вольтметры.
Аноним 05/05/17 Птн 19:00:38  282690
Снимок.PNG (272Кб, 588x689)
>>282683
Шкальник, проследуй в гугл, ты похож на дурачка со своими смехуечками не по теме
Аноним 05/05/17 Птн 19:03:28  282691
>>282690
Не относись серьёзно к мелкобукве, оно тут частенько чушь порет вносит разнообразие в болото.
Аноним 05/05/17 Птн 19:05:40  282693
>>282687
Конкретизируй задачу.
У тебя есть скилл кодинга, но нет задачи? Простых "Hello World" проектов тебе мало? Есть программатор и шило в жопе?
Аноним 05/05/17 Птн 19:12:32  282694
>>282687
Сделай 7.5 циферный вольтметр.
Аноним 05/05/17 Птн 19:22:13  282695
>>282693
А у меня вот есть задача и мк, но нет мотивации делать
мимо другой анон
Аноним 05/05/17 Птн 20:36:14  282701
PoDJNI3izpA.jpg (12Кб, 480x360)
>>280133 (OP)
Мои советы честным, добрым компаниям. У меня такая тяжелая форма физической Фонофобии, что что Я даже туалетную бумагу в туалете всегда режу ножницами! Еcть одно пожелание касается всех высокотехнологичных компаний. Практически на всех камерах, диктофона звук от инфразвука до 50герц обрезан фильтрами, вашим бюджетным качеством и мне кажется все в мире плохо понимают где Я всю жизнь живу! Пусть весь мир слышит низкиечастоты и при этом обязателен хотя-бы пассивный регулятор тембра, тумблер реальных наших и ваших комфортных частот, конечно лучше эквалайзер ! О вреде любого шума пишут парламенты стран, политики и думаю пока Я не президент страны, генсек ООН можете выпускать свои девайсы без паспортов , характеристик !
Аноним 05/05/17 Птн 21:52:27  282713
Хочу облепить сзади столешницу светодиодной лентой, примерно 1.3 метра. Какую батарейку примерно нужно будет приобрести для этого говна, чтобы оно держало хотя бы месяца два-три?
Аноним 05/05/17 Птн 22:16:52  282719
dyEiX5zuTHQ.jpg (146Кб, 1280x960)
>>282713
Всё зависит от напряжения и емкости батареи.
Светодиодные ленты в большинстве своем рассчитаны под 12 вольт. Сама лента состоит из множества сегментов (которые уже нельзя поделить на ещё что-то более мелкое), в случае с 12-вольтовой, в одном сегменте три светодиода и токоограничивающий резистор. На одном светодиоде падает примерно 3.1 вольта. А резистор около 150 ом. Следовательно,
3.1x3=9.3
12-9.3=2.7
2.7/150=0.018
Один сегмент потребляет ток в 18 миллиампер.
В одном метре ленты примерно 60 светодиодов, то бишь 20 трехдиодных сегментов.
20x1.3=27
27x18=486
Следовательно, твой кусок ленты будет потреблять то примерно в полампера. Если у тебя будет стоять автомобильный аккумулятор емкостью 70Ампер/Час, то он разрядится за 140 часов непрерывной работы ленты.

Но, можно уменьшить потребление тока, пустив его через какой нибудь резистор. Яркость при этом не на много уменьшится.
Например, мне для подсветки метровой полки с моделями хватило метровой же ленты ток которой я уменьшил в 2 раза.

Выводы делай сам.
Аноним 05/05/17 Птн 22:40:45  282722
image.jpg (54Кб, 273x184)
>>282719
>>282713
2-3 месяца - 75дней - 1800 часов - 900а/ч
Аноним 05/05/17 Птн 22:42:41  282724
>>282687
https://www.instructables.com/howto/Arduino
Аноним 05/05/17 Птн 22:49:03  282725
>>282661
Потри ластиком царапины на диске, и брызни вд40 на шпиндиль.
ну а потом выкинь нахуй
Аноним 06/05/17 Суб 01:05:57  282728
14361831357290.jpg (53Кб, 610x653)
>>280235
Ну лан.
Аноним 06/05/17 Суб 01:25:23  282730
>>282722
Лол, а если от резетки пустить? На такое я не рассчитывал, конечно. В сколько примерно денег мне обойдётся питать эту хуйню часов 120 в месяц?
Аноним 06/05/17 Суб 01:31:30  282732
1367147843747.jpg (37Кб, 500x667)
>>280262
>Зайди на его канал
Бля, я джва года ждал тебя, как его канал называется? Дай название или ссыль?
Аноним 06/05/17 Суб 02:23:47  282733
>>282732
Завидую тебе, тебе столько крутых видео предстоит посмотреть.
https://www.youtube.com/user/msadaghd/videos
Аноним 06/05/17 Суб 02:25:46  282734
изображение.png (357Кб, 638x1040)
>>282732
А вообще мог бы и превью загуглить.
Аноним 06/05/17 Суб 04:30:15  282738
001.jpg (22Кб, 684x428)
1. Может ли человека в принципе уебать токами фуко при каких-либо обстоятельствах?

2. Окажет ли какое-либо воздействие на ток в электрической цепи (пикрелейтед) последовательно включённая рамка, по которой пульсируют закольцованные токи фуко? Или же по принципам кирхгофа тут всё выходит в ноль, и эту рамку можно считать тупо проводником, независимо от величины и частоты вихревых токов?
Аноним 06/05/17 Суб 09:44:05  282747
>>282730
допустим она у тебя будет работать месяц без перерыва.
24x30x0.486= 350 Ампер
350А x 12В = 4200. То бишь за месяц у тебя она выжрет 4 с лишним киловатт/часа. Это всего лишь 14,5 рублей в моем городе. В Москве 24 рубля. Но ещё нужно учитывать, что блок питания, от которого будет браться ток потребляет больше энергии чем выдает, например из-за того же нагрева. Идеального кпд не существует. Хз сколько нужно накидывать. Ну, допустим, процентов 30.
Получаем цену 20-35 рублей в месяц. Но опять же, можно подпаять как нибудь резистор, экспериментируя с номиналом добиться того чтобы и яркость не сильно упала, и в то же время потребление снизилось. Тем более что на полной яркости свет может вызывать дискомфорт.
Блок питания только не знаю где взять подешевле. Те что продаются специально для светодиодных лент, и дающие до 2-х ампер тока, дороговаты, как по мне. Можно попробовать от компьютера запитаться, но какие будут последствия не знаю. На твой страх и риск.

Ещё можно поизвращаться замкнув в каждом сегменте вход и выход (не питание!) цепочки из двух диодов. Тогда на запитку хватит и пяти вольт, но гореть, естественно, будет только один диод из трех. То бишь в метре будет всего 20 светящихся светодиодов. Но потребление тока будет тем же. Хотя, потребление мощности (и цена) снизится, т.к. она зависит как от тока так и от напряжения. Но в таком "замкнутом" режиме 12 вольт уже не подключишь, единичные диоды пыхнут не выдержав нагрузки.
Аноним 06/05/17 Суб 10:27:36  282752
>>282747
Больше надо накидывать. У меня на кухне стоит блочек 2а выходной- 25 ватт потребляемой (мах). Это он за месяц непрерывного под 10квтч сьест, если брать среднюю нагрузку. Греется градусов до 50.
Аноним 06/05/17 Суб 12:10:29  282755
>>282747
Спасибо, анон.
Аноним 06/05/17 Суб 13:17:47  282758
213120.gif (516Кб, 225x177)
Радач помагай! Есть один сварочный инвертор (Tesla MMA-255) перестал работать, при вскрытии выяснилось что накрылись 2 транзистора в силовой части, после замены инвертор завелся, он очень подозрительно, без нагрузки на выходе напряжение 40В. и лампа на 100Вт. которая была включена в разрыв питания сначала вспыхивает в полный накал, а потом начинает слабо (процентов 40 от полного накала) светится. Что делать? Где ещё может быть косяк?
Аноним 06/05/17 Суб 14:29:17  282759
>>282758
Лампа на сколько вольт.
Аноним 06/05/17 Суб 14:30:13  282761
>>282759
обычная на 220
Аноним 06/05/17 Суб 14:45:32  282763
>>282761
Ну ясен хуй, что она слабо светится, ты ж блять 40 вольт на нее подаешь.
Аноним 06/05/17 Суб 14:49:08  282764
>>282763
Хуй не ясень, ибо вопрос не красен...
Я забыл уточнить, в разрыв сетевого питания 220В.
Аноним 06/05/17 Суб 14:52:23  282766
>>282764
Что не так то?
Аноним 06/05/17 Суб 14:55:46  282767
>>282766
не то, что даже с лампой на выходе должно быть 60-75 вольт (ну типа на холостом ходу) а там всего 40
Аноним 06/05/17 Суб 15:03:12  282770
>>282767
ну хуй знает, может транзисторы говно
Аноним 06/05/17 Суб 15:09:15  282771
>>282758
Попробуй вместо лампочки предохранитель воткнуть чтоли.
И вообще чёт ты не там вопросы задаёшь. Есть же профильные форумы, там и народ поумнее, вот например http://valvol.ru/forum6.html
Аноним 06/05/17 Суб 15:30:29  282772
>>282771
да этот ебан не понимает, что у сварочного инвертора ток холостого хода сравним с током лампы и соотв-но часть напряжения проебуется на лампе. и потому выходное напряжение низкое.
Аноним 06/05/17 Суб 16:56:00  282775
>>282758
Вроде нормальное поведение. Втыкай без лампы, пробуй варить.
Аноним 06/05/17 Суб 16:57:45  282776
>>282767
Если это простой аппарат без PFC, то у тебя напряжение просело из-за лампы, соответственно и на выходе низкое.
Аноним 06/05/17 Суб 20:23:25  282793
>>280133 (OP)
Аноны, помогите нюфане. Что такое нагрузочная лампа? И как она подключается к прибору, который нужно проверить. Я так понимаю это вместо предохранителя?
Аноним 07/05/17 Вск 02:57:04  282823
>>282793
Лампа это по сути мощный резистор. Ее можно последовательно включить в цепь питания с каким-то прибором.
Например иногда ремонтники включают ненагруженные блоки питания через лампу накаливания в 100 ватт. Получаем токоограничивающий резистор.
Аноним 07/05/17 Вск 14:42:07  282843
>>282693
>Кодинг есть, шило тоже, задач нет. В шаражке пихали протухшее тау/мпсу, но вот практику не удосужились, хотелось бы что-нибудь зделоть, чтобы батя оценил.
Аноним 07/05/17 Вск 17:47:38  282851
Допустим переменная типа uint8_t имеет значение 255. если я прибавлю к этой переменной 1000, то что будет? Останется 255?
Аноним 07/05/17 Вск 18:18:11  282857
>>282851
Нiт. Она станет 232
Аноним 07/05/17 Вск 19:00:33  282862
IMG0564.JPG (2384Кб, 3264x2448)
Добрые Господа, так уж вышла что мне как можно скорее необходимо включить полупроводниковый лазер модели GDRL-BIS-otH (так я разобрал каракули на маркировки) мощностью 150 мВ и с длиной волны 650 нм, вынутый из такой штуке как F-02 (RGY)
(Что-то из концертного оборудования).

На руках есть всё изначальное устройство, за исключением предохранителя f2al на 250 вольт, павшего смертью храбрых, также в наличии несколько ненужных блоков питания от ПК + паяльник со всем необходимым.

Можете ли посоветовать как максимально просто добиться желаемого результата ?

Навык электротехники только начинаю вкачивать, но то что бы совсем нуб.
Аноним 07/05/17 Вск 19:01:41  282864
IMG0564.JPG (2384Кб, 3264x2448)
Добрые Господа, так уж вышла что мне как можно скорее необходимо включить полупроводниковый лазер модели GDRL-BIS-otH (так я разобрал каракули на маркировки) мощностью 150 мВ и с длиной волны 650 нм, вынутый из такой штуке как F-02 (RGY)
(Что-то из концертного оборудования).

На руках есть всё изначальное устройство, за исключением предохранителя f2al на 250 вольт, павшего смертью храбрых, также в наличии несколько ненужных блоков питания от ПК + паяльник со всем необходимым.

Можете ли посоветовать как максимально просто добиться желаемого результата ?

Навык электротехники только начинаю вкачивать, но то что бы совсем нуб.
Аноним 07/05/17 Вск 19:02:39  282865
>>282857
Наебался, - 231
Аноним 07/05/17 Вск 19:24:39  282866
>>282857
Почему так? значение переменной же выходит за пределы выделенного объема памяти. Как мк реагирует на это? Просто отбрасывает старшие биты?
Аноним 07/05/17 Вск 19:44:57  282869
>>282866
Ну там как-то на битах всё завязано. uint8_t это 8 бит.
255 это 11111111
И вот если к нему прибавить 100 (01100100)
То получится... Хуй знает, я тут мимо проходил.
Аноним 07/05/17 Вск 20:13:13  282870
Даун перекатывается из другого треда еще и сюда.
Может, тут поживее.
"Братья, не знаю куда спрашивать, поэтому буду спрашивать в сюда.
Как работает скачивание пикчи в интернете? Это какая-то особая ссылка? С добавлением какого-то атрибута? Или что?
Просто когда из ВК удаляют пикчу, то если у тебя есть ссылка на скачивание - ты можешь все равно еще скачать эту пикчу, е? Как формируется эта ссылка? Она отлична от ссылки на само изображение (для просмотра в браузере)? Изображение для просмотра юзерами и для скачивания хранятся на разных серверах?
Если все не так - поясните, как оно работает? Почему спустя полгода, овладевая ссылкой, удаленную пикчу все равно можно скачать?
Спасибо."
Аноним 07/05/17 Вск 20:17:09  282871
>>282866
> Просто отбрасывает старшие биты?
Да. Еще и флаг переполнения в какой-то регистр пишет. Я всё хочу завязать прокрастинировать, вспомнить как занял третье место по ростовской области в олимпиаде по программированию 1993 и написать скетч "Хеллоу мир", но никак не соберусь.
Аноним 07/05/17 Вск 20:34:50  282874
>>282870
> овладевая ссылкой
Чо правда? Значит не пости пикчи во вкудахте и прочих одноклассниках. Значит они их не удаляют вдруг очередной даун перепсихует, передумает удолять страницу, а кортинки все на месте. И да, все хранится на разных серверах, даже тупо страница может храниться на нескольких.
ПС. Иди куда нибудь в /web/, тут тебе не будут рады
Аноним 07/05/17 Вск 20:44:13  282876
>>282874
>вдруг очередной даун перепсихует, передумает удолять страницу, а кортинки все на месте

Это для "вдруг очередной даун начнёт загрузку очередной картинки с желтым колобком", чексумма совпадёт и место на сервере сэкономится.
Аноним 07/05/17 Вск 21:34:55  282883
popov.jpg (55Кб, 610x320)
Попов воскрес.
Аноним 07/05/17 Вск 22:11:29  282892
>>282883
Героям слава!
Аноним 07/05/17 Вск 22:11:58  282893
>>282883
он, кстати, спиздил радио у западных изобретателей
Аноним 07/05/17 Вск 22:55:07  282904
photodetail-02.jpg (102Кб, 600x741)
Монитор мандить начал. Включаю вентилятор и он аж гаснет, иногда мигает, ну такое. Подключил вентилятор не в тройник с монитором, а к сетевому фильтру (переноска). Монитор отключаться перестал, но все равно бывает помандивает, даже без вентилятора.

Шо делать? Покупать сетевой фильтр или ИПБ? Шо делать вообще? Если монитор помандивает, то и с ПК проблемы могут быть же.
Аноним 07/05/17 Вск 22:58:51  282905
3.jpg (63Кб, 720x480)
>>282738
Бамп вопросу
Аноним 07/05/17 Вск 23:14:07  282908
Раданы, не бейте, лучше обоссыте...
Есть совковая хата, до розеток идут только ноль и фаза, судя по древним манускриптам из щитка ноль заземлен в нем самом, узо нету.
Есть комплюхтер и его, конечно, хочется включать иногда.

Почитал и понял следующее:
- если включать как есть, т.е. без заземления, то при касании корпуса и батареи будет ебошить 110В;
- если занулить корпус, объединив усики в розетке с нулем, то при отгорании нуля в щитке и одновременно при касании корпуса и батареи будет ебошить 220В.

Так вот скажите, пожалуйста, правильно ли я понял ситуацию и если да, то какой же стул выбрать? И почему везде пишут, что занулять усики земли в розетке ни-ни, все объяснения какие-то нипанятные? И чем плохо заземлять на батарею, кроме опасности, что кусок трубы ниже заменят пластиковой вставкой?
Аноним 07/05/17 Вск 23:55:43  282913
>>282908
Тебе дали розетку - бери и пользуйся.
Нет, пытливый ум всё норовит куда-то залезть, что-нибудь замкнуть и заземлить на батарею.
У тебя что, шило в жопе?
Аноним 08/05/17 Пнд 07:15:09  282932
>>282913
у меня напряжение в анусе между пекарней и батареей, а они рядом. Это что, нормально?
Аноним 08/05/17 Пнд 09:00:09  282935
>>282932
Нет. Заземли анус свою пека, только не на батарею.
Аноним 08/05/17 Пнд 09:08:55  282938
>>282935
так прям обои сдирать, вести провод от щитка, вот это все? Или перемычкой прям в розетке?
Просто в щитке ноль и земля (защитный ноль) один хуй объединяются, вот я и не понимат что плохого сделать это прям в розетке, но встречал высказывания электриков, мол, делать так нихуя ни в коем случае нельзя.
Аноним 08/05/17 Пнд 10:02:41  282942
>>282938
>Просто в щитке ноль и земля (защитный ноль) один хуй объединяются
В старых домах - да. В новых - нет. Для земли своя шина отдельная.
Нельзя соединять потому что если ноль отгорит, то на корпусе может появиться фаза.
Аноним 08/05/17 Пнд 10:47:35  282944
146147918418695[...].jpg (129Кб, 666x500)
>>282908
>ебошить
У тебя пол проводящий? Заземли пекарню на батарею и ток в заземлителе померь. Если нечем мерить в интернете поищи, тут вроде кто-то недавно уже мерил, там до предела отключения узо далеко, куда там "ебошить".

>Просто в щитке ноль и земля (защитный ноль) один хуй объединяются
Одна хуйня. Нормальная земля идёт до вру в подвале.
Вариант для мамкиных кулибиных и спецов - ЗАЗЕМЛИТЬСЯ в этажном щите всё равно не спасёт от появления на нулевом проводе фазы при обрыве нуля где-то между этажным щитом и вру.

Кулибины и спецы жаждут заземления, чтобы быть как эуропейцы.
Аноним 08/05/17 Пнд 14:04:32  282951
>>282942
>>282944
Ну я по схеме в щитке на лестничной клетке посмотрел, что там именно изначально при постройке заложено ответвление от нуля защитное, но оно сука только на кухню идет к плите, так что мне кажется его можно считать более или менее надежным.

Бьет конечно не очень сильно, но нихуя приятного, как бы...

Нуок, раз все не так просто, то вот может мне просто батарею покрасить пощедрее, а системник поглубже задвинуть. Только вот как потом рассказывать посонам, что у меня пк (и все остальное с современными трехпроводными БП типа МФУ) не заземлено: засмеют и обоссут? или это вариант нормы?
Аноним 08/05/17 Пнд 14:35:41  282953
>>282951
>Только вот как потом рассказывать посонам, что у меня пк

Будут выёбываться - процитируй кусок из поста выше про манязаземление на щиток и про нормальный вариант, до которого долго ждать реконструкции.
И вообще, тебя так их мнение ебёт? Или уже по улицам ходят и про заземление спрашивают у всех?
Аноним 08/05/17 Пнд 15:14:45  282955
tesak-i-pedofil[...].jpg (40Кб, 372x231)
>>282953
>Или уже по улицам ходят и про заземление спрашивают у всех?
Добрый день, а что это вы не заземляете свой пека?
Целуй шину заземления!
Аноним 08/05/17 Пнд 15:22:01  282957
81620675ztempnV[...].jpg (85Кб, 1000x1000)
Анон, требуется поддерживать выходное напряжение независимо от входного, которое может как превышать выходное, так и быть ниже оного. на входе 0-30 постоянки, на выходе всегда 12
Как гуглить подобный преобразователь у китайцев?
Аноним 08/05/17 Пнд 15:34:28  282959
>>282738
1. Вихревыми токами вряд ли можно нанести вред человеку, ведь они закольцованы сами на себя. Но если в результате сильного магнитного поля в металле наведется довольно значительная эдс, и будет разность потенциалов, то да, вполне может и уебать.
2. Думаю, рамку можно считать проводником.
Стрелочки на пике - вихревые токи? Оно работает несколько иначе, разберешься как именно - отпадут вопросы :3
Аноним 08/05/17 Пнд 15:44:06  282960
1368310559550.jpg (188Кб, 1280x960)
>>282955
Не хотите ли поговорить о бохе нашем, ПУЭ и пророках его, и о СНИПах и прочих святынях, не вошедших в Канон из-за излишнего консерватизма?

И вот например снимок мученика во плоти. Покайтесь, ибо ёбнет!
Аноним 08/05/17 Пнд 15:46:44  282961
>>282960
Круглая бирочка на 0.4 не по канону! Кот помер зря.
Аноним 08/05/17 Пнд 15:52:59  282962
>>282953
Ладно, спасибо, ты меня успокоил.

%%да, бываю иногда в компаниях дохуя суровых строителей, автомехаников да электромонтеров, а сам корзиночка, тяжелее паяльника ничего не державшая%
Аноним 08/05/17 Пнд 16:01:13  282963
>>282957
L7812
Аноним 08/05/17 Пнд 17:55:20  282967
>>282951
Панельный хрущ я так понимаю.
Ну ок, можешь соединить ноль с заземлением в розетке. После этого корпус компьютера не будет щипаться. Но знай - это нихуя не правильно и не безопасно.
Аноним 08/05/17 Пнд 18:17:42  282968
Как сделать панель с 10 кнопками?
Купить разводную коробку, проделать дырки, припаять к кнопкам проводки, просунуть в дырки и приклеить кнопки рядом с дырками?
Аноним 08/05/17 Пнд 18:20:00  282969
31466345235542.jpg (45Кб, 500x500)
>>282968
Купить на али за $0,5.
Аноним 08/05/17 Пнд 18:37:35  282970
>>282969
Да ну, 2 месяца ждать
Аноним 08/05/17 Пнд 18:52:13  282973
58c3de390a69b15[...].png (59Кб, 256x351)
Аноним 08/05/17 Пнд 19:59:34  282975
Анон. Почем можно продать трансформатор от микроволновки?
90w, 2110v. Пойдет такое для башен Теслы?
Аноним 08/05/17 Пнд 20:00:34  282976
>>282975
900w
Быстрофикс
Аноним 08/05/17 Пнд 20:11:52  282978
100-200р
Аноним 08/05/17 Пнд 20:15:56  282979
>>282978
ноль забыл
Аноним 08/05/17 Пнд 20:19:13  282980
>>282979
Дебилоид-бизнесмен, за 1-2 рубля покупается новый, а б/у тебе за такие бабки разве что затолкают в анус.
Транс от старых моделей - 100-200р любителям.
Транс от новых, актуальных моделей есть небольшой шанс продать до 500р (до 1000р если 2 кВт)
Аноним 08/05/17 Пнд 20:20:20  282981
>>282979
Опять хуйню несёшь, мелкобуква?
Микроволновка Б\У косарь на авито стоит.
Аноним 08/05/17 Пнд 20:34:05  282982
>>282981
Вот зачем ты это написал? Он ведь уже бизнес-план по заработку квадриллионов разработал, а ты все обломал.
Аноним 08/05/17 Пнд 20:43:23  282983
>>282980
вон посан за 1500р готов купить >>281531
Аноним 08/05/17 Пнд 20:44:53  282984
>>282980
чет серанул с твоих цен, за 100р в 2017 году никто даже не почешется. старый разъебаный транс может за 500р и продадут. Новый от 3к стоит.
Аноним 08/05/17 Пнд 20:47:12  282985
Ты смотри как маневрирует.
Аноним 08/05/17 Пнд 21:19:18  282990
>>282984
За 3к покупается НОВАЯ микроволновка.
Впрочем, иди да впаривай, смеши народ, никто не запрещает. Ты спросил - тебе ответили.
Аноним 08/05/17 Пнд 21:30:55  282992
>>282990
>Ты спросил - тебе ответили.
лол, я вообще-то другой анон. Новая микроволновка 6-7к стоит ваще-т.
Аноним 08/05/17 Пнд 21:56:57  282993
>>282992
На яндекс маркете глянь и убедись что они стоят от 3к. В диапазоне 3-4к вариантов куча.
Аноним 08/05/17 Пнд 22:04:13  282994
>>282963
КРЕНка? ну ахуеть теперь, анон
Она, как бы, повышать не умеет, если что.
Аноним 08/05/17 Пнд 23:20:04  282997
>>282962
Не забывай про то что САПОЖНИК БЕЗ САПОГ.
Аноним 09/05/17 Втр 00:13:46  283004
>>282957
Buck-boost или SEPIC.
Только из нуля они тебе двенадцать не сделают.
Аноним 09/05/17 Втр 00:26:17  283005
Подсветку экрана 1602 можно подключать без резистора?
Аноним 09/05/17 Втр 01:01:10  283006
Что делает конденсатор в простейшем выпрямителе напряжения?
Я так понимаю, он огромным током быстро заряжается в моменты пика напряжения, а потом, когда волна с выпрямителя ползет вниз, начинает отдавать ток и питает девайс до следующей волны, которая его заряжает.
Аноним 09/05/17 Втр 01:01:35  283007
>>283005
> можно подключать без резистора?
Можно, но недолго.
Аноним 09/05/17 Втр 01:03:41  283008
>>283005
Там же шветодиод. Подключай через потенциометр, но не в режиме делителя. Я так делал и дисплей жив.
Правда градиент получился хуевый совсем, слишком резко гаснет как-то.
Аноним 09/05/17 Втр 11:36:08  283024
>>283004
Buck-boost искал, попадается xl6009 или lm2577, но в даташитах на них настойчиво пишут степ-ап. Кому верить?
Аноним 09/05/17 Втр 13:12:17  283028
TI-Bourns-Sepic.png (20Кб, 1298x713)
c1004-figure1.jpg (49Кб, 823x523)
>>283024
Ищи SEPIC-топологию, узнаётся по двум катушкам индуктивности (или одной двухобмоточной).
>lm2577
На ней тоже можно собрать вышеозначенное (да хоть на 34063), ключ всё равно требуется лишь один:
http://www.ti.com/lit/an/snva168e/snva168e.pdf
Аноним 09/05/17 Втр 13:14:44  283029
Есть ли тред по металлоискателям?
Аноним 09/05/17 Втр 13:34:21  283030
>>283029
есть, в DIY
и не только по металлоискателям. Там тебе и гильзы, и поросята, и какалики, складни, и скрутка капсюлей с ВВ почти что в прямом эфире.
Аноним 09/05/17 Втр 13:44:08  283031
170e68831b900b3[...].jpg (361Кб, 1024x733)
>>280133 (OP)
Подскажите, можно ли запитать болгарку через повышайку от 12 вольт? Сколько ватт потребляет маленькая?
Хочу запилить батарею из 10-20 AGM 6V, чтобы помещалась в городской рюкзак, и быть автономным болгарином.
В частности, нужно тупо спилить садовую калитку с петель и и расхуячить её на 4-8 кусков если время останется. Вангую что на 10 минут батареи вполне хватит, но заведется ли в принципе, а то слышал что с этим бывают проблемы.
Аноним 09/05/17 Втр 14:05:59  283032
>>283031
Да. Какой-то чудик в интернетах рассказывал о том как охуенно работать дрелью от бесперебойника. Он прицепил к нему ремень и вешал на плечо, в корпус врезал две совковых розетки.
Аноним 09/05/17 Втр 14:08:16  283033
>>283032
Пиздец вы наркоманы, для кого вообще сделаны обычные аккумуляторные дрели.
Аноним 09/05/17 Втр 14:10:48  283034
>>283033
Для тех, кто может себе их позволить.
Аноним 09/05/17 Втр 14:11:26  283035
14671825702510.jpg (29Кб, 316x310)
>>283031
http://makita-online.ru/catalog/akkumulyatornie_ushm_makita
Аноним 09/05/17 Втр 14:16:00  283036
s-l1600[1].jpg (76Кб, 1000x1000)
>>283028
Спасибо, заказал такой:
http://www.ebay.com/itm/381374427358
Аноним 09/05/17 Втр 15:19:51  283037
Скажите как называется это вид гранулятора и для чего он ?
http://kupinatao.com/pages/item_detail.aspx?itemid=3Zc%2b2cF6kVGCp24rVXgxaw%3d%3d&nick=%E5%A1%94%E5%A1%94%E7%B2%8911
Аноним 09/05/17 Втр 15:36:25  283039
33333.png (13Кб, 1018x612)
>>283037
Как подключить к базе транзистора батарейку?
Аноним 09/05/17 Втр 16:59:18  283044
Поясните, вот двойной диод шотки https://www.chipdip.ru/product/40ctq045
Указанный максимальный ток 40 ампер имеется в виду общий или для каждого диода в этом корпусе по 40?
Аноним 09/05/17 Втр 17:47:09  283048
14943333852520.png (24Кб, 1018x612)
>>283039
Аноним 09/05/17 Втр 18:18:39  283051
>>283044
Аноним 09/05/17 Втр 18:20:05  283052
>>283048
ну здесь получается батарейка то и не учавствует
Аноним 09/05/17 Втр 18:25:00  283053
>>283051
А если спараллелить, то можно 80 ампер?
Аноним 09/05/17 Втр 18:29:04  283054
Здарова, дрочилы. В честь 9-го мая решил продать дедовскую хуйню, что бы хватило на путинку. Шучу. есть около 2-4к всяких транзисторов/резистров и прочей мелкой шелупени. Какой-то дед в деревне был таким же полуёбком как и вы, любил всякую радиотехнику. Я давно позарился на его мусор, а теперь он сам мне его отдал и сказал делать с ним всё что захочу. Их общий вес около 3-х кг. И завтра обещает второй подгон. Что с ними можно сделать? Выбросить я их всегда успею, а вот профит смогу поиметь только благодаря вам.
Аноним 09/05/17 Втр 18:34:06  283055
>>283054
А не, проебался, около 9-ти килограмм.
Аноним 09/05/17 Втр 18:34:14  283056
>>283031
На авито генератор возьми в аренду за 500р на день.
Аноним 09/05/17 Втр 18:40:03  283057
>>282944
>Нормальная земля идёт до вру в подвале.
а там уже с нулем соединяется, кек
Аноним 09/05/17 Втр 18:41:41  283058
>>283054
На радевокоте часто развалы деталей продают.
Небезуспешно, судя по уровню присутствия любителей спаять что-нибудь на дидовской элементной базе.

Попробуй там.
Аноним 09/05/17 Втр 18:43:31  283059
>>283057
Кэп, а с чем ещё она там соединяется? Не с контуром заземления ли?
Больше откровений в этот итт тред!
Аноним 09/05/17 Втр 19:29:46  283062
Антоши, может подскажете - есть ли смысл подключать холодильник через бесперебойник? Работа без электричества не интересует; больше - защита от скачков напряжения. Есть ли предел по мощности? Разъёмы - как для блоков питания компьютерных, хотя это не будет непреодолимой проблемой, подключить обычную вилку
Аноним 09/05/17 Втр 21:18:46  283063
XL4012-sch.gif (8Кб, 640x333)
Вечер в хату, припой на плату...
А теперь вопрос - можно ли поставить в эту схему дроссель на 47мкГн (а еще лучше 56 мкГн, ибо есть в наличии заводского исполнения) или же номинал индуктивности тут критичен? И какой материал тут надо применять феррит или распыл. железо (дроссель блока питания от ПК)
Аноним 09/05/17 Втр 23:13:08  283067
>>283037
бамп
Аноним 09/05/17 Втр 23:23:51  283068
>>283048
Ну точно, а лампочка по твоей великой просьбе за большое спасибо сама светится, да?
Задавай вопрос так, чтобы тебя поняли.
Говори что есть и чего хочешь получить.
А не "как подключить к базе транзистора батарейку".
Двумя способами, блять, плюсом и минусом, нахуй.
Аноним 09/05/17 Втр 23:25:32  283069
>>283053
Можно. Только по хорошему их "балансировать" требуется, ведь все полупроводники чутка разные.
Погугли для ознакомления хотяп.
Аноним 10/05/17 Срд 00:05:50  283071
>>283068
Ебать дурак
Аноним 10/05/17 Срд 00:23:34  283072
>>283069
>Только по хорошему их "балансировать" требуется
Как? Гугл хуйню выдает. Уж не резисторы же ставить на такие большие токи?
Аноним 10/05/17 Срд 01:01:30  283074
Посоны, подскажите насчет ЛУТ
После переноса тонера на текстолит, бумагу обязательно начистую удалять с платы или нет? До бишь до травления, не мешает ли бумага нормально травится плате, косяки там, протравы где не положено и так далее
Аноним 10/05/17 Срд 01:07:30  283076
Менять в старой цифровой технике засохшие\потекшие\вздутые электролиты на тантал или керамику (с запасом по вольтажу, конечно же) соответствующих номиналов - хорошая затея? Или лучше не выебываться и напаять заново электролиты на 10 лет?
Аноним 10/05/17 Срд 03:56:38  283078
>>283076
Нет, раз уж они вздулись - хорошая затея поискать дорогие годные электролиты с заявленным низким еср.
Там наверняка стоит дерьмо какое-то, нормальные электролиты будут долго.
Аноним 10/05/17 Срд 04:12:11  283079
>>280133 (OP)
Радачи, я только что придумал гениальную мысль!
Программа для автоматической разводки печатных плат наоборот!

1)Спаиваем с платы все элементы.
2)Суем ее в сканер.
3)Софтина распознает дорожки/пятачки/переходы
4)Вбиваем номиналы деталей
5)Софтина строит схему
...
n)PROFIT!

Скажите мне, что это уже придумано до меня. Желательно с указанием названия этой Китайской программы.

Или это по чему то не нужно? И вообще, как в 2k17 происходит реверс инженеринг? Не уж то сидят с бумажкой и тестером сутками, как диды?
Аноним 10/05/17 Срд 05:19:40  283081
>>283079
> Суем ее в сканер.
Восьмислойную?
Аноним 10/05/17 Срд 05:35:12  283082
>>283081
мб у него рентгеновский сканер
Аноним 10/05/17 Срд 06:19:10  283083
>>283081
Почему бы и нет? Если одна сторона связана со второй стороной хоть через 50 слоёв, его сканнер это покажет.
Аноним 10/05/17 Срд 06:27:48  283084
>>283083
Каким образом без прозвона?
Аноним 10/05/17 Срд 12:08:44  283091
kry.png (9Кб, 808x117)
Объясните плез, каким образом из этого пакета получается такая CRC?
Аноним 10/05/17 Срд 12:28:52  283092
>>283081
Ну с матерью-видяхой-мобилой скорее всего всоснем. Но ими электроника не ограничена. 60% всех девайсов обычные двухслойки, а еще 10%-вобще однослойки.

Трехслойки можно победить без ренгена - сканировать на просвет.
Аноним 10/05/17 Срд 12:39:02  283094
IMG1818.JPG (3406Кб, 3888x2592)
Есть один ноутбучный блок питания, который, по словам очевидцев, с искрами и дымом перестал работать. При внешнем осмотре обнаружился расплавившийся штекер питания. Внутренности обильно залиты клеем заодно с металлическим экраном, так что снять экран сильно проблематично.
Подключил последовательно с лампой - лампа не светится, на выходе блока 19.9в вместо штатных 18.5 Это же потому что нет нагрузки?

Какова вероятность, что мне повезло и проблема только в кабеле? А то я чёт очкую подключать в сеть.
Аноним 10/05/17 Срд 13:52:23  283097
>>283074
Ну же лутаны
Аноним 10/05/17 Срд 14:05:23  283098
>>283074
>>283097
Тут тебе тематика, подожди пока анон с работы вернется.
Я всегда стараюсь удалить всю бумагу - попробуй немного растереть пальцами, тонер держится гораздо прочнее, чем может показаться. Если бумага прилегает очень плотно, то таки да будут непротравы. Но там, где бумага лежит на собственно тонере ничего страшного не случится.
Аноним 10/05/17 Срд 14:12:23  283101
>>283098
Нет чтобы купить термотрансферную бумагу, нужно же пердолиться с мелованым говном
Аноним 10/05/17 Срд 14:24:24  283103
>>283094
>Какова вероятность, что мне повезло и проблема только в кабеле? А то я чёт очкую подключать в сеть.
50%
От чего то он поплавился же?
Так работает, шевельнешь чуток - замкнет.
По этому тебе одна дорога - приставить злой нож ко шву и от души ебнуть молотком. Я исползовал вместо ножа топор - годно получилось.
Аноним 10/05/17 Срд 14:49:11  283105
87310.jpg (114Кб, 1024x1024)
Нужно померить частоту в розетке этим. Как это сделать?
Аноним 10/05/17 Срд 14:52:41  283106
>>283105
Почитать в инструкции о том сколько вольт можно мерить в режиме измерения частоты.
Если 220 можно то напрямую в розетку, если нет - через понижающий трансформатор.
Аноним 10/05/17 Срд 14:53:34  283107
>>283106
Спасибочки
Аноним 10/05/17 Срд 14:53:48  283108
>>283106
И судя по тому что у него есть кнопка ~Hz - наверняка можно просто нажать её в режиме измерения напряжения.
Аноним 10/05/17 Срд 15:24:01  283109
>>283103
>приставить злой нож
Корпус я расколол. Но как и написал в первом посте внутренности надежно залиты клеевой массой. Те компоненты, которые видны выглядят вполне пристойно. Внутренности горелым не пахнут. Постучал и потряс блоком при подключении через лампу - все осталось в порядке.
>50%
Теперь во мне должно быть вдове больше уверенности в том, что блок рабочий?
>От чего то он поплавился же?
Да хуй знает, за ноутом тем самка "работает", оно могло искрить и плавится пол года и никто бы не заметил.
Аноним 10/05/17 Срд 15:51:04  283111
>>280133 (OP)
Слышал что существует какой-то уберпиздатый паяльник который чувствует температуру жала и когда ты касаешься жалом детали и оно остывает, то паяльник нагревает его сильнее. Короче, поддерживается постоянная температа жала.
Даже хз, может это мои маняфантазии. Бывает такое? Как называется? Сколько стоит? Где достать?
Аноним 10/05/17 Срд 16:02:23  283112
>>283111
Ты про паяльную станцию с контролем температуры?
http://electrik.info/main/praktika/870-kak-vybrat-payalnuyu-stanciyu.html
Аноним 10/05/17 Срд 16:47:25  283113
П21.jpg (1457Кб, 1535x1885)
двач.jpg (1519Кб, 1535x1885)
1. Правильно предполагаю, что это колебательный контур? Что четвёртая ёмкость служит для ПОС?
2. Что это вообще такое, зачем это надо и как это работает?
3. Участок цепи предназначенный для модуляции сигнала информацией с микрофона B1 через усилительные каскады на транзисторах V9, V10, V11?
4. Два как бы П-образных фильтра?
5. Нахуя этот стабилитрон?
6. Фильтр?
Подскажите пожалуйста хотя бы где найти ответы.
Аноним 10/05/17 Срд 17:10:42  283115
>>283111
Существует дохуя таких паяльников и объединяет их одно - термостабилизация.
Аноним 10/05/17 Срд 18:22:50  283118
>>283071
Ты же разобрался, что >>283068 ответ на >>283052 , да?

>>283072
>Уж не резисторы же
Ага, они самые. Не заморачивайся, возьми лучше диоды с запасом.

>>283074
Конечно удалять. Во первых, это гарантирует тебе равномерное травление всей платы (иначе не прикрытые/слабо прикрытые бумагой края платы перетравятся а часть накрытая бумагой останется недотравленной), во вторых так ты сможешь проконтролировать качество перенесенного изображения(и в случае чего дорисовать перманентным маркером, например, или переделать все с ноля). Из личного опыта, более высокое качество переноса картинки удавалось получить путем медленного остывания естественным путем под гнетом(в стопке газет под 20-ти кг грузом. только бумажкой проложи, газетные чернила пачкаются).

>>283091
По хорошему - спроси в /pr. А так, погугли методы расчета контрольных сумм и найди тот, который применяется у тебя.

>>283094
Только штекер поплавился? Грелся один из штырей питания? Наверняка имел место плохой контакт, появилось сопротивление, контакт начал греться, ну а итог перед тобой.

>>283105
Втыкаешь щупы по цветам, красный туда где Hz написано (кто бы мог подумать, да?), ставишь крутилку на Hz, смотришь на дисплей, охуеваешь от своей крутости. Или как анон говорит, попробуй ткнуть Hz в работе. ну и инструкцию почитай конечно, мы же не экстрасенсы тут
Аноним 10/05/17 Срд 18:34:36  283119
>>283118
>Только штекер поплавился?
Других повреждений не видно. Штыри в разъеме были в плохом состоянии. Нашел донор, перепаял на нормальный.
>Грелся один из штырей питания?
В душе не ебу. БП не мой. В штекере обрыв одного проводника. В разъеме только поверхностные повреждения.
>Наверняка имел место плохой контакт
Пизда могла даже не до конца вставить штекер в разъем, и не обращать внимания на нагрев и искрение.

Твой прогноз?
Аноним 10/05/17 Срд 19:09:22  283122
>>283119
Почти наверняка живой, втыкай в ноут.
Аноним 10/05/17 Срд 19:36:57  283125
>>283118
>погугли методы расчета контрольных сумм и найди тот, который применяется у тебя.
Проблема в том, что там написано, что контрольная сумма получается с помощью XOR всех элементов. Но как я ни пытался, ну никак не получается это число. Хуй знает, непонятно нихуя.
Аноним 10/05/17 Срд 19:54:12  283128
>>283125
Там делается целая серия ХОРов, на самом деле.
Выбирают число для первого хора по спеке/по crc, на педивикии есть табличка https://ru.wikipedia.org/wiki/Циклический_избыточный_код и его длину 8 бит, например. Дальше херачат ХОР этого числа и первых 8 бит пакета, затем результат херачат ХОРом со вторыми 8-ю битами, затем с 3-ми, и так далее пока не пройдут весь пакет.
Ты выяснил как именно считается твоя контрольная сумма, как она называется, хотяп?
Спросил в /pr? Копай глубже, кури, вникай, возьми готовый код.
Аноним 10/05/17 Срд 20:14:53  283129
>>283113
Соус? П21 не гуглится.
Аноним 10/05/17 Срд 20:21:15  283132
>>283113
1.Ёмкостная трёхточка ГПД.
2.Удвоитель частоты.
3.Согласующий автотрансформатор. Модуляция током коллектора.
4.П-контур.
5.Для стабилизации режима ГПД. Помгает от ухода частоты.
6.П-контур.
Гугли по названиям.
Аноним 10/05/17 Срд 20:23:07  283133
>>283125
Образующий полином может быть разный.
И тупо XOR всех бит, это CRC-1 или просто бит четности.
Аноним 10/05/17 Срд 20:24:07  283134
>>283074
Подсказываю. Если юзаешь фотобумагу, то удаляй остатки бумаги с помощью изоленты. Клеишь ее на плату, проглаживаешь и тихонько отклеиваешь. Хорошо прижаренный тонер останется (а если слазит, то лучше переделать, а не подкрашивать маркером), а бумага сойдет с меди. А вообще, закажи на али бумагу для термотрансфера (PCB transfer paper, желтая такая), гораздо проще с ней, она сама отходит, не надо пальцами размоченную скатывать.
Аноним 10/05/17 Срд 20:54:48  283143
>>283105
Там на корпусе человеческим языком написано 1000в. Чё тупишь?
Аноним 10/05/17 Срд 21:02:20  283144
>>283132
Спасибо
Аноним 10/05/17 Срд 21:32:09  283148

>>283144
73!
Аноним 10/05/17 Срд 21:39:08  283150
>>283134
>>283118
>>283098
Спасибо, может таки решу проблему говенных самопальных печаток
Аноним 10/05/17 Срд 22:01:46  283151
ab623ca22da65c4[...].jpg (447Кб, 1632x2000)
SK-MIX02A-rear.jpg (152Кб, 800x631)
Низкочастотные ублюдки, поясните ньюфане, вот есть микшер пикрелейтед, родной блок питания на 12вольт и 1.5А, он давно сгорел. Вот есть у меня блок на 15вольт и 2А, если подключу, оно сгорит к ебеням?
Аноним 10/05/17 Срд 22:06:56  283152
>>283151
> поясните ньюфане
Ты не ньюфаня ты пидарас. Иди нахуй со своими пидорскими картинками.
Аноним 10/05/17 Срд 22:08:55  283153
>>283152
С чего такое возгарание?
Аноним 10/05/17 Срд 22:12:53  283154
>>283153
> возгарание
Тебя послали нахуй. Что не нравится?
Аноним 10/05/17 Срд 22:19:05  283155
>>283154
За все не надо отвечать, психопат
Аноним 10/05/17 Срд 22:23:02  283156
>>283155
Сделай бочку быдло. Сосни хуйцов.
Аноним 11/05/17 Чтв 03:05:19  283179
IMG2419.JPG (48Кб, 770x700)
>>283150
Тут всё упирается не столько в скил, сколько в качество оборудования.
И утюгом на мамкином принтере ты хоть удрочись, но хорошую печатку не сделаешь.
Поясняю:
Нарисовать печатку. Равномерное заполнение, полигоны в сеточку - вот это всё. Научишься.
Подготовка текстолита. Мытьё, химическая чистка, предтравление. Разберёшься.
Хорошее железо. Принтер, бумага, термопресс\ламинатор. Купишь.

Пикрил - букавы 1мм ростом.
Аноним 11/05/17 Чтв 03:18:01  283181
blob (61Кб, 643x441)
В дипломе есть 2 пункта,которые я не могу сделать(
Анализ схемы электрической функциональной GorenjeWA65145
Анализ схемы электрических соединений GorenjeWA65145
Скинул описание схемы электрической функциональной,(возможно с ней будет понятнее) может кто помочь?
Аноним 11/05/17 Чтв 03:20:41  283182
>>283181
Ну я временами чиню такое барахло, но всё равно не понял чего те надо.
Аноним 11/05/17 Чтв 06:58:53  283188
>>283181
> В дипломе есть
> не могу сделать
> Анализ схемы электрической сраной стиральной машины
Вон из профессии!
Аноним 11/05/17 Чтв 07:38:21  283189
Мне только что в голову пришла гениальная идея.
Если есть дохлая плата ноута и не понятно что с ней, можно исключить КЗ, прозванивая все конденсаторы.
Если хоть один конденсатор звонится как КЗ, то это причина поломки.
Ну то есть эта часть.
Ну то есть если между двумя выходами конденсатора меньше 1 Ома, но это не нормально.
Хорошо придумал?
Аноним 11/05/17 Чтв 07:56:50  283191
1348999378206.jpg (77Кб, 602x480)
>>283189
> Хорошо придумал?
Молодец.
Держи няшу.
Аноним 11/05/17 Чтв 09:33:25  283194
wyh.png (18Кб, 855x157)
>>283128
Вот все что написано по этому поводу в руководстве.
Аноним 11/05/17 Чтв 10:29:45  283196
Сап посоны! Срочно нужен транзистор BF245A, нам скоро схему делать, а в универе его нет, сказали самим искать.
В инете он везде недоступен для заказа.
Его можно заменить подобным, если до то каким?

Добра
Аноним 11/05/17 Чтв 10:41:36  283197
Анонас, привет. Есть олдовая книжкочиталка pocketbook 360. Там подходит к концу батарейка. Родная уже года 4 назад сменена на BL4CT. Правильно я понимаю, что те BL4CT, что сейчас продаются на али/ибее, это батарейки выпущенные в лохматых годах? На какую заменить, чтоб была похожа по размерам? Как вообще искать батарейку по размерам не зная конкретной модели?
Аноним 11/05/17 Чтв 10:56:54  283198
> тян порвала наушники
> аккуратно спаял и нахуярил изоленты с термоусадкой на штекер
> покпок имидж кукарек некрасиво
> забрал себе
> через пару дней ношения каких то там своих наушников просит перепаянные обратно
Аноним 11/05/17 Чтв 11:38:28  283207
Аноны, есть такая задача, нужно разбить звуковой файл на двумерный массив, где каждый элемент - это частота и длительность отрезка. Проблема в том, что я вообще не представляю как это сделать программно. Можно конечно вывести линейный сигнал на ацп МК и там уже анализировать, но это совсем мудацки, хочется это на комплюктере сделать.
Аноним 11/05/17 Чтв 11:42:21  283208
>>283207
ffmpeg
На самом деле хз, но ещё не было такого что он не мог для меня сделать.
Аноним 11/05/17 Чтв 11:59:36  283211
>>283208
Ммм, насколько я понял это программа для перекодирования аудиофайлов. чем мне поможет?
Аноним 11/05/17 Чтв 12:02:57  283212
>>283196
Любой N-channel мосфет, ты же не ракету строишь.
Аноним 11/05/17 Чтв 12:15:53  283213
>>283211
Вилео и аудио. Там целая куча всяких фильтров-хуильтров. Может и тебе что-нибудь подойдет.
Аноним 11/05/17 Чтв 12:20:34  283214
>>283212
датчик дыма
Аноним 11/05/17 Чтв 12:26:59  283217
Можно ли на мат.плате заменить конденсатор 4v 680uF на 6.3v 1000uF?
Аноним 11/05/17 Чтв 12:28:20  283218
>>283196
КП302
Аноним 11/05/17 Чтв 12:44:40  283220
>>283217
Если это по питанию, то станет только лучше.
Аноним 11/05/17 Чтв 13:04:34  283221
>>283217
Если сможешь отпаять и припаять не уебав всю плату.
В них несколько слоев дорожек и огромная теплоемкость.
Аноним 11/05/17 Чтв 13:08:22  283222
>>283214
Купи готовые модули на али и собери типа беспроводную хуитку с приложухой под ведро. Получишь зачёт, респект от препода и ачивку "серьёзный подход".
Аноним 11/05/17 Чтв 17:19:04  283241
cameringo201705[...].jpeg (669Кб, 2304x1728)
Привет ребят. Из старой мышки вытащил две детали, даташит на детальки найти не могу, может кто подскажет правильный вектор?
Аноним 11/05/17 Чтв 17:21:31  283242
>>283241
Кварц и контроллер.
Аноним 11/05/17 Чтв 18:03:07  283247
130221984383.png (84Кб, 299x288)
>>283179
>полигоны в сеточку
Аноним 11/05/17 Чтв 19:18:29  283250
>>283242
это не кварц, а керамический резонатор - сильно удешевленный аналог кварца
Аноним 11/05/17 Чтв 19:19:55  283251
Привет, спецы!
Можно ли спаять ли такое устройство, как механический переключатель источника для головной гарнитуры?
Гарнитура обычная, компьютерная (стерео наушники + микрофон).
Подключается к компьютеру двумя штекерами 3.5мм jack (3-х пиновыми т.к. стерео).
И было бы удобно через неё же общаться и по смартфону, не перетыкая постоянно штекеры.
В смартфоне разьём 4-х пиновый 3,5 мм combo-jack (переходники 1-4pin на 2-3 pin продаются, например: https://www.aliexpress.com/item/NI5L-3-5mm-Male-to-2-Female-Audio-Stereo-Splitter-Earphone-Extension-Cable/1218055257.html).
И плюс к этому нужен какой-то "свитчер/селектор/микшер" которым можно было бы механически переключать какие провода сейчас подключены к гарнитуре - от компьютера или от смартфона.
Это возможно?

Похожие устройства существуют:
http://www.ebay.com/itm/300815792392
http://www.ebay.com/itm/300884138147
http://www.ebay.com/itm/302123756784
Но они все сделаны с 4-х пиновыми jack.
Если купить какой-то из них, то для подключения придётся ещё несколько переходников применять - неудобно.
Аноним 11/05/17 Чтв 19:35:26  283252
>>283194
Вроде все понятно, только это не CRC. Все байты после STX поксорить друг с другом и записать в шестнадцатеричном виде по таблице ASCII (функция itoa в си).
Все совпадает: если поксорить 0x80 0x30 0x31 0x31 0x31 0x31 0x31 0x03, получается 0xB3. Символу B соответствует 0x42, символу 3 - 0x33.
Аноним 11/05/17 Чтв 19:35:56  283253
blob (355Кб, 630x615)
Аноны, срочно нужна такая кнопка, может кто продать такую или подсказать, где купить в ДС2? В чипдипе нет, с Алика ждать долго.
Аноним 11/05/17 Чтв 20:13:29  283255
>>283253
В любом маломальки нормальном радиомагазине же есть ну
Этож для педали гитарной, в интернете полно предложений на крайний случай
>>283251
>Это возможно?
Чому нет, можно
Можно даже на МК запилить чтобы все автоматически происходило.
Банально взять переключатель с несколькими контактными группами
Аноним 11/05/17 Чтв 20:16:25  283256
>>283250
>сильно удешевленный аналог кварца
>16.000 МГц - 10р
OH U
>>283241
А без шуток если, то я сильно сомневаюсь что с этим МК можно что-то сделать, это же китайцы. Да и резонатор этот так себе
Аноним 11/05/17 Чтв 20:18:37  283257
>>283247
>>283179
Полигоны ведь действительно пидорасит, вроде как вычитал что это связано с работой лазерного принтера
Пока тупо перманентным маркером усиливаю полигоны, но как то по колхозному это
Аноним 11/05/17 Чтв 20:32:24  283259
>>283256
У кварца точность - десятки ppm, у керамики - сотни-тысячи ppm.
И это не МК, а просто огрызок - спец. херня для чтения значения сенсора и высирания этого самого значения в USB. На дешевых мышах оно даже с завода никак не программируется, это просто спецмикруха.
Аноним 11/05/17 Чтв 21:09:49  283261
>>283259
Шо, таки совсем ничего? На alldatasheet совсем не те спецификации. Где поискать можно. Мышка была 4tech glaser или как-то так.
Аноним 11/05/17 Чтв 21:19:55  283263
>>283255
>Можно даже на МК запилить чтобы все автоматически происходило.
Да нет автоматом не надо, хочется простым тумблером переключать когда нужно
Аноним 11/05/17 Чтв 21:45:12  283265
Есть какой-нибудь DarkIntornet для даташитов? Где их брать для всяких арм-процов сотовых и прочих ведроидов?
Аноним 11/05/17 Чтв 21:50:09  283267
DBDBPOWER-Netwo[...].jpg (487Кб, 1000x1000)
Спрошу ещё тут - >>283266
Аноним 11/05/17 Чтв 22:23:44  283270
>>283266
> чё за говно на втором пике.
забивалка проводов в кросс
Аноним 11/05/17 Чтв 22:25:03  283271
>>283270
https://www.wtlan.ru/catalog/Krossirovochnyyinstrument/1193/
SD ебать его в сраку. Аноним 11/05/17 Чтв 23:21:03  283276
mp2dik8jc2rhcsd[...].jpg (40Кб, 400x386)
mmc.jpg (196Кб, 1888x529)
Как правильно инициализировать СВ карту памяти? Почему в первом варианте карта не отвечает, а во втором ответила?
Аноним 12/05/17 Птн 01:09:08  283279
>>283276
Ты че ебанутый? Нахуй ты с ней общаешься?
Аноним 12/05/17 Птн 03:52:07  283282
каким дешёвым средством отрубать источник питания при определённо малом токе?
Аноним 12/05/17 Птн 06:08:40  283286
(до 5в)
Аноним 12/05/17 Птн 08:32:12  283294
>>283282
Шунт и реле
Аноним 12/05/17 Птн 08:34:46  283295
>>283294
я вообще нуб, гугл поможет в том, что это ? их как-то соединить?
Аноним 12/05/17 Птн 09:10:01  283298
>>283252
>Символу B соответствует 0x42, символу 3 - 0x33.
Чего???
Аноним 12/05/17 Птн 10:22:00  283308
>>283063
Можно.
С дросселями кухня такова - чем больше индуктивность - тем больше витков, тем сильнее дроссель намагничивается постоянным током. Если выходной ток твоей схемы меньше постоянного допустимого для дросселя - то бОльшую индуктивность ставить можно без проблем.
Аноним 12/05/17 Птн 10:22:57  283309
>>283063
Дроссель железо-распыл или феррит с зазором. Феррит без зазора нельзя - ибо постоянный ток.
Аноним 12/05/17 Птн 10:26:00  283310
>>283298
ASCII
Аноним 12/05/17 Птн 10:27:43  283311
>>283151
Скорей всего нет, но имеет право.
Аноним 12/05/17 Птн 10:30:04  283312
>>283189
С учетом того, что все конденсаторы по шине включены параллельно - прозвонить их по отдельности не получится.
Можно дать в шину ток от внешнего низковольтного источника с огромным током - пробитый конденсатор хлопнет, т.к. ему весь ток и достанется.
Аноним 12/05/17 Птн 10:34:22  283314
>>283310
Пиздец, какой индус это придумал. 1 байт преобразовать в аскии, т.е. превратить в 2 байта и посимвольно передавать так. У меня понос от этой хуйни
Аноним 12/05/17 Птн 11:41:19  283319
есть стабилизатор 7805c, никак не могу найти даташит на него, интересует входное напряжение.
кроме 7805с на нем написано "8410 EL SALVADOR"
Аноним 12/05/17 Птн 12:52:10  283325
>>283319
Ох Бро, завидую тебе! Похоже у тебя фейковая деталь, одна из тех в которых мексиканские наркобароны провозят кокаин. Вскрой её, посмотри что там внутри спрятано, кажется ты богач!
Аноним 12/05/17 Птн 13:04:09  283329
2017-05-12130242.jpg (79Кб, 434x177)
>>283319
>SALVADOR
Проиграно
>никак не могу найти даташит на него
Кому ты пиздишь? Мне? Куну выше? Или себе? Вторая ссылка в гугле
Аноним 12/05/17 Птн 13:12:33  283331
>>283329
>корпус D-PAK
У моего ТО-220
Аноним 12/05/17 Птн 13:13:35  283332
>>283325
лол, могу сфоткать, если не веришь
Аноним 12/05/17 Птн 14:54:36  283336
IMG0395.JPG (1012Кб, 3264x2448)
IMG0399.JPG (1520Кб, 3264x2448)
IMG0401.JPG (1617Кб, 3264x2448)
IMG0402.PNG (1379Кб, 750x1334)
Перепал от деда прибор пикрелейтед, использовался как мини-дрель\гравер.

Может кто знает, как загуглить этот двигатель? На нем нет никаких опознавательных знаков, хочу узнать его характеристики

Блок питания по артикулу идентифицируется как "магнитный пускатель", 10 ампер на 38 вольт вроде как. Можно ли его также использовать как блок питания для ЛБП или нет?
Аноним 12/05/17 Птн 15:01:21  283337
>>283325
Кокаин был только в гт404, гт402 и некоторых ОУ.
Аноним 12/05/17 Птн 15:02:34  283338
>>283336
Там от пускателя только корпус. Вскрой коробку, яви миру махарайку.
Аноним 12/05/17 Птн 15:11:04  283339
IMG0403.JPG (1992Кб, 2448x3264)
>>283338

... выяснил что ученые скрывали от нас

сколько эта ебанина выдает, интересно? есть мультиметр, но понятия не имею куда щупы приложить чтоб не убило нахуй, пушто я нюфаг
Аноним 12/05/17 Птн 15:29:20  283340
>>283339
Приложить их к кабелю, идущему на моторчик.
Аноним 12/05/17 Птн 18:26:19  283346
trans.png (3Кб, 277x286)
Почему не делают двойные трансформаторы как на пикрел? Это ж ведь в 10 раз меньше витков надо мотать!
В чем их недостатки/подводные камни?
Аноним 12/05/17 Птн 18:38:54  283347
1.jpg (1095Кб, 1200x800)
DOC002715544.jpg (51Кб, 406x600)
DOC002715547.jpg (13Кб, 148x280)
123.jpg (82Кб, 633x648)
Запрашиваю помощь, о всезнающие радиодвачеры, выручайте ньюфага! Просто взгляните на пикчи, на первых двух схема и фото в готовом виде. Внимание вопрос! Возможно ли заменить кнопку, как на схеме и фото(кнопкаА), кнопкой В? И если да, то как? Просто на кнопке А 9 выводов, а на кнопке В - 6. Заранее спасибо!
Аноним 12/05/17 Птн 18:47:42  283348
>>283346
> В чем
КПД, железо.
Аноним 12/05/17 Птн 19:02:06  283349
>>283348
>КПД
Почему?
>железо.
Железо что?
Аноним 12/05/17 Птн 19:08:05  283350
если магнит примагнитить к катушке то в ней ведь ток образуется?
Аноним 12/05/17 Птн 19:10:55  283351
>>283349
>Железо что?
Гранату. Да, меня тоже бесят дебилы, высирающие одно слово и пойди пойми что он имел в виду
Аноним 12/05/17 Птн 19:12:16  283352
>>283351
не тупому понятно что речь про количество
другой анон
Аноним 12/05/17 Птн 19:13:58  283353
>>283352
>другой анон
эх семён, семеныч
Аноним 12/05/17 Птн 19:25:08  283355
>>283353
> эх
Крестись когда чудится. Это я про железо писал. Железа в джва раза больше понадобится. И провуда нихуя особо не сэкономишь.
Допустим нужен транс 500Вт 30В 1:8. Мотаем первый 1:2. Первичка 0.3мм, вторичку на 110В уже нахуяришь 0.5мм. Второй транс хуяришь 1:4. Первичку 110В опять 0.5мм, а вторичку 2мм. В итоге ты трижды мотаешь многовитковые обмотки, вместо одной
Аноним 12/05/17 Птн 19:29:00  283357
>>283350
Пока ты их взаимно двигаешь - образуется. Остановился - тока нет.
Аноним 12/05/17 Птн 19:30:20  283358
>>283314
Зато на экране терминала будет все видно нормальными символами.
Аноним 12/05/17 Птн 19:30:40  283359
>>283357
но почему, ведь электроны движутся, нет? или они вращаются только вокруг магнита?
Аноним 12/05/17 Птн 19:31:21  283360
>>283337
В П213 точно был, сам его оттуда высыпал.
Аноним 12/05/17 Птн 19:33:09  283361
>>283346
В первом 1:20 витков в первичке будет ровно столько же, сколько в 1:400. Никакой экономии нет.
Аноним 12/05/17 Птн 19:34:07  283362
а кто-то шарит в алюминиевых катушках, вроде ж они хоть и больше но легче?
Аноним 12/05/17 Птн 19:34:20  283363
>>283347
Можно, если тебе не критично, чтоб при включении кнопкой зажигался светодиодик. Его контактная группа исключается.
Аноним 12/05/17 Птн 19:37:00  283364
>>283359
Они вращаются только вокруг ДВИЖУЩЕГОСЯ магнита. Вокруг неподвижного они шарахаются как попало, точно так же как и без него.
Законами Максвелла описывается.
Аноним 12/05/17 Птн 19:39:01  283365
>>283364
нихуя себе новости
т.е. магнитное поле не вращающееся
Аноним 12/05/17 Птн 19:40:20  283366
>>283365
Ну как ты представляешь вращающееся поле? У него есть линии напряженности, векторы направления.
Аноним 12/05/17 Птн 19:41:01  283367
>>283366
как уж как, электроны летающие вокруг
Аноним 12/05/17 Птн 19:44:51  283368
>>283355
Я не случайно нарисовал такую картинку. Если мне нужен трансформатор тока 1:400 витков, то нахуя мне мотать 400 витков, если можно намотать 1:20 и 1:20, т.е. вместо 401 витка всего лишь 22 витка?
На железо похуй, потому что оно стоит дешевле рабочего времени того кто наматывает к примеру. Ну в моем случае у меня есть 2 сердечника.
Аноним 12/05/17 Птн 19:45:15  283369
>>283367
"Электроны летающие вокруг" - это круговой электрический ток. Это как бы физическая часть, осязаемая.
А поле - это магия, оно измерено, выработаны законы (посмотри википедию про законы Максвелла), но природа его нихуя не понятна. Так сделал Создатель.
Аноним 12/05/17 Птн 19:45:19  283370
>>283368
>всего лишь 42 витка
фикс
Аноним 12/05/17 Птн 19:46:38  283371
>>283369
>круговой электрический ток
ну вот а если примагнитить к катушке то ток же идёт через катушку, почему нет эл-ва?
Аноним 12/05/17 Птн 19:47:22  283372
>>283368
Если у тебя 20 витков не вгонят сердечник первого трансформатора в насыщение - то работать твоя сборка будет в принципе.
Если похуй на рабочее время намотчика - то какая разница мотает он 20 витков толстым проводом или 400 тонким?
Аноним 12/05/17 Птн 19:47:48  283373
очередная идея фикс
а все так ахуительно поверь
ты сидиш на диване держиш в руке смартфон, и на огромном экране ЦРТ ящика величиной с твою кухню прыгают пони...

ближе к телу
есть один гейфон, у него на жопке есть фиревира 1394 ога?
но ана же цифра?
и вот тут вопрос как мне эту цифру загнать в аналог?
ну чтобы я смог смотреть на своем црт в гараже...

погуглил интернеты кроме гейфон тиви ничего не нашел...
за 14 рудлей я куплю смарт тиви ога?
Аноним 12/05/17 Птн 19:48:08  283374
>>283371
Пока примагничиваешь или отрываешь - идет. Потому что МАГИЯ Максвелла.
Аноним 12/05/17 Птн 19:51:17  283375
>>283374
другой анон
а можно поподробней и с табличками какие сплавы и тд ...
в общем чтобы хотябы приблизительно подсчитать силу давления
к примеру есть шток 4 миллиметра, и напряжение бортовой сети 12 вольт, сколько матать? хотябы примерно, и токи самоиндукции тамже должны вазникать...
Аноним 12/05/17 Птн 19:56:03  283376
>>283372
>Если похуй на рабочее время намотчика
Я ващет написал похуй на железо, а не на рабочее время. С тонким проводом еще и геморроя гораздо больше.
>Если у тебя 20 витков не вгонят сердечник первого трансформатора в насыщение
А как это посчитать?
Я понимаю это так:
Напряжение на вторичке второго транса на низкоомной нагрузке (допустим 10 вольт) делим на 20, получаем 0.5 в на первичке, затем нужно посчитать не вгонит ли 0.5в за полупериод сердечник в насыщение. Это правильно?
Аноним 12/05/17 Птн 20:08:03  283377
>>283360
Всего не упомнить. В некоторых просто чуток намазано было у кристалла и выводов.
Аноним 12/05/17 Птн 20:27:14  283381
>>283363
>>283363
Да можно и без него, но я все равно не понимаю как тогда это все дело будет выглядеть... Я просто не понимаю как работает эта кнопка, где у нее что и на что влияет.
Аноним 12/05/17 Птн 20:35:01  283382
comp149-33.png (5Кб, 348x210)
>>283257
Сеткой делай полигоны, тебе же сказали.
Аноним 12/05/17 Птн 20:46:15  283383
photo2017-05-12[...].jpg (176Кб, 1280x720)
>>280133 (OP)
Анончик, есть плата фм-трансмиттора, который не заряжается, но работает от сети, джва вопроса:
1) Почему он не заряжается и что в нём поменять, я думаю, дело в баттарее.
2) Где на схеме антенка и как к ней припаять что-нибудь, чтоб усилить дальность действия?
Аноним 12/05/17 Птн 20:56:26  283385
>>283381
Нормальную схему достань на это, а не монтажку.
Аноним 12/05/17 Птн 22:24:30  283388
>>283382
Я сделал тестовую плату с разными вариантами заливки, как протравлю выложу сюда
Аноним 12/05/17 Птн 22:29:14  283390
hui.jpg (51Кб, 1180x159)
>>283279
>>283276
Всё таки эта сучка ответила мне взаимностью.
Аноним 12/05/17 Птн 23:18:41  283394
>>283179
Ебать, расписал все, как будто открыл секреты Ватикана. Базарю: а) посрать на твои полигоны сеточкой, на мытье, блядь, вместе с химической чисткой (анус себе химически отмой), б) ламинатор можешь в сраку засунуть. Все, что надо - текстолит кухонным порошком хорошенько напидорить и с бумаги для термотрансфера хорошенько прожарить утюгом текстолит. Все, сплошные пиздатые полигоны без всяких сеточек и расплывшихся дорожек гарантированы. Все упирается в скилл.
С примера поржал. Молодец, а полигоны-то твои, сеточкой, блядь, где? Такие дорожки любой долбоеб с журнальной бумагой сделает
Аноним 12/05/17 Птн 23:22:20  283396
>>283253
http://www.audiomania.ru/pereklyuchatel/audiocore/audiocore_3pdt_footswitch.html?utm_source=gdeslon&utm_medium=cpa&utm_campaign=affiliate&from_pid=41467&gsaid=76972&_gs_ref=db679b645df128523949578b2775ccbe05c91871&_gs_cttl=180#38968
Будет дорого.
Аноним 12/05/17 Птн 23:28:33  283397
pic001.jpg (29Кб, 340x255)
>>283394
>кухонным порошком
Что за порошок?
Аноним 13/05/17 Суб 00:05:55  283400

>>283294
>>283294
>Шунт
устройство, которое позволяет электрическому току (либо магнитному потоку) протекать в обход какого-либо участка схемы
что нужно сделать ?
Аноним 13/05/17 Суб 00:06:21  283401
>>283397
кокаин
Аноним 13/05/17 Суб 00:07:52  283402
i67977788300612[...].jpg (28Кб, 450x450)
240x320.jpg (9Кб, 240x240)
EVMKeMuSFqYTc1I[...].jpg (31Кб, 500x500)
pemonew0.jpg (16Кб, 310x176)
>>283397
Аноним 13/05/17 Суб 00:18:14  283405
14931628584370.jpg (44Кб, 499x395)
У меня туповатый вопрос, на грани наркомании.
В общем, суть. Есть мк с 10-бит ацп, 1.1в внутренний реф, хочется поточнее измерить напряжение (до тысячных). И чтобы это сделать, пришла в голову, скорее всего, тупая мысль: один АЦП через резисторный делитель измеряет грубо, т.е. целую часть (+ десятые, если точность позволяет), а на второй ацп надо подать дробную часть, т.е. <1в. Вот, каким макаром можно аналогово уронить напряжение таким образом, чтобы оставить только <1в дробную часть? В голову приходит херовина, которой скорее всего нет в природе: некий автокоммутатор диодов или даже бандгапов, например до 50 шт по 1в последовательно, который допускает входное напряжение до 51в и выдает остаточные <1в. Кто-нибудь слышал о такой йобе? Ну и если у вас есть какие-то мысли по данному вопросу, прошу озвучить.
Аноним 13/05/17 Суб 00:20:40  283406
>>283402
Сука, это гениально. А я то с ацетоном ебся.
Аноним 13/05/17 Суб 00:23:34  283407
аноны, поясните, мерял пленочный конденсатор пикрелейтедом. Показало ESR=10 ом. Че за хуйня, почему так много? У электролитов вроде бы ESR уровня долей ома. Почему тут так много?
Аноним 13/05/17 Суб 00:58:27  283409
>>283407
>Че за хуйня, почему так много
Вероятно конденсатору пизда.
Аноним 13/05/17 Суб 01:56:41  283414
>>283405
Каких нахуй бандгапов? Ты в курсе, что банд гап это запрещённая зона? Ты в курсе, что такое запрещённая зона?
бамп Аноним 13/05/17 Суб 02:45:20  283415
>>283282
Аноним 13/05/17 Суб 06:59:19  283416
Scheme.jpg (146Кб, 1424x968)
>>283385
>>283385
>>283385
Есть только такая
Аноним 13/05/17 Суб 08:27:03  283417
1611dia5.gif (13Кб, 440x306)
>>283416
Посмотри на распиновку кнопки и подумай дальше, какие три вывода тебе не нужны.
Аноним 13/05/17 Суб 09:12:17  283419
>>283383
Бамп
Аноним 13/05/17 Суб 09:12:57  283420
productimg2202.jpg (94Кб, 600x600)
productimg2055.jpg (88Кб, 600x600)
Хало, аноны. Платиновый запрос имею я.
Приобрёл тут генератор импульсов на NE555.
Теперь пырюсь в него и пытаюсь родить схему. Задача - с помощью этой штуки поуправлять сервомашинкой.
Есть потенциометр (а нужен ли он?)
Скажи мне, анон, правильно ли я мыслю:
Вот есть пины VCC GND OUT
OUT соединяю с соответствующим разъемом сервомашинки, на + и - сервомашинки подаю питание отдельно.
Как подрубить потенциометр к VCC и GND, чтобы оказывать влияние на сигнал?
Аноним 13/05/17 Суб 09:35:06  283423
>>283420
На первом пике хедер не для выставления режима работы случайно?
Аноним 13/05/17 Суб 09:35:56  283424
>>283409
Нет, я измерил несколько таких же конденсаторов, и у всех показывает 9.9-10 ом. Причем это хорошие конденсаторы, для индукционной плиты. У них не может быть такой еср.
Аноним 13/05/17 Суб 10:04:52  283427
>>283423
по идее - для него.
Аноним 13/05/17 Суб 10:08:14  283428
image.jpg (32Кб, 300x248)
>>283263
Чет не пойму в чем у тебя сложность. Тебе надо переключатель на 3 канала 2папа и мама джек.
Вспоминаю внутренности kvm из детства.
Аноним 13/05/17 Суб 10:15:02  283429
>>283420
Как подрубить к - и + это же не проблема. Куда вот ты центральный контакт подключишь. я думаю вместо уже установленного на плате потенциометра
Аноним 13/05/17 Суб 10:22:38  283430
>>283429
На этой плате два конденсатора и два переменных резистора. Ты предлагаешь отпаять один из резисторов и вместо него захуячить контакт потенциометра чтоль?
Аноним 13/05/17 Суб 10:55:51  283431
>>283430
Я предполагаю, что один резистор рулит частотой, второй скважностью, но я нуфаг.
Думаю, да. Но ты попробуй сначала покрутить эти резисторы на плате вместе с подключённой сервой. По идее один будет ей управлять. Вот вместо него и паяй свой, более удобный резистор.
А вообще проще даташит прочитать на платку или осцил подключить, хули гадать то.
Аноним 13/05/17 Суб 11:27:44  283434
>>283375
Это не ко мне, я не умею считать электромагниты.
Тот анон
Аноним 13/05/17 Суб 11:35:13  283435
>>283376
Геморрой есть с проводами тоньше 0.05 (легко рвется) и толще 1 (плохо гнется по малому радиусу). Все остальное мотается одинаково легко.
Хочешь научиться считать трансформатры - гугли "расчет трансформатора". Плюс будь готов, что там довольно много эмпирических формул (то есть имеющие своей основой практический опыт, а не математическую модель).
Аноним 13/05/17 Суб 11:41:01  283436
>>283374
Простыми словами - постоянный ток создает постоянное магнитное поле.
А вот постоянное магнитное поле не порождает электрического (разности потенциалов и, как возможное следствие - электрического).
Из первого есть следствием существование электромагнитов (работающем на постоянном токе), а из второго - невозможность добычи электроэнергии из неподвижного постоянного магнита. Поэтому так забавно смотреть на добывателей "сверхединичной энергии" в ютубах.
Аноним 13/05/17 Суб 11:43:44  283437
>>283381
На твоей монтажке выкидываешь среднюю группу контактов - 3 по вертикали, контактов (к которой идут 2 красных и серый провуд (и светодиод с резистором). Крайние подключаешь так же.
Аноним 13/05/17 Суб 11:45:27  283438
>>283383
Куда провода справа идут?
Аноним 13/05/17 Суб 11:50:32  283439
>>283431
В том-то и беда, нормального даташита на это явление нет.

Спасибо, анон, вкусного чаю тебе.
Аноним 13/05/17 Суб 11:51:40  283440
>>283405
Хуйню придумываешь. Твой 10-битный ЦАП и так меряет до тысячных, "в стоке".
Чтобы училивать, вычитать и суммировать - есть такая штука как Операционный Усилитель. Но тебе нужен будет еще и прецизионный источник опорного напряжения (который ты предполагаешь вычитать). В сумме все это такая дурацкая затея,что проще взять готовый АЦП с нужной разрядностью.
Аноним 13/05/17 Суб 11:54:52  283441
>>283407
"Эта хуйня" просто меряет пульсации на конденсаторе на частоте 100 кГц и из их амплитуды вычисляет ESR. У конденсаторов малой емкости на таких частотах существенную погрешность вносит его собственное реактивное сопротивление.
Ты, судя по всему, мерял что-то сильно меньше 1 мкФ.
Аноним 13/05/17 Суб 11:56:24  283442
>>283414
Он имеет в виду источник опорного напряжения как в интегральных стабилизаторах, его так называют иногда.
Аноним 13/05/17 Суб 11:58:24  283443
>>283420
Срисуй схему поделки, на ней всего десяток деталей.
Аноним 13/05/17 Суб 12:16:02  283445
>>283435
но я знаю как считать трансформаторы. Ты мне на мой вопрос конкретно ответь.
Аноним 13/05/17 Суб 12:37:48  283446
>>283441
>его собственное реактивное сопротивление.
Кого его? Измерителя?
Я мерил 0.3uf кондер.
Аноним 13/05/17 Суб 15:52:08  283455
Как можно частично смешать левый и правый канал в стереозвуке? Вывод - 2 RCA.
Замкнуть через резистор? Если замкну, и в обратку пойдет часть сигнала с другого канала, ничего не сгорит?
Какое вообще сопротивление стандартное на выходах, чтобы степень смешивания посчитать и выбрать номинал резистора?
Аноним 13/05/17 Суб 16:09:42  283456
Детектор проводки можно использовать как детектор ЭМИ?
Аноним 13/05/17 Суб 17:11:58  283458
зада.jpg (13Кб, 196x190)
Аноны, по каким параметрам выбираются кондер и резистор для импульсного генератора?
Нужно все как-то по научному обосновать
Аноним 13/05/17 Суб 17:48:11  283459
>>283458
чем меньше резюк тем быстрей заряжаеца кондюк отседа короче импульс, ну или чем больше кондюк тем он дольше заряжаеца импульс следственно длиньше
Аноним 13/05/17 Суб 17:56:42  283460
>>283405
почитай про печку шизика, я там обычным NTC датчиком до сотых градуса мерил, опорное 5 вольт разброс температуры если не спиздеть от -20 до + 60 то 80 градусов и того 5/8000 = 0,000625 одна ступень, но ты заебешся трахаца с паразитными сигналами и прочим мусором...
Аноним 13/05/17 Суб 18:20:18  283463
>>283446
Его реактивное сопротивление на частоте 100 кГц - 5.5 Ом.
Аноним 13/05/17 Суб 18:22:19  283464
>>283463
Да кого "его"? Измерителя или кондера?
Аноним 13/05/17 Суб 18:43:50  283466
>>283459
Спасибо! Но, можно чуть конкретнее? Ну, допустим мне нужна частота 0,3 Гц. Как рассчитать можно?
Аноним 13/05/17 Суб 19:02:08  283470
>>283420
Погугли как управляются сервомашинки, там импульс с длительностью лог 1 от 1 до 2 мс и период в 20мс. Сделать на 555й генератор импульсов с такой частотой и диапазоном изменения скважности можно, но получится сложно-неудобно-нестабильно. Освой хотябы пердуину, там это делается простой настройкой таймера.
Аноним 13/05/17 Суб 19:06:05  283472
>>283470
блять вот я дебил, делал на стм8, а можно же было на сраной 555 сделать
Аноним 13/05/17 Суб 19:07:15  283473
>>283472
Это можно и на дискрете сделать, только нахуя?
Аноним 13/05/17 Суб 19:08:44  283474
>>283473
необоснованное усложнение системы это плохо
Аноним 13/05/17 Суб 19:11:58  283475
>>283474
Усложнение - ты про стмку или таймер?
Аноним 13/05/17 Суб 19:13:59  283476
>>283475
Про мк конечно же
Аноним 13/05/17 Суб 19:15:55  283477
>>283476
Это наоборот упрощение, экономит число дискретных деталей, площадь платы и обеспечивает надежную и стабильную работу, удобство подстройки и множество других возможностей.
Аноним 13/05/17 Суб 19:23:35  283478
Подскажите по частотомерам:
https://2ch.hk/ra/res/283471.html
Аноним 13/05/17 Суб 19:48:26  283479
>>283477
У мк есть другие более достойные применения.
Аноним 13/05/17 Суб 19:51:23  283480
>>283479
У восьминогого ширпотреба, что продается на вес? Конечно, он способен на большее, но здесь он идеально заезжает, особенно если хочешь сделать нормальный сервотестер с переключением частоты и автоматической пробежкой по диапазону.
Аноним 13/05/17 Суб 20:17:07  283482
Анон, подскажи на чём сгородить повышайку с 12в до 30 с выходным током пару ампер.
Есть мосфеты и куча обломков электроники.
Аноним 13/05/17 Суб 20:31:55  283483
>>283482
Ищи контроллер типа uc3845, дергай полевики, индуктивности и диоды и пили буст.
Аноним 13/05/17 Суб 20:37:31  283485
>>283483
О, спасиб, значит я двигаюсь в правильном направлении. Как раз накопал KA3842, NCP1200, SG6848 и TDA4605.
Вроде они все примерно одинакового функционала.
Аноним 13/05/17 Суб 20:47:51  283488
>>280133 (OP)
Двачуны, понадобилось мне тут спаять 16 smd светодиодов для фонаря. Знаю что надо светодиоды надо через резистор делать. Но вот вопрос, можно ли как-то сделать так чтобы не паять к каждому светодиоду по резистору? Т.е. светодиодам сделать общий минус и поставить один, ну или несколько но не 16 резистор. Я нуб полный, только паять и умею дыры в ведре как-то запаивал поэтому с таким вопросом.
Аноним 13/05/17 Суб 20:54:32  283489
14097297417.jpg (17Кб, 448x270)
14097297006.jpg (7Кб, 314x160)
>>283488
Ну вас нахуй, прочитал статью, буду пилить для каждого свой резистор.
Аноним 13/05/17 Суб 21:39:41  283490
>>283488
> для фонаря
> через резистор
Ну если у тебя аккум на 65А*ч то ставь резисторы, а если немного погуглишь то поставишь ШИМ-драйвер и будет тебе КПД
Аноним 13/05/17 Суб 21:45:55  283492
>>283490
При питании белых светодиодов от одной банки лития, у линейных драйверов, или резисторов вполне неплохой кпд, основная проблема резисторов - убывающая с разрядом яркость.
бамп Аноним 13/05/17 Суб 21:58:01  283493
>>283282
Аноним 13/05/17 Суб 22:03:20  283494
поясните за кондёры
они на какой-то диапазон вольтажа расчитаны, а у каких этот диапазон (эффективный) побольше?
Аноним 13/05/17 Суб 22:08:24  283495
>>283494
Все есть в датащитах
>>283282
Симмистор с нужным током нагрузки и током удержания ставишь - при малом потреблении он закроется и выключит бп.
Аноним 13/05/17 Суб 22:08:44  283496
>>283495
> при малом потреблении он закроется и выключит бп.
если коммутация по переменки, офк
Аноним 13/05/17 Суб 22:09:22  283497
>>283495
>Все есть в датащитах
я про тип же. (внутренняя химия всякая)
да и как я буду гуглить и сравнивать даташиты, я нуб.
Аноним 13/05/17 Суб 22:16:28  283498
4.jpg (152Кб, 720x960)
1.jpg (191Кб, 960x720)
3.jpg (96Кб, 720x960)
2.jpg (162Кб, 720x960)
Посоны, на связи криворукий кун.
Я тут с сеточками-хуеточками на полигонах экспериментировал, на пике 3 6 вариантов сеточки а внизу на три ячейки обычная заливка
Вердикт - про сеточки это хуета, на четвертом пике полигоны дефолтные, короч скилл решает, а не сеточки всякие
Аноним 13/05/17 Суб 22:20:07  283499
>>283497
Вопрос нормально сформулируй тогда
Аноним 13/05/17 Суб 22:21:14  283500
>>283498
Перед тем как кинуть в раствор, пройдись по полигонам маркером и не допускай перетравления, тогда все будет четко.
Аноним 13/05/17 Суб 22:22:44  283501
>>283498
Ты ещё ни одной платы нормально не сделал, а уже какие-то выводы делаешь.
Аноним 13/05/17 Суб 22:22:59  283502
>>283500
Перетрава не было
Маркер конечно решает, да
Аноним 13/05/17 Суб 22:23:40  283503
>>283495
как найти нужный ?
ищу TRIAC, по вольтажу не находится, или он не важен? нужен для ли-ионки 2.5-4.2в
Аноним 13/05/17 Суб 22:25:40  283504
>>283501
А типа разницы в протраве разных типов полигонов не видно, да? Даже в кривом моем исполнении
Аноним 13/05/17 Суб 22:26:16  283505
>>283503
блин, он же оказывается
используемый для коммутации в цепях переменного тока
а для постоянного что ?
Аноним 13/05/17 Суб 22:27:01  283506
>>283505
транзистор
Аноним 13/05/17 Суб 22:27:46  283507
>>283504
Я вижу что принтер включает экономию тонера.
Аноним 13/05/17 Суб 22:29:27  283508
>>283506
>>283503
>как найти нужный ?
у транзисторов же наверно разные типы и предназначения, какой нужен чтобы просто пропускать ток определённой величины?
Аноним 13/05/17 Суб 22:29:31  283509
>>283507
А хуй там, даже в настройках выставлена максимальная контрастность
Другое дело что картридж перезаправленный, ну я без понятия влияет это или нет
Из большой платы протравилось всего две дорожки, а так работать будет
Аноним 13/05/17 Суб 22:30:56  283510
>>283508
ЛЮБОЙ
КТ315 подойдет
Аноним 13/05/17 Суб 22:34:25  283511
>>283510
316 может ?
для ли-ионок то
Аноним 13/05/17 Суб 22:34:57  283512
*361
Аноним 13/05/17 Суб 22:37:39  283513
>>283510
а что за частота ему нужна? это не о частоте перемен. тока? или у любого тока частота?
Аноним 13/05/17 Суб 22:40:04  283514
>>283510
U ce 15–60 В
U be 6 В
I c 50–100 мА
I b  50 мА
P 100 мВт
P max 150 мВт
с и be, с и b вот эти — что это ?
Аноним 13/05/17 Суб 22:40:48  283515
>>283514
*
U ce 15–60 В
U be 6 В
I c 50–100 мА
I b  50 мА
P 100 мВт
P max 150 мВт
Аноним 13/05/17 Суб 22:40:59  283516
>>283509
Похуй на настройки, у дешманских принтеров экономия тонера врубается если печатать квадрат малевича.
Кстати не у всех принтеров такая хуйня есть, кому-то везёт, а кому-то - не очень.
Для наебалова этого механизма и делают большие полигоны в сетку.

Оно кстати не факт что у тебя с этим проблемы.
Ты опиши по порядку как и сто ты делаешь, найдём где косяк.
Аноним 13/05/17 Суб 22:44:06  283518
>>283516
Глажу как рукожоп, вот в чем беда.
Еще десяток плат и я набью руку, да и бумагу хитрую заказал, так что норм
Мне тупо было интересно исправит ли положение эти самые сетки

Аноним 13/05/17 Суб 22:45:06  283519
>>283518
Не факт что в утюге проблемы.
Аноним 13/05/17 Суб 23:54:09  283522
>>283508
С такими знаниями пиши всю свою задачу, ты сам же нихуя не понимаешь и вопросы глупейшие задаешь. Если же знать все то можно уже что-то преложить.
Аноним 14/05/17 Вск 00:05:21  283523
>>283522
питать тел. от внешней ли-ионки, припаявшись к соответствующим контактам, но отрубать ток если тел его (почти) не ест.
Аноним 14/05/17 Вск 00:10:52  283524
>>283523
Зачем отрубать ток если тел его (почти) не ест?
Аноним 14/05/17 Вск 00:11:48  283525
>>283524
чтобы не было перетеканий токов между внеш. и внутр. акб
Аноним 14/05/17 Вск 00:15:22  283526
>>283525
Решаешь несуществующую проблему?
Аноним 14/05/17 Вск 00:16:28  283527
>>283526
а по-твоему почему нежелательно подкл разные акб вместе ?
Аноним 14/05/17 Вск 00:24:21  283528
>>283527
Если батареи одного типа (например обе - Li-ion) то похуй, можно в параллель.
Аноним 14/05/17 Вск 00:27:50  283529
>>283528
>Если батареи одного типа
а если разного тогда, то в чём проблема?
Аноним 14/05/17 Вск 00:31:16  283530
>>283529
В том что они разного типа, очевидно.
Аноним 14/05/17 Вск 00:31:50  283531
>>283530
почему проблема
Аноним 14/05/17 Вск 00:33:14  283532
>>283531
Долго объяснять. Погугли чем отличаются аккумуляторы разных типов.
Аноним 14/05/17 Вск 00:33:54  283533
>>283532
я знаю чем отличаются, речь про их подкл вместе если ты не заметил
Аноним 14/05/17 Вск 00:35:19  283534
>>283533
Если ты знаешь, то зачем спрашиваешь?
Аноним 14/05/17 Вск 00:37:44  283535
>>283534
ты тупой или тролишь, не пиши
Аноним 14/05/17 Вск 00:51:59  283536
у какого типа кондёров наименьшая степень саморазряда?
Аноним 14/05/17 Вск 00:59:52  283537
>>283536
У ВВ вакуумных
Аноним 14/05/17 Вск 01:02:46  283538
>>283537
ои вроде все высоковольтные, нужно до 50в
Аноним 14/05/17 Вск 04:55:52  283541
IMG3916.JPG (1107Кб, 2448x3264)
IMG3914.JPG (2109Кб, 3264x2448)
Оче ОЧЕ ньюфажный вопрос, сильно говном не кидайте. Как заменить провода (или кабеля, я хз) в аудисистеме? Имеется Technics SC-EH60. В голову идут по 2 штуки + и - на каждую колонку. Зажаты клемами (пикрил). Достаю оттуда старые. Новые просто до упора всунуть?
Аноним 14/05/17 Вск 05:13:37  283542
>>283541
> до упора
Да хоть на пол шишечки.
Аноним 14/05/17 Вск 06:25:18  283544
>>283542
такой ты остроумный петух
Аноним 14/05/17 Вск 06:27:41  283545
>>283544
это ж хорошо
Аноним 14/05/17 Вск 06:39:54  283546
Regulator-IC-LM[...].png (23Кб, 703x561)
Котоны, дайте совет.
Давно хочу запилить более-менее мощный лабораторный БП, лежит у меня охуенный транс тороид на 37В 6А, почти новый, тобиш на примете линейник, хочу запараллелить 6-8 шт LM317, типа пикрилейтеда, планирую еще регулировку ограничения тока сделать, но проблема в том что на низких выходных напряжениях придется рассеивать в воздух 200-300 ватт. Радиаторы большие мощные у меня есть, не проблема, но концепция обогревателя все-равно чем-то отпугивает. В то же время сетевой импульсник отпугивает еще сильнее, т.к. там пока отладишь схему, спалишь кучу деталей, уебешься током и осколками, да и плата обязательно нужна грамотно разведенная. Что посоветуете, как относитесь к обогревателям?
Аноним 14/05/17 Вск 06:41:49  283547
>>283546
>Котоны
сам котон
Аноним 14/05/17 Вск 06:47:30  283548
>>283466
Выбираешь конденсатор какой-то разумной емкости, например 1-10 мКф для твоей частоты, под него считешь резистор. Проверяешь, чтоб тот был не слишком маленьким (и не перегружал выходы), и не слишком большим (больше 1 МОм).
Аноним 14/05/17 Вск 06:48:37  283549
>>283460
Да не мерил ты нихуя до сотых градуса.
Ты не понимаешь различия между точностью и разрешением.
Аноним 14/05/17 Вск 06:49:13  283550
>>283464
Кондера, само собой.
Аноним 14/05/17 Вск 06:53:50  283551
>>283492
Поддвачую этого. Напряжение литиевой банки - 3.0-3.7В. Напряжение светодиода - около 3В.
В начале разряда через резистор при максимальном токе КПД 80%. Импульсником его можно повысить только совсем чуть-чуть.
Аноним 14/05/17 Вск 06:55:17  283552
>>283551
>3.0-3.7В
я думал что 2.5-4.2
Аноним 14/05/17 Вск 06:55:56  283553
>>283498
Избавляйся от неподключенных островов. От них никакой пользы окромя вреда.
Аноним 14/05/17 Вск 06:59:10  283554
>>283509
Перезаправленный - плохо. Они не дают нормальной плотности, и тонер переводится хуже.
Купи оригинальный, это нормальное вложение на несколько лет.
Аноним 14/05/17 Вск 07:11:31  283555
есть один саб, как подобрать резистор для обрезания верхов? он 8w
Аноним 14/05/17 Вск 09:04:39  283556
>>283546
Советую делать импульсник. А трансформатор продать аудиоёбам.
Вот эту тему изучи: http://forum.cxem.net/index.php?/topic/77467-%D0%B8%D0%BC%D0%BF%D1%83%D0%BB%D1%8C%D1%81%D0%BD%D0%B0%D1%8F-%D0%B7%D0%B0%D1%80%D1%8F%D0%B4%D0%BA%D0%B0-%D0%B4%D0%BB%D1%8F-%D0%B0%D0%B2%D1%82%D0%BE%D0%B0%D0%BA%D0%BA%D1%83%D0%BC%D1%83%D0%BB%D1%8F%D1%82%D0%BE%D1%80%D0%BE%D0%B2-%D0%BD%D0%BE%D0%B2%D0%BE%D0%B4%D0%B5%D0%BB/
Как раз то что тебе нужно. Выходное напряжение до 30 с хуем вольт, мощность ватт 200-300 а то и все 500. Ограничение тока, стойкость к КЗ и всё такое.
Аноним 14/05/17 Вск 09:10:58  283557
v.png (179Кб, 1280x800)
вечер в хату, господа эксперты. имеется электронная сигарета на ардуино, схема пикрелейтед. внимание, вопрос: как в эту схему добавить омметр который будет измерять сопротивление спирали как ебучий делитель напряжения туда воткнуть и вольтметр для аккумов? с меня нихуя
Аноним 14/05/17 Вск 09:12:50  283558
Ардуина блядь, совсем вейперы ебанулись.
Аноним 14/05/17 Вск 09:19:43  283559
>>283558
у меня очки на ардуине, и обувь
Аноним 14/05/17 Вск 09:26:09  283560
ома.png (13Кб, 644x430)
>>283557
Аноним 14/05/17 Вск 09:27:38  283561
>>283560
>дцп
это прально
Аноним 14/05/17 Вск 09:31:59  283562
>>283560
как это всё припиздякать в схему?
Аноним 14/05/17 Вск 10:20:58  283563
image.jpg (160Кб, 753x389)
Я даже погуглил, ибо сижу жду мудака одного и делать нехуй.
Смотри пик, я был прав.
Переключалку ставь на 10-200кгц, правый резистор замени на свой.
>>283439
Аноним 14/05/17 Вск 10:34:10  283564
image.png (65Кб, 855x442)
>>283466
Аноним 14/05/17 Вск 10:48:00  283565
ЗДАРОВА РАДИО-ПЕТУХИ!
Все так же глубоко зарываетесь в ноулайферство?))
Аноним 14/05/17 Вск 11:00:39  283566

>>283548
>>283564
Спасибо, мужики, помогли!
Аноним 14/05/17 Вск 11:29:17  283567
>>283541
Где рифление - туда нажми пальцем.
Аноним 14/05/17 Вск 11:31:52  283568
>>283552
4.2 - это сразу после заряда, под нагрузкой оно падает. А 2.5 или 3 нижнее - это как тебе твоя пролетарская совесть позволит, убивать батарею или беречь.
Аноним 14/05/17 Вск 11:33:35  283569
>>283555
1. Идешь мимо помойки
2. Подбираешь там резистор
3. Обрезаешь верха
4. ????
5. Profit!
Аноним 14/05/17 Вск 11:36:40  283570
>>283559
У меня в толчке ардуина, воду спускает, когда встаю.
Хочу еще в туалетную бумагу встроить, чтоб жопу вытирала, но не знаю какой шилд купить.
Аноним 14/05/17 Вск 11:37:37  283571
>>283562
Никак. Учись вопросы задавать нормально, дебил.
Аноним 14/05/17 Вск 11:42:52  283572
357457631254.JPG (26Кб, 474x442)
Анон, подскажи за ESR, танталовые капы и всё вот это.
У меня тут микропитальник, частоты сверхзвуковые, а токи нагрузки совсем смешные - десяток миллиампер едва.
Что вообще гуглить про эту хрень? И что случится если я туда обычные банки поставлю?
Аноним 14/05/17 Вск 12:07:48  283573
>>283572
ТЫ специально так вопрос задал, что нихера не понятно в чем он.
Хорошо, записывай. ESR - это equivalent series resistance.
Аноним 14/05/17 Вск 12:17:55  283575
>>283572
https://electronics.stackexchange.com/questions/18384/why-does-the-lm1117-data-sheet-specifically-specify-tantalum-capacitors
Аноним 14/05/17 Вск 13:32:07  283577
>>283550
Это сильно плохо?
Аноним 14/05/17 Вск 14:06:03  283578
>>283514
C, B, E - коллектор, база, эмиттер
Аноним 14/05/17 Вск 14:07:38  283579
>>283518
Делал фотобумагой? Ее если хуево гладить, то тонер перегревается и расплывается. На бумаге для термотрансфера у меня такой хуйни не было, так что ей и пользуюсь.
Аноним 14/05/17 Вск 15:58:23  283588
1ae305.jpg (29Кб, 643x261)
Какой тип материала надо применять для изготовления дросселя для такой схемы?
Что туда надо? Ферриты, пермаллои, спрессованное говно дракона... Из наличия только кольца от АТХ блоков питания, ну и собственно, Ш-ферриты от них же.
Аноним 14/05/17 Вск 16:17:51  283591
>>283588
Желтые кольца подойдут.
Аноним 14/05/17 Вск 16:34:59  283593
>>283577
Это естественно и нормально.
Измеритель не предназначен для измерения ESR конденсаторов сильно меньше 1 мкФ. Либо надо понимать, что для таких конденсаторов он будет завышать показания в силу принципа измерения.
Аноним 14/05/17 Вск 16:46:07  283594
2017-05-14150048.png (18Кб, 561x644)
2017-05-14145928.png (40Кб, 675x422)
0CAPlngKbZE.jpg (71Кб, 1280x720)
АРМотред совсем утонул, спрошу здесь. Не все символы принимает, не все верно отправляет обратно. По логике контроллёр должен отдавать то, что принял. Где я мог проебаться? Косяк во внутреннем тактировании? Чтение до полной доставки?
Платка на STM32F108чтототам, переходник PL2303, сигналка 3,3v, на коротыш Rx-Tx реагирует адекватно.
Аноним 14/05/17 Вск 17:18:23  283596
Я конечно понимаю, что али - наше все, но где в ДС2 раздобыть мелочевки по типу джеков, МГТФЭ и всяких *USB, кроме оверпрайснутого чип-дипа
Аноним 14/05/17 Вск 17:34:13  283597
>>283594
>STM32F108чтототам
Таких не существует.

>Косяк во внутреннем тактировании?
Может быть. Микроконтроллер от чего тактируется? Если от HSI, то может точности не хватает. Если от HSE, то частота кварца должна быть правильно задана дефайном HSE_VALUE в stm32f0xx.h
Также модуль USART может определять наличие ошибок при передаче (какие-то биты в регистре SR), таким образом даже делают автоматический выбор скорости передачи.
Аноним 14/05/17 Вск 17:40:06  283598
>>283597
F103, да. Почему-то въелось в память в таком виде.
Тактировался от HSI. Строчка вида #define SYSCLK_FREQ_HSE 8000000 в main.c не прокатит, нужно хидер править?
В Си я вкатываюсь одновременно с stm32.
Аноним 14/05/17 Вск 17:41:22  283599
>>283596
Даже с сраном мухосранске 200к населения радиомагазины на каждой улице, часто напротив друг друга, епт
Подними задницу и пройдись
Аноним 14/05/17 Вск 17:50:31  283601
>>283599
в том и прикол мухосраней - все рядом, а тут не всегда сраную пятерочку найти можно хотя их строят по 10 штук в одном месте
Аноним 14/05/17 Вск 18:02:29  283602
>>283347
бамп
Аноним 14/05/17 Вск 18:04:50  283603
201602031002363[...].jpg (36Кб, 577x604)
>>283591
Аноним 14/05/17 Вск 18:56:57  283607
>>283599
У нас кроме электронной лавки, где продают батарейки и лампочки, нет нихуя.
50к мухосрань
Аноним 14/05/17 Вск 20:15:01  283610
985129104146664[...].jpg (171Кб, 800x800)
Ребятки котятки, помогите нубасику. Есть пикрелейтед, к нему будет подключен солнечный элемент. Проблема такая что СЭ выдает 7 вольт, пикрелейтеду это не нравится, ведь он кушает судя по описанию 4-5.5 вольт. Чтобы такого между ними поставить чтобы напруга была 5-5.5 вольт??
на пике зарядник для лития 18650
Аноним 14/05/17 Вск 20:31:20  283611
>>282385
>Объяснять дауну с витухой не буду.
а чего не так с ним, он уже крученый, чтобы шума не было. Можно на питалово по 2 провода припаять.

мимо
Аноним 14/05/17 Вск 21:19:16  283614
>>283610
dc-dc stepdown
Аноним 14/05/17 Вск 22:16:14  283616
Раз уж шарящие в проводах ИТТ, посоветуйте дешевый провод, из которого легко вытянуть оплетку для выпайки, и еще останется несколько изолированных проводков, которые можно юзать как просто провода.
Я помню был такой у меня, но увы без названия.
Аноним 14/05/17 Вск 23:09:39  283618
>>283118
>возьми лучше диоды с запасом.
Ага, только они стоят раз в 10 дороже, чем 2 диода с меньшим током.
Аноним 14/05/17 Вск 23:41:49  283619
>>283610
https://ru.aliexpress.com/item/Free-shipping-10pcs-lot-Tracking-number-LM2596-LM2596S-DC-DC-adjustable-step-down-power-Supply-module/1732504666.html?spm=2114.13010608.0.0.gcJBUr у меня такой с 7 вольт на 3,3 настроен так что на 24 вольта не обращай внимание что написано.
Аноним 15/05/17 Пнд 01:46:47  283626
14919539018930.jpg (183Кб, 811x811)
Разобрал тут блок электроники от холодильника, там импульсное питание, и нет никакой гальванической развязки. Один ноль на все. Развязка и оптопары только на соединении с дверю, где кнопки, чтобы юзера не ебануло, а все остальное включая микроконтроллер сидит на общем ноле с высоковольтным входом.
Это нормально вообще? Он кстати сгорел.
Я, конечно, нуб и импульсные блоки знаю только на уровне общих представлений, но развязка же обязательна, так? Даже в датащите на шим-контроллер написано (он тоже сгорел).
Причем шибануло через МК на какие-то датчики туда дальше, они тоже сгорели.
Как они могли совершить такую хуйню?
Аноним 15/05/17 Пнд 01:54:57  283628
>>283626
Сейчас поменял шим контроллер и почти все детали блока питания, просто ради интереса. Трансформатор сильно шипит. Ему пизда?
Аноним 15/05/17 Пнд 05:05:23  283635
>>283610
TP4056 допускает до 8В на входе. Так что соединяй напрямую, не парься.
Аноним 15/05/17 Пнд 05:09:08  283636
>>283626
Нет, развязка необязательна. Кнопки пластмассовые же, датчики изолированные, нахер что-то от чего-то развязывать? Колупал контроллер от холодильника Bosch - там тоже нет развязки, несмотря на наличие силового трансформатора.
Аноним 15/05/17 Пнд 05:09:47  283637
>>283628
Нет.
Аноним 15/05/17 Пнд 06:16:58  283639
7013801-1000x75[...].jpg (110Кб, 1000x750)
>>283636
Лол, у меня тоже бош, пикрелейтед. Так вот, сгорел шим контроллер, диод его обвязки пробит, электролиты, кренка микроконтроллера вроде работает, но после ремонта ПБ на контроллере 6.6v при нужных 4.9, пизда ему.
На датчиках, которые питались от цепи питания мк, тоже 6.6v, возможно им пизда.
В гугле полно сообщений о поломке этих модулей.
Я думаю это то самое запланированное устаревание.
Аноним 15/05/17 Пнд 08:56:18  283647
>>283639
СМА у многих никакой развязки, МК-симистор-220. При этом все рядом с водой. Гора дохлых плат от индезитов.
Аноним 15/05/17 Пнд 08:59:35  283648
>>283616
Rg6
Аноним 15/05/17 Пнд 09:55:41  283651
Платиновый вопрос:
где в дс закупать детали?
Желательно шо бы можно было подъехать и забрать, или почтой.
Хочу попробовать пилить /gaтарные педали, но скролив гугл так и не определился.
Желательно что бы в магазине были корпуса для рэа.
Аноним 15/05/17 Пнд 11:34:00  283654
blob (15Кб, 122x459)
blob (49Кб, 437x675)
Правильно набрал?
Резисторы, конденсаторы буду в другом месте брать
Аноним 15/05/17 Пнд 12:53:32  283656
>>283651
Пл-1 на митино и пара магазов, чипдип и платан по предзаказам. Есть там и магазины, но ассортимент или цены могут отличаться от интернет магазина.
Аноним 15/05/17 Пнд 14:12:49  283660
>>283639
Запитай контроллер от внешнего БП на 5В. Если пискнет при включении - то дело только в источнике, чини, меняй конденсаторы.
Аноним 15/05/17 Пнд 14:21:37  283662
радач, есть один синт
дешевый эленберго-подобный синт для детей
он конда включается громкость по дефолту довольно громкая, в регулировка цифровая.
можно ли впаять переменник так чтоб можно было регулировать от этой громкой до малой? какого номинала?
Аноним 15/05/17 Пнд 14:24:11  283663
>>283654
Ну давай, показывай, откуда содрал свою педаль.
Аноним 15/05/17 Пнд 14:38:10  283665
>>283654
Нахуя покупал, до помойки пройтись западло чтоли?
И зачем текстолит и палька для микрухи?
Аноним 15/05/17 Пнд 14:45:32  283668
>>283665
Усатый, иди нахуй.
Аноним 15/05/17 Пнд 14:57:32  283669
>>283651
ДКО Электронщик
Не пользуйся почтой.
У нас даже в поддсье детали уже через постаматы продают.
Аноним 15/05/17 Пнд 15:57:51  283672
>>283668
Тебе дали программируемые DSP и готовые модули за копейки.
А ты жрёшь говно. И не просто говно, а говно тридцатилетней давности да ещё и за деньги. И смеешь выёбываться ещё тут.
Аноним 15/05/17 Пнд 15:59:20  283673
245-01.jpg (21Кб, 395x270)
>>280133 (OP)
РАНДОМПИК
Подскажите, пожалуйста. У меня есть многообмоточный дроссель, соотношение витков 1:40 (трансформатор с коэффициентом трансформации 40). Я собираю из него обратноходовый преобразователь. Правильно ставлю диод и на выходе получаю, допустим, 1000 Вольт. Вопрос об обратном напряжении, действующем на диод: на диод действует только напряжение прямого хода трансформатора - Uпит40, т.е. 5В40=200В и можно поставить не киловольтный диод, а, например, на 500 Вольт. Когда же на выходе трансформатора высокое напряжение диод открыт. Если в нагрузке не будет конденсатора, сильно заряжающегося до высокого напряжения, то будет работать и 500 вольтовый диод, например в нагрузке будет резистор и напряжение на нем импульсами будет 500 вольт. Я бы попробовал, но процесс быстрый, а из измерительных приборов осциллографа нет.
Теоретические выкладки верные?
Аноним 15/05/17 Пнд 16:18:11  283675
>>283660
Это я попробую, но на нем уже было 6.6.
>>283647
Так и у меня, симистор и все. Причем была авария нуля, электрик сказал. А что значит авария нуля при отсутствии развязки? Ток себе нашел дорогу через низковольтную мелочь куда-то, может через датчики. Казалось бы модуль в неплохом изолированном отсеке, но холодильник сырой, поэтому развязка один хуй нужна была. Да и что они сэкономили, пару мелкотрансформаторов и оптопару. Суки.
Аноним 15/05/17 Пнд 17:57:07  283684
>>283672
Тебя высоким с кинескопа уебало что ли? Иди дальше телевизоры с помойки чини.
Аноним 15/05/17 Пнд 18:35:01  283688
Безымянный.png (18Кб, 1152x648)
Есть микросхема К561ЛА9, запитана 12-14 вольтами. На один из её входов приходит сигнал от 555-таймера пропущенный через инвертор на npn-транзисторе.
Этот таймер с инвертирующим транзистором питаются от питания которого может и не быть в данный момент времени, таким образом на вход ЛА9 в этот момент приходит 3-состояние.
Как забороть проблему?
Если повесить подтяжку на ноль на входе ЛА9, то получается фигня, образуется делитель между этим подтягивающим резистором и резистором на коллекторе транзистора.
Аноним 15/05/17 Пнд 18:43:30  283689
Хочу понизить напряжение на светодиодной ленте до 9,2V
По формуле нужен резистор (12V - 9,2V) / 0,36A = 7.8 Ом
Почему чтобы получить 9,2V потребовалось 30 Ом?
Аноним 15/05/17 Пнд 18:58:07  283690
>>283688
Даташит смотри внимательно. Напряжение лог1.
Аноним 15/05/17 Пнд 18:59:05  283691
>>283689
Не в ту сторону считал потому что.
Аноним 15/05/17 Пнд 19:02:27  283692
>>283691
а как надо? в онлайн калькуляторах сопротивления тоже самое получается
Аноним 15/05/17 Пнд 19:06:16  283693
>>283692
Ток потребления ленты зависит от напряжения. Неочевидно, да?
Снизить напряжение ленты до 9,2в. Измерить ток. Посчитать резистор.
Аноним 15/05/17 Пнд 19:16:42  283694
>>283690
Чей даташит, таймера? На выходе напряжение близкое к напряжению питания.
Надо так, чтобы когда таймер с транзистором отключены на ЛА9 шёл лог 0.
Аноним 15/05/17 Пнд 19:17:27  283695
>>283693
Теперь совпадает.
А как определить на сколько Ампер просядет потребление заранее, без приборов?
Аноним 15/05/17 Пнд 19:24:10  283698
623546356.JPG (58Кб, 933x303)
>>283694
Даташит на кмоп логику. Делитель напряжения не проблема.
Аноним 15/05/17 Пнд 19:26:13  283699
>>283695
Найти даташит на подключаемое устройство (светодиодную ленту).
Нагуглить.
Угадать.
Аноним 15/05/17 Пнд 19:27:37  283700
>>283698
Да вот, видимо, проблема.
Есть другой способ решить задачу? Как можно сформировать качественные уровни в такой схеме?
Аноним 15/05/17 Пнд 19:29:31  283701
>>283639
> запланированное устаревание.
Дешевле в производстве. Не нужна куча деталей.
Аноним 15/05/17 Пнд 19:33:14  283702
623546356.JPG (17Кб, 512x277)
>>283700
Не усложняй.
Аноним 15/05/17 Пнд 19:33:21  283703
>>283699
Не, мне известно что лента потребляет 0,36А при 12V но по формуле резистор высчитывается неверно. Чтобы вычитать правильный резистор нужно определить сколько лента будет потреблять вместе с этим резистором. Но как определить последний параметр заранее.
Аноним 15/05/17 Пнд 19:39:13  283707
>>283662
Можно. 10к.
Аноним 15/05/17 Пнд 19:40:29  283708
>>283701
Ага, и дополнительная прибыль из-за того, что они крайне уязвимы. Залоченный МК, прошивки нет. 50 евро стоит такой.
Аноним 15/05/17 Пнд 19:42:44  283710
>>283702
А что не усложняй? Питающее напряжение плавает от 12 до 14, вот и схема то работает то нет.
Аноним 15/05/17 Пнд 19:45:45  283711
>>283707
сенкс
алсо что это у вас за тред такой, пол дня ждал пока загрузится, перекат может запилите?
Аноним 15/05/17 Пнд 19:48:38  283712
>>283710
Питающее напряжение ни на что не влияет в данном случае.
Аноним 15/05/17 Пнд 20:02:14  283713
>>283708
> Залоченный МК, прошивки нет. 50 евро
Ремонт в стоимость производства не входит. Задача надёжной работы вне гарантийного срока не стоит.
Аноним 15/05/17 Пнд 20:08:40  283715
>>283703
Даташиты покури лопух.
Аноним 15/05/17 Пнд 20:09:26  283716
>>283713
Хуесосы потому что. Надеюсь хотя бы кроме модуля все цело. Корпус холодильника неразборный, даже не представляю как его ковырять.
Аноним 15/05/17 Пнд 20:10:52  283717
>>283688
У тебя какой транзистор стоит?
Аноним 15/05/17 Пнд 20:11:18  283718
>>283716
Собери новые мозги на ардуине, что ты как не родной?
Аноним 15/05/17 Пнд 20:11:56  283719
>>283716
Купи дорогой холодильник. В чём проблема?
Аноним 15/05/17 Пнд 20:13:22  283720
>>283718
Очень смешно. Знаешь, там японский мк какой-то с 4мб оперативки, пид-регуляторы в прошивке и вообще все очень сложно. Это же холодильник, не хуй собачий.
>>283719
Этот дорогой. Почти 1000$. Дорого даже для запада.
Аноним 15/05/17 Пнд 20:15:01  283721
>>283720
Ну я для посудомойки делал. Там правда всё относительно просто.
Аноним 15/05/17 Пнд 20:18:40  283722
>>283721
Я даже не имею доступа к датчикам, знаю только два реле на вентилятор и компрессор, три мосфета и 12 выводов прямо к мк вообще непонятно куда.
Я ебал такой цирк.
Аноним 15/05/17 Пнд 20:21:04  283723
>>283717
s8050
Аноним 15/05/17 Пнд 20:42:24  283726
>>283715
Даташиты нужны чтобы узнать параметры в стоке, насколько я понимаю.
А мне нужно высчитать ток для нестандартного напряжения.
Как это можно сделать?
Аноним 15/05/17 Пнд 20:42:55  283727
>>283723
Поставь s8550.
>>283720
> Почти 1000$
Значит напиши им туда хули они пидарасы так делают.
Аноним 15/05/17 Пнд 20:45:16  283728
>>283726
> параметры в стоке
В чём?!
Ты на светодиоды даташиты покури.
Аноним 15/05/17 Пнд 20:47:39  283729
>>280133 (OP)
Как многоядерные процессоры могут работать, если им надо каждый такт обращаться к ОЗУ, чтобы считать следующую команду, а ОЗУ у всех ядер одна? То есть за один так к ОЗУ могут обратится несколько ядер? Это как? В разные отрезки периода такта?
Аноним 15/05/17 Пнд 20:55:49  283730
>>283727
>Поставь s8550.
И что я получу.
Аноним 15/05/17 Пнд 20:56:07  283731
>>283730
?
Аноним 15/05/17 Пнд 20:58:04  283732
>>283729
К Э Ш
Э
Ш
Аноним 15/05/17 Пнд 21:02:28  283733
sila-zemli11168[...].png (179Кб, 302x292)
Может банальный вопрос, но предстоит паять элементы, которые очень боятся статики, как заземлиться?
Аноним 15/05/17 Пнд 21:06:54  283734
>>283730
То что ты хотел.
Аноним 15/05/17 Пнд 21:07:13  283735
>>283733
Закапываешь под окном трубу, к ней провод. Второй конец оголяешь и обвязываешь ногу.
Аноним 15/05/17 Пнд 21:08:34  283736
>>283732
ПРАЙС
Р
А
Й
С
Аноним 15/05/17 Пнд 21:15:26  283738
>>283735
Горшок с кактусом на подоконнике прокатит?)
Аноним 15/05/17 Пнд 21:19:08  283740
>>283738
лучше с орхидеей, но и кактус ок, только тогда вокруг ноги мало будет, так что пикрелейтед
Аноним 15/05/17 Пнд 21:48:11  283741
моча блять пили перекат, логает
Аноним 15/05/17 Пнд 21:55:02  283743
Я запутался.
При расчете мощности резистора нужно писать напряжение которое в него входит или которое он должен рассеять?
Pвт=Uв×IA
Аноним 15/05/17 Пнд 22:12:38  283746
>>283743
Что? Где? Зачем? ХВАТАЙ МЕШКИ ВОКЗАЛ УЕЗЖАЕТ!
Аноним 15/05/17 Пнд 22:37:41  283747
>>283734
Можешь схему нарисовать, как правильно подключить?
Аноним 15/05/17 Пнд 22:46:00  283749
>>283747
С общим эммитером же. Ты хоть что за транзистор я тебе посоветовал смотрел?
КТ3107;s9012;s9015;2n2907;bc336(7,8);КТ361 нахуй можешь поставить.
Аноним 15/05/17 Пнд 23:30:13  283755
>>283749
Ты посоветовал такой же, только п-н-п тип, вот я и не пойму как он тут может помочь.
Аноним 15/05/17 Пнд 23:33:36  283756
>>283663
Exp mus на тытрубе, годный канал
Аноним 15/05/17 Пнд 23:33:48  283757
>>283755
Тебе куда подтянуть надо когда выключаешь 555?
Аноним 15/05/17 Пнд 23:36:12  283758
>>283672
Не ебу что ты сказал, просто хочу попробовать собрать педаль по гайду с ютуба
Аноним 15/05/17 Пнд 23:41:49  283759
>>283756
линк на видео давай
Аноним 15/05/17 Пнд 23:45:02  283760
14948625016970.gif (60Кб, 3456x1944)
>>283755
Блядь! Хули ты такой идиот?!
Аноним 15/05/17 Пнд 23:50:48  283761
>>283759
https://youtu.be/sKkYOIgKBSs
В этом же плейлисте гайд из 5ти видосов как запилить
Аноним 16/05/17 Втр 00:05:58  283763
>>283757
К нулю.

>>283760
В шапку треда посмотри и не нервничай.
Аноним 16/05/17 Втр 00:13:00  283764
>>283763
БЛЯДЬ СУКА ЁБАННЫЙ ДОЛБОЁБ!!! ИДИ НАХУЙ ПИДОР!!!
Аноним 16/05/17 Втр 00:22:05  283766
>>283761
А кнопочки? А транзистор?
Аноним 16/05/17 Втр 00:34:10  283769
gob.webm (1083Кб, 852x384, 00:00:04)
>>283764
Аноним 16/05/17 Втр 06:20:01  283788
>>280133 (OP)
Привет ра.
Суть реквеста такая: Хочу купить с алика стереоусилитель на TDA7492 (500р, в магазе стоит 1600).
Но тут встает вопрос о его питании. Как лучше его организовать? Нужно мне 24 вольта 5-6 ампер.
На том же алике есть mean well nse-100-24, импульсник небольших размеров, размах выходного насколько я понял 120 милливольт. Слишком хренова это? Стоит он около 1500 на алике и 2к в магазе.

Или раскошелиться на 150 ваттный трансформатор за 2-3к, мост и фильтр?
Аноним 16/05/17 Втр 06:52:39  283789
>>283788
Бомж-вариант: использовать блок питания ATX.
Аноним 16/05/17 Втр 06:56:02  283790
>>283789
Хм... А ведь есть у меня где то старенький блок питания на 300 ватт в гараже, спасибо!!

Но все таки, из тех двух вариантов какой лучше?
Аноним 16/05/17 Втр 06:59:55  283791
>>283735
В это время пьяный быдлан ссыт под окно
@
Батя хуярит его электрошокером в печень
Аноним 16/05/17 Втр 08:27:39  283792
>>283549
че еще спизданеш?
Аноним 16/05/17 Втр 09:28:41  283794
14786884107570.webm (779Кб, 202x360, 00:00:21)
>>283673
Бамп.
Аноним 16/05/17 Втр 09:45:09  283796
>>283766
Это еще поискать надо, в чип дипе нету точно
Аноним 16/05/17 Втр 10:08:06  283799
>>283688
Поставь инвертор не на npn, а на pnp транзисторе - получишь то, что тебе надо.
Аноним 16/05/17 Втр 10:12:06  283800
>>283703
У тебя нагрузка нелинейная. Чтобы более-менее точно подсчитать - нужно знать сколько в группах светодиодов и какое на них падение при питании 12В и 9.2В (может отличаться на вольт легко) и какой резистор последовательно с группой запаян в ленте.
Аноним 16/05/17 Втр 10:17:13  283801
>>283788
>>283790
С импульсным усилителем идея говно. Хотя работать будет.
Аноним 16/05/17 Втр 10:23:27  283803
При мне чувак подключил 8 последовательно подключенных светодиодов без резисторов к блоку питания 24 вольта. Я чет не понял, почему они не сгорели?
Аноним 16/05/17 Втр 10:33:26  283804
14949196267251.png (61Кб, 540x370)
Вопрос к знатокам электроники!

Есть девайс который питается от "DC 5V with at least 1 Amp". Я хочу запитать его USB порта на мониторе. На монике 4 USB 3.0 порта, каждый из который в теории может давать до 900mA. Если я куплю Y adapter и сцеплю 2 USB порта, и потом получившуюся хуету подцеплю к своему устройству, оно будет функционировать нормально, или 900mA порты не будут давать просто так? Скрин из документции монитора.
Аноним 16/05/17 Втр 11:10:35  283806
Почему производители цп и гп так дрочат на размер чипа? Нельзя разве условно разбить один готовый на 4 или 9 частей, сделать их отдельно и склеить?
Аноним 16/05/17 Втр 11:43:06  283808
>>283789
>>283801
Почему гавно?
Аноним 16/05/17 Втр 12:01:27  283811
14830922866780.webm (6226Кб, 640x360, 00:01:10)
Усатые! Подскажите, важна ли для обратнохода связь между обмотками? Сначала первичка накачивает магнитным полем сердечник, а затем сердечник накачивает все остальные обмотки током (двигая электрончики в провудах). Я всё правильно понял, я могу ебашить любой коэффициент трансформации (соотношение витков, это же дроссель), лишь бы первичка создавала необходимую индукцию в сердечнике? И в первичке нужно будет только загасить иголку собственной индукции, а не полностью сколько там будет вылетать. Блок питания 5В - (5-10)кВ, нагрузка будет меняться, потом и выходное напряжение может плавать.
Аноним 16/05/17 Втр 15:11:48  283820
2017-05-1619-08[...].jpg (182Кб, 1489x612)
IMG201705161828[...].jpg (996Кб, 1920x1080)
Безымянный.jpg (92Кб, 1114x753)
Господа любезные скажите будет ли толк от сборки такой коробушки чтоб наушники получше раскачивались? А то низких совсем нет хотя плеер по описанию 100 Омные максимум тянет, по факту вобще басов нет просто как древнее настенное радио орёт.
Аноним 16/05/17 Втр 16:20:24  283827
>>283732
хотел написать что всё равно, но вспомнил про циклы и процедуры и понял.
Аноним 16/05/17 Втр 16:27:26  283829
Постоянно кидаю отгрызенные ногти в обогреватель и наблюдаю как они сгорают на спирали.
С обогревателем может че-нибудь случиться плохое?
Аноним 16/05/17 Втр 16:44:36  283831
>>283829
Спираль сгорит.
Аноним 16/05/17 Втр 16:47:56  283832
>>283829
>>283831
Не сгорит даже если у него сверхпроводящие ногти. КЗ в паре витков длинной спирали ничего не сделает.
Аноним 16/05/17 Втр 17:26:53  283833
>>283832
Не от кз, а от того что на ней что-то горит.
Хооя наверно это случится ещё не скоро.
Аноним 16/05/17 Втр 18:58:27  283834
майор.jpg (40Кб, 400x281)
>>280133 (OP)
Радочи, а почему тематика радиолюбительства так распространена по рунету?
Остальные тематики сгребли на 1-2 ресурса и пиздец, больше нигто не взлетит. А паял - 1000 и 1 мелкий сайтик?
Всю металлообработку держит чипмейкер, химию - химикру, БПЛА - рцдесигн, стволы - ганза и т.д.
Чаго вас майоры не пасут? Вы что, не можетете что-ли лодку паяльниками пошатать?
Аноним 16/05/17 Втр 20:14:42  283836
f04734bf06b2aa2[...].jpg (107Кб, 1280x793)
Хочу собрать матричную qwerty клавиатуру для raspberry pi. Не знаю, как выбрать контроллер для неё - должно быть 20 пинов (обрабатывать 100 клавиш), и простой способ связи с малиной. Как искать?
Аноним 16/05/17 Втр 20:24:42  283837
>>283836
Для минимума пердолинга - искать на чём собирают кастомные клавиатуры.
Аноним 16/05/17 Втр 20:29:27  283838
>>283836
не выебывайся и собери механику, там все изи на али заказать вплоть до корпуса и диодов
Аноним 16/05/17 Втр 22:35:45  283844
ОЧЕРЕДНОЙ ГИТАРАСТ РЕПОРТИТ В ЭТОМ ИТТ.
Собрал несколько педалей вполне удачно, напряжение там 9в ниче не случится как не крути.
Но хочу собрать вот такую приблуду: https://youtu.be/0OKExFiBsRM

Но тут уже 180V, а напряжения я пздц боюсь в детстве фотик уебал, вопрос мб тупой, но что может произойти самое страшное если накосячить?
Аноним 16/05/17 Втр 22:40:19  283845
>>283844
Собираю часы на ГРИ, два раза прилетело. Постоянка 180В это не страшно, но лучше конечно не рисковать
Аноним 16/05/17 Втр 22:41:13  283846
>>283845
Я имею ввиду что делай, но и руками "пощупать" не лезь лишний раз
Аноним 16/05/17 Втр 22:42:14  283847
>>283846
а разряжаться это дело долго будет?
Аноним 16/05/17 Втр 22:44:06  283848
>>283847
Ну смотря какие конденсаторы ты там ставить будешь.
Я уж не думаю что на анодку надо больше емкости ставить, хотя я в лампах не шарю.
В любом случае всегда можешь резистором вручную разрядить
Аноним 16/05/17 Втр 23:02:51  283850
Есть параллельный диодный ограничитель по максимуму в вакууме. Почему нагрузка на входе и диод на смещении обзываются делителем напряжения? Ведь мы подаём питание и там, и там. Или это верно только для момента, когда диод открыт?
Аноним 17/05/17 Срд 00:56:54  283856
>>283837
Я как-то искал клавиатурный usb контроллер. Ценники на них, совершенно не адекватные.
Аноним 17/05/17 Срд 00:57:17  283857
>>283856
Говорят, на ардуине собирают.
Аноним 17/05/17 Срд 05:45:28  283859
>>283857
На ардуине и мамку собрать можно.
Аноним 17/05/17 Срд 08:04:34  283864
Купил 10 светодиодов и драйвер 22-38V 600ma.
Все соединяю, горит отлично, через секунд 40 их уже невозможно трогать. Взял контрольный, покупал в местном магазине 3w, подключаю к этим 10. Все тоже самое, контрольный греется как и те другие.
Вопрос: Через какое время, светодиод 3w нагреется до такой степени, что невозможно будет прикоснуться для подложки на 600ma?
Аноним 17/05/17 Срд 08:05:24  283865
>>283864
Алсо, без радиатора, конечно же.
Аноним 17/05/17 Срд 08:46:26  283866
>>283864
Возьми секундомер и измерь.
Аноним 17/05/17 Срд 08:49:02  283867
>>283844
Бойся и трепещи, омежка грешный!
Аноним 17/05/17 Срд 08:52:14  283868
>>283803
Потому что чувак долбоёб без резисторов.
Аноним 17/05/17 Срд 08:57:41  283869
>>283834
максимум что ани могут так это мигать светодиодами на пердуине
Аноним 17/05/17 Срд 09:04:18  283870
>>283803
так и должно было быть, пилил по осени фанарик купил ленты метр или пол метра непомню уже, аккум из запасов 12 вольтовый на 1.2 амперчаса заколхозил всю зиму работает без нареканий.
видимо наладили выпуск норм светодиодов...
до этого брал одиночные(тоже с ленты сдувал) так ани 4 штуки последовательно не хотели нормально гореть...
а на этот фанарик взял строенные(в одном корпусе 3 кристалла следственно 6 ножек) так вот ани ахуенно работают 4 последовательно от 12 вольт.
Аноним 17/05/17 Срд 09:06:05  283871
>>283870
>>283868
А на кой хуй тогда нужны драйверы светодиодов?
Аноним 17/05/17 Срд 09:07:12  283872
>>283871
чтобы регулировать яркость и прочую хуйню, ну и естественно содрать с тебя побольше бабла
Аноним 17/05/17 Срд 09:58:13  283876
>>283859
Да ты бы и собаку на ардуине собрал.
Алсо, я не понял, а в чем сложность разьебать дешевую клаву ради контроллера?
Аноним 17/05/17 Срд 09:58:44  283877
>>283872
>>283871
>>283870
Неграмотные анончики. Светодиоды питаются током, а не напряжением.
Потому и горят они у вас.
Аноним 17/05/17 Срд 10:34:22  283879
>>283877
мне похуй чем ани питаюца, фанарик работает и по сей день
Аноним 17/05/17 Срд 10:51:16  283882
23.gif (25Кб, 640x557)
Что за хуевина расположена между микроконтроллером и счетчиком?
Аноним 17/05/17 Срд 10:53:53  283883
>>283882
конектор
Аноним 17/05/17 Срд 10:57:02  283884
>>283883
Спасибо.
Аноним 17/05/17 Срд 12:59:44  283891
s-l500.jpg (32Кб, 500x391)
Ньюфаг в треде, встраиваю в машину USB-розетку и хочу, чтобы она была запитана еще какое-то время после того, как я вытащу ключ и уйду из машины.

Реле задержки такого типа, как на пике, потребляют ток с DC+ в режиме бездействия?

На DC+ провод с аккумулятора, запитан всегда; на TRIG провод с замка зажигания, +12 тогда, когда ключ вставлен.

Выставляю реле в режим размыкания с задержкой, ставлю например 30 минут. Ключ в замке, TRIG

Например, я выставил 30 минут, вытащил ключ, TRIG пропал, реле отсчитал время и разомкнул выход. Вот и мой вопрос: после этого он продолжил потреблять что-то из DC+ в "стенд-бае" или ноль, пока опять не появится когда-нибудь TRIG?
Аноним 17/05/17 Срд 13:58:01  283895
>>283891
хз померяй амперметром, если потребляет запили доп релюшку
Аноним 17/05/17 Срд 15:57:39  283901
>>283891
Если есть бортовой компьютер или хотя бы автомагнитола, то проще через него развязку сделать.
Аноним 17/05/17 Срд 15:59:56  283902
>>283877
ты еблан? >>283803
Аноним 17/05/17 Срд 17:08:22  283909
На чипедипе есть мостовой выпрямитель а есть диодный мост. В чем разница?
А еще нужна деталька которая из 6-30в с динамовтулки выдаст 5в в юсб розетку. Это стабилизатор или dc преобразователь или что искать хотя бы на томже чипидипе?
Аноним 17/05/17 Срд 17:12:57  283911
14845745419280.jpg (26Кб, 500x337)
>>283811
Вы чо, нишарите никто нихуя?
Ладно, сделал, работает, вообще похуй на коэффициент, только один транзистор пробило без снаббера. А насыщение, насыщение трансформатора обратнохода не зависит от параметров вторички и их связи?
Аноним 17/05/17 Срд 17:31:41  283913
>>283909
Если кпд не важен то можно так: выпрямитель -> конденсатор -> линейный стабилизатор (lm317)
Аноним 17/05/17 Срд 17:32:36  283914
>>283909
Выпаяй стабилизатор и не епи моск! Например kia78p05, найди на помойке.
Аноним 17/05/17 Срд 17:50:53  283917
>>283911
Хуй знает, зависит от тока, который шел через первичку в момент закрытия транзистора. Через вторичку пойдет такой же ток, деленый на отношение витков. Если у тебя там неебаться сопротивление нагрузки, то ебанет тебе киловольтом там.
Аноним 17/05/17 Срд 18:20:12  283919
>>283901
Чем магнитола может помочь?
Аноним 17/05/17 Срд 18:20:26  283920
>>283909
Так понял ты хочешь заряжать планшет\смартфон от велосипеда.
Тогда тебе понадобится диодный мост на ток пару ампер и рабочее напряжение минимум 50в, конденсатор на напряжение минимум 50в и емкостью побольше. Ещё нужен DC-DC преобразователь, например готовый модуль LM2596 с Али. И конечно корпус с USB разъёмом.
Аноним 17/05/17 Срд 18:24:30  283921
>>283919
На моей есть несколько USB разъёмов и таймер отключения, т.е. всё уже готово и ничего делать не надо.
А ещё там есть отдельные выходы для управления внешними устройствами, оче удобно для ноутбука.
Аноним 17/05/17 Срд 19:35:06  283924
image.jpg (3148Кб, 2448x3264)
Суп радач, на связи мимостудент, не могу нигде перекапал пару справочников даташитов и сайтов нигде нет параметров которые я выделил на пикрелейтд , выручайте, где их искать? Rпк-переход корпус , тепловые сопротивления Rкс-корпус среда и не понятные мне беты
Аноним 17/05/17 Срд 19:35:43  283926
>>283924
>не могу нигде найти
Быстрофикс
Аноним 17/05/17 Срд 19:42:48  283930
>>283924
минимальное значение h21э - оно для тебя и будет самым главным;
соотв. - макс. Смотри Цыкину, Войшвило.
Температурные сопротивления - кристалл-корпус и корпус-среда. Нужно для расчета площади радиатора. См. похожие корпуса и дери оттуда. Похоже вообще на КТ315.
Вроде так, кажется
ниуянипомнящий
Аноним 17/05/17 Срд 19:46:48  283931
>>283930
я выбрал КТ8115А, h21э=1000, только он мне не нужен для расчетов
Аноним 17/05/17 Срд 19:47:12  283932
>>283930
Мне не хватает тепловых сопротивлений
Аноним 17/05/17 Срд 19:53:13  283934
>>283932
Ищи справочники Дейтон
Аноним 17/05/17 Срд 20:01:41  283935
>>283924
Все эти параметры есть в ТУ, которых обычно в открытом доступе нет.

>не понятные мне беты
Как намекает >>283930 бетой для краткости часто называют h21э. Чтобы это точно знать, нужно было ходить на лекции.

>Rпк-переход корпус , тепловые сопротивления Rкс-корпус среда
Ну не полезет же препод в справочник (в котором тоже этого нет), чтобы это проверить. Поэтому можешь написать что-то более-менее правдоподобное. Или можешь взять импортные транзисторы, для которых все это лежит в открытом доступе.
Аноним 17/05/17 Срд 20:15:57  283938
>>283935
спасибо , выручил
Аноним 17/05/17 Срд 20:20:10  283939
>>283935
Как правило, и в ТУ этого нет. Производитель, особенно быв.Сов.юнион. - сам себе же не дурак такие вещи писать. Тепловое сопротивление? Ха! Сам подумай, как ты это себе представляешь - ввести параметр, обосновать перед заказчиком, а потом еще мозг через жопу пропускать пытаясь придумать метрологически непротиворечивую схему измерения. А потом придут ребята с производства и за такое издевательство - обоссут
Аноним 17/05/17 Срд 20:27:10  283941
>>283939
а на кой хуй нам тогда считать этоесли в справочниках не найти
Аноним 17/05/17 Срд 21:08:20  283947
>>283941
Ну, надож чем то вас занять, шоб стенки лбами не расшибали вовконтактик упоровшись. Были бы в армии - лом бы дали, плац бы подмели.
Аноним 17/05/17 Срд 21:21:12  283949
>>283941
Все-таки найти, особенно для импортных. Другое дело, что обычно это требуется считать только при мощностях близких к предельным.
Аноним 17/05/17 Срд 22:03:57  283954
>>283949
Ну и для наших можно найти. Хотя и косвенно. В основном, когда считаешь такие вещи, как правило утыкаешься во фразу - "мы нашли приблизительную площадь теплоотвода хх мм^2. - А теперь увеличим её в четыре раза - это будет приблизительно равно тому, как если бы мы использовали пластинчаты радиатор размерами ппхшшхыы, с высотой ребер примерно нн мм. Данное соотношение установлено эмпирическим путем из невнятной кривой из старого, засаленого учебника." - После этого ты минут пять продыхиваешься, словив нехилый баттерхед, и потом, если ты от природы крепок и пытлив, тебя хватает на то, что бы слабым голосом спросить -"Но, почем в четыре?" на что тебе спокойным прокуренным голосом отвечают - "Да х его знает. Жопой чую. Еще мой дед так помножал, и - ничего, не сгорело"
Аноним 17/05/17 Срд 22:06:14  283955
>>283949
>только при мощностях близких к предельным
Дык, а иначе-то как? Иначе дорого будет и смешно. И толку нет. И про то, что все внутри жарит, а чем выше температура среды, тем меньшую мощщу транзистор (да и не только он) переваривает...
Аноним 17/05/17 Срд 22:20:17  283956
>>283939
>метрологически непротиворечивую
Че то мне припекло тут.
Аноним 17/05/17 Срд 22:51:05  283959
>>283921
>и таймер отключения
У тебя какая-то адванс магнитола. 99% магнитол отключаются с поворотом ключа мгновенно и у меня такая.
Аноним 17/05/17 Срд 23:08:38  283962
Насколько критично ставить в гитарную пендаль 20ком вместо 22?
И вообще какой допустимый диапазон отклонения от схемы у резисторов и кондеров?
Аноним 17/05/17 Срд 23:19:33  283963
>>283962
Нужно ставить ровно 20 иначе звык будет жирным. А лучше брать уже тренерованые звуковые резисторы.
Аноним 17/05/17 Срд 23:49:46  283965
>>283962
Схему покажи. В большинстве случаев отклонения в 10-20% не критичны.
Аноним 18/05/17 Чтв 04:34:05  283975
Есть один классный импульсный блок питания, который можно целиком выпилить из платы.
Как это сделать, чтобы все было аккуратненько? У меня только ножовка по металлу.
Аноним 18/05/17 Чтв 04:39:47  283976
>>283962
Смотря где стоит этот резистор. Если в обратной связи то может и критично, если в темброблоке то фиг с ним. Схема то где?
Аноним 18/05/17 Чтв 06:52:16  283985
>>283975
Саня Коковин куда пропал???
Аноним 18/05/17 Чтв 07:19:17  283987
>>280133 (OP)
В фотик нужно вставить батарейки, там в гнезде обозначения+ и - в разъём который + батарейку нужно + кверху вставлять или к низу?
Аноним 18/05/17 Чтв 07:28:49  283988
bsiab.png (422Кб, 2000x1288)
>>283976
>>283965
>>283962
Аноним 18/05/17 Чтв 07:53:25  283993
>>283988
Гениально.
Аноним 18/05/17 Чтв 08:15:15  283996
>>283913
линейный стабилизатор это та хрень которая разницей напряжений будет греть атмосферу? коли так тогда кпд важен.
>>283914
с помоек все бомжи вынесли еще в 90х. есть куча старых компов и принтеров может там чего можно найти?
>>283920
ты все верно понял, у меня сейчас проблема в поиске деталек, (с алика преобразователь уже едет но хочется то побыстрее). В местном радиомаге работают тетки в духе "мы не знаем что это такое, ты назови нам буковки-циферки а мы по базе посмотрим есть ли у нас" так что туда идти надо сразу со списком аналогов и перебирать в надежде что хотя бы что-то найдется.
Аноним 18/05/17 Чтв 08:33:51  283999
mag.jpg (205Кб, 1280x960)
Котаны, посоветуйте CAD для принципиалок и разводки плат.
Сидел я на протеусе, в принципе можно жить, если бы не бедная библиотека компонентов. Есть куда перелезть чтобы из коробки была библиотека огого и рисование собственных компонентов не вызывало боль?
Аноним 18/05/17 Чтв 09:03:13  284003
001.JPG (10Кб, 406x381)
ктонибудь шарит в гефонах?
в общем в очередной раз допившись до зеленых чертей выкинул свой драндулет - да тупо достал из кармана и выкинул, всю ночь потом бегал искал под дождем к утру нашел...
жопа вся вот в чем сам телефон то я просушил, а вот разъем питания затупил - похмел жуткий был, включил зарядку он зарядился все заебись, но кагда в очередной раз начал надрачивать фильмец заебался искать на нем звук...

гугление привело к тому что он завис в режиме гарнитуры от засратого разъема питания, я достал этот разъем почистил но толку ровно нихуя...

да понимаю что под замену но покамест большие напряги с баблом, да и не добеготни сейчас по гейцентрам в поисках этого шлейфа...

так вот вопрос есть ли у кого схема этого шлейфа? в гугле не нагуглил, думаю просто перерезать дорогу на нем около конектора в материнку и покамест обойтись так
Аноним 18/05/17 Чтв 10:02:03  284006
354623463452.jpg (49Кб, 699x756)
Аноним 18/05/17 Чтв 10:24:45  284007
UggufOYfS78.jpg (24Кб, 400x486)
>>284006
Аноним 18/05/17 Чтв 12:36:45  284011
Сильно ли различаются шифраторы для параллельных и последовательных ацп? Можно ли на примере первых составить схему ко вторым?
Аноним 18/05/17 Чтв 13:16:07  284015
>>283999
Кикад
Аноним 18/05/17 Чтв 13:22:32  284016
Привет, анон! Чем можно заменить lm393?
В ноуте погорела, у нас я пока не нахожу а с али долго.
Аноним 18/05/17 Чтв 13:42:51  284020
Посоны, а припой проводит ток или нет?
Аноним 18/05/17 Чтв 14:10:02  284022
>>284020
Проводит, но хуже чем медь.
Аноним 18/05/17 Чтв 14:14:37  284023
>>284016
обычный сдвоеный кампаратор.
почасти замены хз даже что сказать, если есть желание поищи кампараторы и мастырь костыли,
а вообще лучше не страдать хуйней и поставить то что предпологал разраб...
если ты тот кто фотку на днях выкладывал то спешу тебя огорчить та погоревшая хуйня вполне вероятно не кампаратор тое не lm393, тк обычно через него не текут ахуевшие токи способные вызвать пиздецы вроде твоих...
скорей всего у тебя там транзисторная сборка
Аноним 18/05/17 Чтв 14:15:29  284024
>>284020
блядж еслиб он не проводил то захуй бы им паяли?
Аноним 18/05/17 Чтв 14:25:33  284025
>>284023
Не, это именно он. Я нашёл фото материнки в хайрезе, там видна маркировка. Самому интересно, почему он так мощно выгорел. Но увы, спросить не у кого, ноут лежал так уже долгое время.


Нашёл список аналогов, поищу. Но т.е я верно понимаю, что ничем больше не заменить его? На крайний случай инетерусуюсь.
Аноним 18/05/17 Чтв 14:28:51  284027
>>284025
хз...
можно перемычками если это не особо ответственные цепи, но не советую...
вазьми счетверенный и заюзай только 2
Аноним 18/05/17 Чтв 14:30:45  284028
bsiabrev2.JPG (263Кб, 2787x1463)
>>283988
проебался спросонья
Аноним 18/05/17 Чтв 14:34:40  284029
>>284027
Можно, но как я понял, эта линия от ЗУ. Разве только для проверки так сделать...
Аноним 18/05/17 Чтв 16:20:51  284037
>>284024
Ну я нюфаг. Впервые вчера и сегодня паял схему. Вроде норм, только иногда не припаивалось чет.
Аноним 18/05/17 Чтв 17:01:01  284042
Парни, нашел дешевые танталовые кондеры Kingtronics. На 16 вольт, работать будут в цепи 11-12 В максимум (скорее даже 10). Не могу найти отзывы на их продукцию. Кто-нибудь с ними связывался? Я почитал про тантал, теперь боюсь, что эти дешевые кондеры ебнут. Спасибо
Аноним 18/05/17 Чтв 17:07:11  284043
>>284003
Чет не пойму, это 4 айфон чтоль? Хоспаде, на помойке такие шлейфы можно найти. Или купить за 300р.
Аноним 18/05/17 Чтв 21:10:11  284056
Мне нужен совет.
Есть старый бесперебойник, в котором, как оказалось, сгорел предохранитель много лет назад.
Проверил батарею, залил воды, 3 вольта (из 12 положенных), при подаче напряжения - потребление 0.00 A.
Гугл, ютуб и /ra/ сказали выкидывать эту батарею. Предвижу ответ на этот пост.
Ну я положил её обратно в шкаф и забыл.
Внезапно наткнулся на это видео
https://www.youtube.com/watch?v=Y4_nxdSFZew
И это сработало!
Но не совсем.
Заряжаю аймаксом, 300мА, выше 10 вольт не поднимается и батарея немного тёплая. И крышками стреляет переодически.
Ёмкость батареи 4500 mAh, аймакс пишет, что отдал 4600. Всё уходит в нагрев?
Это не опасно? И что будет дальше?
Аноним 18/05/17 Чтв 21:11:32  284057
>>283438
3.5 джек.
Аноним 18/05/17 Чтв 21:12:46  284058
Переносная колонка в режиме радио дохуя фонит, это как-то можно пофиксить?
Аноним 18/05/17 Чтв 21:43:21  284061


>>284056
Найдешь килограмм айфонов, очевидно, если дальше будешь его советам следовать.
Аноним 18/05/17 Чтв 21:53:18  284062
Схема).jpg (15Кб, 923x305)
Можно подключать минус пяти вольтовой схемы в розетку? или нужно возвращать на адаптер?
Аноним 18/05/17 Чтв 22:09:43  284063
kill.png (0Кб, 114x18)
У меня вроде простой, но серьезный вопрос, пояснений в гугле не нашел.
Ну вот допустим есть у нас ОУ, у которого на один из входов подается охуенно стабильный референс, а на другой вход подаем охуенно стабильный сигнал (синус, например). На выходе ОУ должен получиться охуенно стабильный и неискаженный сигнал.
Но что если источник питания ОУ имеет сильные пульсации и шумы? Где в даташите на оу смотреть влияние хуевого питания на выход, какие параметры позволяют его посчитать?
Аноним 18/05/17 Чтв 22:30:39  284065
>>284063
>Где в даташите
(Power) Supply Rejection Ratio
Аноним 18/05/17 Чтв 22:35:26  284066
>>284063
Обычно в таблицах. Supply voltage rejection ratio, или подобное.
Аноним 18/05/17 Чтв 22:35:50  284067
image.png (7Кб, 149x122)
Как понять 2u2?
Аноним 18/05/17 Чтв 22:40:45  284069
>>284067
прошарился уже
Аноним 18/05/17 Чтв 22:41:52  284070
>>284062
Себя в розетку подключи, больше пользы будет
Аноним 18/05/17 Чтв 22:46:14  284071
>>281472
>Датчик в пека
>Откалиброваны на заводе.

У тебя там гистерезис будет такой, что можешь диодом пользоваться или термистором смело. Калибруй по домашнему градуснику.
Аноним 18/05/17 Чтв 22:50:59  284072
>>284066
>>284065
Ну хорошо, например, указано, что Supply-voltage rejection ratio равно 80-100дб при питании от +-9 до +-15в и 0в на выходе.
Кроме этих данных ничего больше не дается, ни графиков, ни хуя вообще.
Возникает логичный вопрос, а что при питании +-5в, например? Что, если на выходе не 0? Какие тут зависимости?
Зачем давать это сферическое в вакууме значение в конкретном узком режиме? Что оно есть, что его нет, неужели сложно было пару графиков нарисовать.
Собственно, я ожидал что данный параметр можно заранее более-менее точно посчитать под конкретные условия, а не плясать с бубном осциллом вокруг натурных экспериментов.
Аноним 18/05/17 Чтв 23:38:05  284074
>>282331
Да всё вроде правильно он говорит - нагрузку можно и в коллектор первого транзистора запихать, это ж не эмиттерный повторитель.
Аноним 18/05/17 Чтв 23:44:29  284075
>>284072
Покопай в даташитах, например мотороллы и ТИ. Бывают там такие.
Аноним 18/05/17 Чтв 23:53:26  284076
>>283006
Так и есть.
Аноним 19/05/17 Птн 01:46:12  284079
Достал ш-образный линейный трансформатор, но он всего на 1.4 А выходного тока, это мало для запила лабораторного БП. Там две обмотки, 24 и 7 В, обе по даташитун а 1.4 А, я так понимаю каждая.
Могу ли я чисто теоретически перемотать его на одну вторичную обмотку с током как две прежних? Там одинаковый провод, можно спаять его, заизолировать, и намотать?
Аноним 19/05/17 Птн 05:38:26  284081
>>284079
Если обе на ток 1.4А, то ничего перематывать не нужно. Просто соедини последовательно, будет работать как одна обмотка на 31в 1.4а.
Аноним 19/05/17 Птн 05:47:55  284082
>>284081
Это получается ~40 ватт, я смогу тогда импульсным степ-дауном занизить до 5в 8а. Тогда норм.
Аноним 19/05/17 Птн 05:58:36  284083
>>284082
Это очень тупо и бессмысленно. Зачем? Купи на барахолке за 100-200р или бесплатно у знакомого айтишника любой блок питания ATX от компа. Получишь 5В 10-30А и 12В 10-20А, в зависимости от попавшегося БП. Ну бонусом там есть 3.3в на несколько А.
Прикручивать к железному БП импульсный стаб - прикручивание колес к буханке. Лучше приделай к нему LM317 на радиаторе, параметры как раз идеальны под такое, получишь простой и очень надежный линейный бп уже с защитой от кз, для питания чувствительных к импульсным помехам махараек (усилители и прочее аудио, например).
Аноним 19/05/17 Птн 06:00:55  284084
>>284083
Так то да, но АТХ нельзя гонять без нагрузки, и вообще у меня был один, он через какое-то время в таком режиме сгорел.
Аноним 19/05/17 Птн 07:07:03  284087
>>284028
Похер, с другим номиналом может еще птздаче звук получишь.
Аноним 19/05/17 Птн 08:26:01  284090
Screenshot20170[...].png (311Кб, 720x1280)
Screenshot20170[...].png (165Кб, 720x1280)
Screenshot20170[...].png (196Кб, 720x1280)
Screenshot20170[...].png (207Кб, 720x1280)
Глубокоуважаемые радиолюбители, требуется ваш совет. Необходимо искать и своевременно детектировать радиопередающую электронику в радиусе 30 метров, где сторонней электроники нет вообще. Пикрилейтед, как я понимаю, не совсем подходит для этих целей ввиду малого радиуса действия?
Аноним 19/05/17 Птн 08:28:56  284091
>>284090
Поправка. Данные передатчики, гипотетически, должны передавать сигнал от 100 метров и выше
Аноним 19/05/17 Птн 08:43:04  284092
>>284090
Тебе абсолютно точно нужно задавать такие вопросы на VRTP, там люди продвинутые и всё подскажут.
Аноним 19/05/17 Птн 08:47:11  284093
>>283803
Потому что рабочее напряение белого светодиода примерно 3 В и он в него попал. Но у него нет ограничения тока и светодиоды при определенных условиях (выброс напряжения, низкая температура воздуха) запросто могут сдохнуть.
Дебильные китайцы иногда суют 4 белых светодиода в бортовую сеть авто без резистора - и при 14+ вольтах это все начинает мигать и дохнет.
Аноним 19/05/17 Птн 08:49:32  284094
>>283804
Проверь сколько устройство потребяляет на правтике.
>>283806
Потому что гонять данные между чипами - это терять наноссекунды на передаче. Ну и драйверы линий место на чипе занимают немаленькое.
Аноним 19/05/17 Птн 08:50:46  284095
>>283808
Потому что наводки от ИБП ты слышишь как мерзкое шипение и искажения. К тому же ИБП не очень любят импульсную нагрузку (коей является музыка).
Аноним 19/05/17 Птн 08:52:16  284096
>>283820
Нет, не будет.
Аноним 19/05/17 Птн 09:26:04  284098
>>284083
>но АТХ нельзя гонять без нагрузки
што
>>284083
>с защитой от кз,
што
Аноним 19/05/17 Птн 09:28:00  284099
>>284095
>К тому же ИБП не очень любят импульсную нагрузку
што
это тред сплетен и сказок?
Аноним 19/05/17 Птн 10:41:02  284101
syh.png (2Кб, 61x38)
Что такое 4,7Е?
Аноним 19/05/17 Птн 10:42:02  284102
>>284101
4,7 ом
Аноним 19/05/17 Птн 10:43:23  284103
>>284043
да 4, сказал же бабла нет от слова савсем, а парнуху без звука драчить не покайфу
Аноним 19/05/17 Птн 10:47:10  284104
>>284102
а почему "Е"?
Аноним 19/05/17 Птн 10:51:45  284105
>>284056
если акум на нуле и неберет зарядку можно попытаца его востановить.
сначала его надо разогнать что бы он в себя брал заряд.
гдето около часа не большим током заряжаем его в обратную сторону тое + на минус.
потом заряжаем его в нормальную сторону как обычно, доливаем воды и можно сделать пару циклов заряд разряд.
помогает в большинстве случаев.
если греетца то либо слишком большой зарядный ток - агм акумы этого пиздец как не любят либо короткое в пластинах сие равносильно пиздецу акум на вторчер мет.
можно канечно попытаца его подключить через автоматик на 10-15 ампер к 220 выжечь к хуям перемычку но сие не пробовал да и делать мне больше нехуй.
Аноним 19/05/17 Птн 11:01:57  284106
>>284104
класс точности наверно
Аноним 19/05/17 Птн 11:02:47  284107
>>284099
в лучших традициях еще того...
Аноним 19/05/17 Птн 11:55:52  284110
>>284105
>>284056
Тоже мертвый аккум акм ваш, 5 вольт показывал, 6 лет стоял ничего не делая, на 12 вольт ток 0.8мА. Залил в банки по 20 мл дистилированной воды, подключил к обратноходу из шокера - показывал 100 вольт и постоянно снижаясь, дошел до 12.6, стал стабильно, подключил к БП на 13.8 вольта, жрет 900мА по показометру, в реале где-то 1.2А, все банки кипят одна не кипит, когда отключаю БП напряжение падает до 12.3, ибп с этим аккумом держит лсд монитор минут 5 и на 10.9В отключается. Еще можно починить или пизда? И поподробнее расскажите о выжигании перемычек?
Аноним 19/05/17 Птн 12:02:17  284111
>>284098
>>с защитой от кз,
>што
ЛМ ограничит ток в случае кз и ничаво нисгарит, базарю, всегда так делаю, только греться будет, без радиатора сгорит.
>>284084
Просто ты тупой дегенерат. Нужна балансировка нагрузки, если нагрузил 20А на 12 вольт, будь добр и другие каналы чем-нибудь загрузь, а то у стабилизатора баттхерт от этой хуйни.
Аноним 19/05/17 Птн 12:03:26  284112
>>284104
Потому что ты пидор, вот почему.
Аноним 19/05/17 Птн 14:05:34  284127
>>284083
> Лучше приделай к нему LM317 на радиаторе, параметры как раз идеальны под такое, получишь простой и очень надежный линейный бп уже с защитой от кз, для питания чувствительных к импульсным помехам махараек (усилители и прочее аудио, например).
>для питания чувствительных к импульсным помехам махараек
>усилители и аудио
Ты пиздишь, либо не шаришь. Может для класса D и пойдет, но для А точно никак, у подобных стабилизаторов высокий уровень шума.
Другое дело после lm317 ставить высокочастотный шунт на малошумящем ОУ, тогда другое дело, но про это речи не велось
Аноним 19/05/17 Птн 14:08:01  284128
>>283865
Ну а что ты хочешь, любезный мистер, 3 ватта это очень даже дохуя по теплу. Без радиатора столько нельзя на светодиодной подложке рассеять.
Аноним 19/05/17 Птн 14:10:20  284130
>>283877
Светодиоды питаются мощностью как и любая другая нагрузка. То есть присутствует и ток и напряжение. Но стабилизировать проще всего ток через них, что повсеместно и делается.
Аноним 19/05/17 Птн 14:11:16  284131
Поцоны, помогите подобрать аналог OУ TL972 в дип8 корпусе. Из тех, что есть в чипидипе.
Аноним 19/05/17 Птн 14:12:11  284132
>>283891
Потребляет.
Аноним 19/05/17 Птн 14:15:11  284133
>>283935
Тепловые сопротивления можешь посмотреть у любого другого транзистора в таком же корпусе. Они почти наверняка одинаковы.
Аноним 19/05/17 Птн 14:18:06  284134
>>284103
Ну и иди в пизду.
Долбоёб, алкаш, нищеброд, да еще и хвалится этим.
Аноним 19/05/17 Птн 14:39:52  284140
>>283876
Не спортивно
Аноним 19/05/17 Птн 14:46:31  284144
>>284072
Чтобы не плясать с бубном - питание ОУ стабилизируют, хотя бы просто банальным стабилитроном и этого достаточно в 99.9% случаев.
Rejection -80 дБ - это очень много, покрывает практически все случаи применения.
Аноним 19/05/17 Птн 14:49:52  284145
>>284099
Обратная связь ИБП - весьма медленная и включение-выключение мощной нагрузки может отпрабатывать с задержкой или выбросом, как повезет.
Аноним 19/05/17 Птн 14:50:40  284146
>>284104
Советские резисторы так маркировались почему-то. Буржуйские - "R".
Аноним 19/05/17 Птн 14:52:17  284147
>>284105
Шизик, а скажи, как мне мертвеца оживить? Четыре года назад похоронен, вот выкопаю я его, куда ему чего заливать и как шокером долбить?
Аноним 19/05/17 Птн 15:33:07  284150
если для зарядки трёх ли-ионок (3.7в) плата просит 12в, то получается на 1й ли--ионке скорость заряда будет выше чем на остальных? ток ведь последовательно через все течёт на 12 вольтах?
Аноним 19/05/17 Птн 15:47:36  284152
заебало
ищу плату-зарядник ли-ионки чтобы 1A@5V жрала, везде пишут что зарядка на 1А и хуй пойми это про 5в или 4.2в
Аноним 19/05/17 Птн 16:12:03  284156
Fig4Rus[1].gif (9Кб, 650x348)
Fig7Rus[1].gif (37Кб, 600x393)
>>284127
>Ты пиздишь, либо не шаришь
Пиздишь и не шаришь здесь только ты.
317 используют в малошумящих стабилизаторах массово даже вегалабовцы. А секрет прост: ее шумы очень легко понизить на порядки.
Пикр. И это только самый простой способ, повесить сраный конденсатор. Можно сделать и более продвинуто, понизив шумы даже в 1000 и более раз!
Но это, блять, классика, это знать надо! И все это давно разжевано в гугле, и массово применяется любителями прецизионных усилителей в их схемах питания.
Аноним 19/05/17 Птн 16:18:45  284157
>>284084
Это все чушь собачья, и сгорел он 100% не от этого. При нагрузке только одной питающей линии ничего не произойдет, просто вместо 5В у тебя может получиться 6, а вместо 12в 13-14. Так что можешь смело цеплять к 12в импульсный регулируемый стабилизатор и получать любое напряжение 1-50В при мощности 100-200вт.
Аноним 19/05/17 Птн 16:36:45  284159
>>284156
Дай ссылку на тему с обсуждением, будь добр.
Аноним 19/05/17 Птн 16:40:23  284160
>>284111
Нет, я ньюфаг, сворня вот читаю. Про другие каналы первый раз слышу, на форумах обычно одни пишут что нельзя без нагрузки, другие заявляют, что все похуй все выдержит современные ШИМ кококо.
>>284157
Возможно. У него лопнул транзистор один из тех, что за трансформаторами. Сейчас идет по почте такой, даже не знаю, будет ли работать или еще что-то сдохло.

А можно как-нибудь интегрировать каналы, чтобы их ток сливался в один общий? А дальше я поставлю дс-дс с китайским вольтметром.
Аноним 19/05/17 Птн 16:44:24  284162
Есть один низкочастотный (от 0 до ~20 МГц) активный четырёхполюсник. Его коэффициент передачи заранее известен. Входной и выходной импедансы неизвестны. Я хочу измерить его коэффициент шума, но не знаю как. В СВЧ просто цепляют ваттметр и измеряют. А тут то частоты другие совсем, плюс подключиться к коаксиальному входу ваттметра будет проблематично. Может, у анона есть идеи?
Аноним 19/05/17 Птн 17:07:06  284166
Так как /dom/ ещё более мертвый раздел, чем этот, продублирую вопрос оттуда здесь:

Анчоусы, въехал в квартиру, в древнем доме дореволюционной постройки. Тут вроде ремонт когда-то был и всё нормально, но с электрикой какой-то пиздец: куча настенных выключателей неизвестного назначения, торчащие провода, разобранные розетки и прочие радости для любопытных тугосерь/котов.
Чтобы был понятен масштабы пиздеца, опишу как устроено освещение в ванной.
1) Есть светильник над зеркалом. Он светит всегда. Предыдущие жильцы выключали его выкручиванием лампочки. Мне завещали делать также.
2) Есть общее освещение и вытяжка. Заводятся двухкнопочным выключателем сбоку от входа в ванную комнату. Самое веселое, что выключатель находится не с той стороны, где дверь открывается, а со стороны, где у двери петли. Причём свет и вытяжка подключены последовательно, и чтобы включить вытяжку, нужно предварительно включить свет.
3) Есть выключатель с "нормальной" стороны от двери в ванную. Мои друзья, которые в первый раз сталкиваются с этим сортиром, наивно пытаются включить свет именно им и попадают в ступор, так как ничего не происходит. А ничего не происходит, потому что выключатель заведен на оборванный провод, который торчит недалеко от душевой хз, может задумывался тазик-эвтаназик.

Собственно моё душевное равновесие очень расстраивают торчащие из стен провода, поэтому в голову пришла идея завести этот выключатель из пункта 3 на освещение зеркала из пункта 1.
Самое простое решение, которое подсказал гугл - использовать ресивер СоСо ACM-250 со стороны зеркала и передатчик CuDah СоСо AWMT-230, который я хочу повесить на торчащий провод. Расстраивает только цена 1500-2000 рублей за приёмник/передатчик.
Есть ли более бюджетные готовые решения?
Аноним 19/05/17 Птн 17:14:52  284168
>>284159
Нет такой темы. Просто смотри схемы.
Например: http://forum.vegalab.ru/showthread.php?t=76016
Тут 317е без изъебств и при этом характеристики девайса - космос.
Аноним 19/05/17 Птн 17:16:04  284169
>>284166
Что-то дорого за хуйню, которую можно запилить на пердуине и паре релешек.
Иди на али и накупи пердуноклонов, тебе хватит.
Аноним 19/05/17 Птн 17:17:30  284170
>>284169
>пердуноклонов
качеством отличаются от ардуин?
Аноним 19/05/17 Птн 17:22:33  284171
>>284170
Не думаю. Просто ты не платишь за лицензию на ардуинософт.
Аноним 19/05/17 Птн 17:23:01  284172
>>284171
а он там есть ?
Аноним 19/05/17 Птн 17:28:52  284176
>>284172
Ардуино это среда для создания прошивок на МК авр. Берешь любой авр и шьешь его ардуиной. В контроллере нет DRM или какого-то способа проверить лицензионность.
Аноним 19/05/17 Птн 17:30:25  284177
>>284176
так правильно говорить аврки чтоли или ардуинки это устоявшееся название?
Аноним 19/05/17 Птн 17:34:50  284178
>>284177
Нет ардуино и авр это как шиндов и интел довн АЗАЗА)))
Аноним 19/05/17 Птн 17:35:31  284179
>>284178
так я блять понял
но все же говорят покупать ардуинки
Аноним 19/05/17 Птн 17:38:16  284180
>>284179
Ардуино это готовые модули, где есть плата с микроконтроллером АВР и всем необходимым обвязом, и модули конечные - всякие реле, экранчики, термометры, динамики, етц.
Можешь просто как конструктор соединять их вместе и юзать с помощью простого софта.
Ты можешь купить АВР отдельно и сделать для него обвязку, можешь кодить его на ассемблере и вообще послать нахуй ордуино.
Но ты же хочешь готовое решение так? Вот это относительно готовое решение. Модульный конструктор не требующий специальных знаний.
Для твоих задач коммутации лампочки 100% то что нужно.
Аноним 19/05/17 Птн 17:42:22  284181
>>284180
да я воще мимокрок
Аноним 19/05/17 Птн 17:44:45  284182
>>284180
блин а нельзя ли в этом софте просто посмотреть все возможности?
ну т.е. например глянуть список того что я хочу подкл и какого типа и он скажет какие платы нужны
Аноним 19/05/17 Птн 17:48:54  284183
>>284182
Это все есть на сайтах пердуинщиков, иди гугли или покупать свою хуйню за 3 тысячи.
Аноним 19/05/17 Птн 17:53:43  284184
>>284183
есть что ?
разъёмы там указаны, но что туда можно подсоединить я не знаю, но очень давно хотелось бы разобраться, т.к. оч интересна автоматизация..
Аноним 19/05/17 Птн 18:21:42  284191
>>284184
Ну так разбирайся, раз хотелось. Если тебя за ручку водить, ты нихуя не поймёшь, как типичный пердуинщик.
Аноним 19/05/17 Птн 18:25:20  284192
>>284191
>разбирайся
хз как, иначе б давно разобрался
Аноним 19/05/17 Птн 18:48:48  284195
maxresdefault[3].jpg (63Кб, 1920x1080)
>>284192
Аноним 19/05/17 Птн 19:03:30  284201
>>284192
Значит не сильно то и хотел.
Аноним 19/05/17 Птн 19:05:54  284202
>>284201
ага, и из леса заблудившиеся не выходят так как недостаточно хотят
Аноним 19/05/17 Птн 19:38:33  284204
>>284202
Тебе сказали что искать, достаточно пойти в гугл и найти тексты, где есть намного больше, чем ты можешь навыспрашивать тут.
Это троллинг тупостью?
Аноним 19/05/17 Птн 19:44:50  284205
>>284202
http://playground.arduino.cc/Main/SimilarBoards#goShie
Аноним 19/05/17 Птн 19:52:38  284208
>>284204
>Тебе сказали что искать
ГДЕ, ты тролишь?
>>284205
что такое шилдс?
Аноним 19/05/17 Птн 20:02:44  284210
>>284208
> ГДЕ, ты тролишь?
https://www.google.ru/search?q=Ардуино%20для%20начинающих
>что такое шилдс?
Это модули/платы расширения которые можно подключить к ардуино.
Аноним 19/05/17 Птн 20:34:47  284218
>>284202
Да этим заблудившимся и жпс навигатор с гуглокартами не поможет, как и тебе, дебилу, мозгов не хватит.
Аноним 19/05/17 Птн 20:40:04  284219
>>284210
>Урок 1. Мигающий светодиод на Arduino
>featuredНа первом уроке вы научитесь подключать светодиод к Arduino
нафиг мне покупать что-то и делать ненужное, когда я хочу просто прочесть ЧТО МОЖНО СДЕЛАТЬ С ПЛАТОЙ...
школохуйня всякая, мне не 8 лет чтоб усваивать всё по крупице в форме для недоразвитых.
>>284218
с навигатором идти просто, что делать мне хз
Аноним 19/05/17 Птн 20:45:36  284221
>>284219
>когда я хочу просто прочесть ЧТО МОЖНО СДЕЛАТЬ С ПЛАТОЙ
меня всегда и везде напрягало отсутсвие списков возможностей, какие ебланы не могут для своего продукта такое организовать? людям только это и нужно если они хотят что-то сделать, а продажи увеличились бы...
Аноним 19/05/17 Птн 20:49:50  284224
>>284219
>>284221
Пошел нахуй... быдлан...
Аноним 19/05/17 Птн 20:57:27  284225
Анончики, подскажите, как ровно резать оргстекло? Пытался ножовкой, но оргстекло тупо раскалывается на кусочки.
Аноним 19/05/17 Птн 21:03:12  284227
>>284225
Корелом.
Аноним 19/05/17 Птн 21:05:39  284228
>>284227
Это кто такой?
Аноним 19/05/17 Птн 21:07:29  284230
>>284228
Corel Draw. Нарисовал, отдал рекламщикам, забрал готовое.
Аноним 19/05/17 Птн 21:11:08  284232
>>284230
Эм, мне не надо ничего рисовать, мне отрезать надо
Аноним 19/05/17 Птн 21:12:45  284233
>>284232
Да не отрежешь ты ничего сам. А если бы и мог, то не задавал бы тупых вопросов.
Аноним 19/05/17 Птн 21:32:18  284234
>>284225
Лобзиком, охлаждая его.
Аноним 19/05/17 Птн 22:09:17  284236
Анончики, нид хелп.
Я сам не радиолюбитель, но тут возникла необходимость сделать диодную лампу своими руками. Тащемта все практически сделано, осталось решить вопрос с охлаждением. Диоды на звездочке планируется наклеить термоклеем на люминиевую пластину, а с другой стороны на эту пластину - ш-образные ребристые профили. Но, поскольку диодов достаточно много, думаю повесить на эти профили сверху четыре небольших кулера, чтобы они отводили тепло. Внимание, вопрос - как подключить 12в кулер? Блок от системника приделывать к лампе не вариант, критичен вес.
Правильно ли я понимаю, что можно купить вот такой преобразователь: https://www.chipdip.ru/product/apc-12-350 (выход - 12вольт, ток 0.35 ампер) и к нему подключить параллельно, скажем, четыре вот таких кулера по 0.07ампер https://www.chipdip.ru/product/ec5010l12s). Правильно ли я понимаю логику, что суммарная сила тока при параллельном подключении не должна превышать показатель силы тока преобразователя? Надо ли впаивать между ними какой-нибудь реостат/сопротивление, или и так все будет работать? Заранее сасибо за ответ, мимо-анон-из-diy.
Если что, буду рад услышать какой-то менее геморройный способ сделать задуманное
Аноним 19/05/17 Птн 22:13:34  284237
>>284236
>наклеить термоклеем
чет проиграл.

С блоком питания рассчитывай мощность с 30+% запасом.
Аноним 19/05/17 Птн 22:24:46  284239
>>284237
Что не так с термоклеем? Тащемта штатный способ крепления этих звездочек, как я понял.
Хм. Т.е. если можность блока питания заявленная как 12 ватт с кпд 82 процента, а мощность кулера будет 12в0.07а = 0.86 вт, то с 30% запасом к нему можно подключить 120.7/0.86 = 9 - 10 кулеров? Если подключить меньше, сгорят ли кулеры, или же это просто будет напрасная потеря мощности?
Аноним 19/05/17 Птн 22:30:00  284240
>>284239
Термоклей не очень хорошо держит детали, которые нагреваются, такие дела.

Ничего не сгорит и напрасной потери особо не будет.
Аноним 19/05/17 Птн 22:39:57  284241
>>284240
А еще можешь начать вкатываться с покупки вот такой хуйни
https://www.aliexpress.com/item/32802291474/32802291474.html
Запитаешь ее от того же блока, прикрепишь термопару на пластину свою, а кулеры подключишь через реле. И они у тебя будут включаться по мере потребности, по температуре, которую задашь.
Аноним 19/05/17 Птн 22:48:24  284242
>>284239
Че то посмотрел твою математику - хуйня.
Кароч кулер жрет 70мА, блок дает 350мА, нехуй считать кпд и прочую хуйню.
Т.е. Можно 5 штук. Но я бы не советовал постоянно использовать такую хуйню на максимальной мощности. 3 на такой можно повесить спокойно.
Алсо, не понимаю, нахуй такую хуйню покупать, да ещи и на чипдипе, пиздец.
https://www.aliexpress.com/item/32802291474/32802291474.html
Например. А вообще такого говна навалом от старой техники. На помойке или барахолке за копейки

http://www.avito.ru/902603844
Аноним 19/05/17 Птн 22:53:48  284243
>>284240
А например коробку из пластиковых пластин можно склеить термоклеем?
Аноним 19/05/17 Птн 22:56:09  284244
>>284243
Да можно, но это слишком абстрактный разговор.
В целом термоклей он из раздела говна и палок. Но, признаюсь, сам грешен.
Аноним 19/05/17 Птн 23:01:40  284246
>>284241
>>284242
Ок, спасибо. Буду думать в этом направлении. В чипе-дипе прост ссылки привел, еще не покупал ничего.
Добра и сотен нефти вам
Аноним 19/05/17 Птн 23:17:06  284248
Подкинули мне тут БП Pola ATX-500W с выпаянными кондерами. Как сказали он рабочий но хз куда какой кондер.Где вообще искать схемы?
Аноним 19/05/17 Птн 23:59:56  284251
>>284248
Давай фото
Аноним 20/05/17 Суб 07:22:29  284256
IMG201705200720[...].jpg (2215Кб, 1872x3328)
>>28425
Помогите со схемой пацаны Аноним 20/05/17 Суб 08:11:01  284258
1495259228345.jpg (57Кб, 540x720)
ПАЧАНЫ НУЖЕН ХЕЛП
Аноним 20/05/17 Суб 09:12:59  284260
>>284258
Заебали вы чесснслово.
Ну сядь ты бля и разберись в этой хуйне. Тут же просто надо терпение. Ну не хочешь учиться - дропни нахуй - благо 30к щас можно независимо от уровня образования зарабатывать.
Аноним 20/05/17 Суб 09:14:03  284261
>>284256
По названием микрух схемы гугли
Аноним 20/05/17 Суб 09:27:51  284262

>>284260
Как бы тебе обьяснить
Это ладе не мне просто очень нужна помощ в решении
Аноним 20/05/17 Суб 10:57:37  284263
>>284168
Я её читал уже. Самый проёб вегалаба в этом.
Дохуя интересных тем поднимаются в обсуждении устройств, а не в отдельных темах.
Всё прочитать - обдвачеваться можно. Приходится шарить через поисковик.
Аноним 20/05/17 Суб 11:27:58  284264
Анон, нужен твой совет - есть 2 стула блока питания:
https://ru.aliexpress.com/item/Small-Volume-Single-Output-600W-48V-12-5A-Switching-Power-Supply-Transformer-AC110V-220V-TO-DC/32750928017.html
и
https://ru.aliexpress.com/item/500W-36V-14A-Small-Volume-Single-Output-Switching-power-supply-Transformers-110V-220V-AC-DC36V-for/32751026521.html
какой лучше взять? У первого повыше ток будет, у второго на 100вт мощность и выходное напряжение выше, но ток ниже.
Какой выбрать? По цене они почти одинаковые.
Хочу из него себе собрать лабораторный БП ибо уже готовые на более чем 10А стоят какие-то ебанутые суммы.
Аноним 20/05/17 Суб 14:21:33  284274
>>284261
по микросхеме AZ339P-e1 выдает совсем другое
Аноним 20/05/17 Суб 16:06:30  284280
>>284264
Для лабораторного важно какой там ШИМ-контроллер, тупорылый или нет. Тупорылый не умеет в простой без перегрузки трансформатора, например.
Я тоже ищу основу для лабораторного БП и как-то не очень доверяю этим блокам. Алсо зачем тебе 600 ватт?
Аноним 20/05/17 Суб 16:26:31  284282
Анонас. Покажи-ка бумажку, для переноса тонера на плау, которой пользуешься сам.
Аноним 20/05/17 Суб 16:47:37  284283
>>284280
Судя по фоткам там шимки в dip-8, если это то, о чем я думаю, они рассчитаны на непрерывную нагрузку и не умеют в остановку, плавный пуск, и прочее, что могут современные АТХи.
Аноним 20/05/17 Суб 17:03:13  284285
>>284280
>зачем тебе 600 ватт?
Тесла, сварка, мало ли что я буду собирать.
Аноним 20/05/17 Суб 17:11:40  284286
>>284285
О, тогда я не знаю, у нас сильно разные задачи. Мне под обычный ЛБП электронщика такие блоки без серьезной допилки не годятся.
Аноним 20/05/17 Суб 17:25:37  284288
>>284280
>Тупорылый не умеет в простой без перегрузки трансформатора
Щито?
Аноним 20/05/17 Суб 17:29:33  284289
>>284288
Убираешь нагрузку с выходов - он продолжает посылать импульсы - у трансформатора припеканус.
Эти говношимы не могут в полную остановку, какая-то минимальная длина импульса у них есть.
Аноним 20/05/17 Суб 19:02:31  284296
1248291378861.jpg (18Кб, 432x432)
Поясните, изучал buck конвертеры, задался тупым вопросом уровня школьной программы.
Вот есть катушка, подали на нее ток. В катушке накопился заряд. Резко полностью отключаем катушку от схемы, оба конца в воздухе. Куда рассеивается ЭДС самоиндукции? В тепло, в излучение/помехи, каким образом? Интересуют варианты катушки с сердечником и без него. Куда уходит энергия?
Аноним 20/05/17 Суб 19:25:10  284297
>>284296
Никуда не уходит. Моща магнитного потока в сердечнике кончается и электричество в обмотке кончается вместе с ней.
Аноним 20/05/17 Суб 20:01:56  284299
>>284289
>у трансформатора припеканус.
С хуя ли?
Аноним 20/05/17 Суб 20:17:03  284301
>>284286
Ну так какой лучше брать? На 600 ватт и 12.5А или на 500 ватт и на 14А?
Склоняюсь к тому чтобы взять первый ибо на 100 ватт больше, да и напряжение у него можно регулировать аж до 48 вольт, если брать его то смогу ли я выжать из него больше 12.5 ампер на, например, 12 вольтах?
Никто, кстати, не в курсе какие там пульсации?
Аноним 20/05/17 Суб 20:37:33  284302
как вообще разобраться в маркировке трансформаторов?
Вот например на одном написано EI-28 SH 0039.
На другом HONG CHAN E231049 04-A0161 0934 SBI4.2 Class130(B)
Ничего из этого не гуглится, ну разве что EI-28 понятно что.
Аноним 20/05/17 Суб 22:32:03  284311
>>284296
Сжали пружину от девятки передав ему внутреннюю энергию 500дж, смотали вольфрамовой проволокой в таком положении и кинули в котел с расплавленной сталью. а она и расплавилась. Куда делось 500дж?
Аноним 20/05/17 Суб 22:39:02  284312
20110306230530n[...].png (422Кб, 800x800)
>>284311
Переход энергии из упругой деформации в пластическую ускорил расплавление пружины.
Аноним 20/05/17 Суб 23:47:32  284316
>>284289
Без проблем фиксится банальным приматыванием скотчем к трансформатору ртс терморезистора.
Аноним 21/05/17 Вск 00:05:31  284317
>>284316
Там не просто нагрев, это насыщение сердечника. Индуктивность падает, ток в первичке повышается.
Хуй знает, у меня тактовый транзистор ебнуло и сам трансформатор вроде как пригорел чуток.
Аноним 21/05/17 Вск 00:16:06  284318
Почему QFN корпуса дороже чем SOIC и DIP?
Вроде минимизация == удешевление, а не наоборот. Мне шаблон порвало, короче.
Аноним 21/05/17 Вск 00:16:38  284319
>>284317
Нагрев есть? Есть. Как только температура переваливает за номинальную термистор(обычно более 80-120°С) переключается и его сопротивление становится несколько десятков мегом, терморезистор последовательно включен в цепь питания шимки и соответственно он ее отрубает нахуй.
Аноним 21/05/17 Вск 00:28:27  284320
>>284319
К тому моменту ток давно убьет транзистор.
Аноним 21/05/17 Вск 00:44:42  284321
>>284320
Можно и на транзистор повесить еще один. Делов то. Даже есть термисторы со специальным крепежом, но в начале обязательно нужно прогнать его на максимуме БП и померить термопарой нагрев транзистора чтобы не получилось так что термистор ограничивает мощность БП. Обычно на транзисторы ставлю термисторы на 130 градусов 100 ом.
Вообще в начале я тыкаю термопарой в трансформатор и транзистор - что сильнее греется на то и вешаю.
Аноним 21/05/17 Вск 01:09:04  284323
Радиотехнач? Я купил ультрафиолетовый фонарик, он хорошо отсвечивает зубы, купюры и метки на бумаге гознака, а на малафью не реагирует. Что делать? Я ведь его специально покупал для того, чтобы рисовать спермой на стенах.
Аноним 21/05/17 Вск 01:53:20  284327
>>284264
Делай из ATX питальника.
Аноним 21/05/17 Вск 07:39:03  284333
IMG201705211126[...].jpg (282Кб, 614x1225)
Сап, паяльнич. Есть антенна-пикрил которая н...я не ловит , а без Соловьева\Киселева у меня ломка. Думаю взять провод от удлинителя, зачистить и припаять один конец к антенне, другой к самодельной конструкции из железяк. Только на проводе две медные жилы, одну паять или обе? Если обе то как?
Аноним 21/05/17 Вск 08:46:38  284334
Каким образом сердечник усиливает электромагнит?
Аноним 21/05/17 Вск 10:40:37  284337
>>284317
Какое нахуй насыщение, наркоман? Нагрузка вообще не влияет на это.
Аноним 21/05/17 Вск 11:22:43  284338
Анон, у меня горит. Пиздец.
Купил паяльник, олово, канифоль. Всё по инструкции зделол, нагрел паяло, опустил в канифоль, обмазал жало в олове, стёр, снова в канифоль, снова в олово, все дела, ЗАЛУДИЛ, так сказать. Приступил к пайке, надо бы соединить два многожильных проводка. Обмазал их канифолью, на жало взял каплю олова, и нихуя, просто. Эта ёбаная капля не слезает с жала, а если слезает, то куда-то на стол, на палец, в глаз, но не на два ёбаных проводка. Они как будто отталкивают олово. Что я делаю не так?
Аноним 21/05/17 Вск 11:25:08  284339
>>284338
Анонимус довольно туп и без картинок твою проблему не понимает.
Аноним 21/05/17 Вск 11:30:35  284340
>>284338
Нихуя не понял, но ладно. У проводов изоляцию резаком отскобли.
Ну или погугли про пайку с помощью ацетилсалициловой кислоты (аспирин).
Аноним 21/05/17 Вск 11:42:29  284342
>>284340
>Ну или погугли про пайку с помощью ацетилсалициловой кислоты (аспирин).
Двачую, от нее еще дым вкусный идет, люблю занюхивать
Аноним 21/05/17 Вск 11:43:28  284343
IMG201705211136[...].jpg (99Кб, 1248x936)
IMG201705211139[...].jpg (99Кб, 1248x936)
>>284339
>>284340
Я косноязычен, да.
Суть: есть два проводка, которые надо спаять.
Они не спаиваются, потому что олово на них не ложится.
Аноним 21/05/17 Вск 11:46:20  284345
>>284343
Положи зачищенный провод прямо на кусочек канифоли. Сверху капельку олова и паяльником коснуться чтобы прямо закипело.
Аноним 21/05/17 Вск 11:46:55  284346
>>284345
Попробую, спасибо.
Аноним 21/05/17 Вск 11:54:19  284347
>>284343
Это скорее всего литцендрат. без аспирина ты хуй его залудишь.
Аноним 21/05/17 Вск 12:23:15  284351
IMG201705211154[...].jpg (95Кб, 1248x936)
IMG201705211205[...].jpg (92Кб, 1248x936)
IMG201705211218[...].jpg (85Кб, 1248x936)
Всё хуйня, проблема была ещё в том, что эти проводки были в натяг, и нужно было обладать четырьмя руками, чтобы проводить операцию по спайке. Отрезал от "колечка для ключей" кусок стальной залупы, и сделал невероятно красивое решение с двумя блямбами олова.
Аноним 21/05/17 Вск 12:43:04  284353
Десять залипух из десяти.
Аноним 21/05/17 Вск 12:43:51  284354
IMG201705211226[...].jpg (86Кб, 1248x936)
IMG201705211230[...].jpg (65Кб, 1248x936)
IMG201705211236[...].jpg (82Кб, 1248x936)
Ну, и, если кому-то интересно, запатентованная технология рёбер жоскости.
Аноним 21/05/17 Вск 13:09:02  284355
s-l1600.jpg (193Кб, 1024x1024)
>>284354
Держи.
http://www.ebay.com/itm/55M-1mm-22mm-Heatshrink-Tube-Tubing-Sleeve-Heat-Shrink-Cable-Kit-/252809606196
Аноним 21/05/17 Вск 13:10:20  284356
>>284355
Я знаю за термоусадки. Но покупать пачку домой ради одного мелкого ремонтика в год не нужно. А ждать понедельника, чтобы спиздить с работы долго. Поэтому кустар-монтаж - наше всё.
Аноним 21/05/17 Вск 13:17:37  284357
Безымянный.jpg (460Кб, 1137x1242)
>>284356
Смотри какая у меня коллекция. Здоровая, сука.
У разных продавцов набрал.
Аноним 21/05/17 Вск 13:47:12  284358
>>284356
Пачка покупается не для одного мелкого ремонтика, а про запас на все будущие ремонты.
Аноним 21/05/17 Вск 14:01:30  284359
>>284357
бля, тоже нужна термоусадка. как жаль что мне лень выходить из дома
Аноним 21/05/17 Вск 15:23:49  284362
orig.jpg (419Кб, 2000x1658)
Анон, нужна помощь

Городил охлаждение в некро корпусе, вертушки брал какие бог подал, в разном состоянии, в общем так получилось, что случайно замкнул двенадцать вольт плюс и минус на молексе, комп ребнутнулся, ничего не произошло, все нормально работает. Блок питания хороший, со всеми возможными защитами.

Я понимаю что сработала защита, но могла такая хуйня нанести хоть какой-то минимальный ущерб или нет? Спасибо
Аноним 21/05/17 Вск 15:53:46  284363
>>284362
Нет.
Аноним 21/05/17 Вск 15:57:12  284364
>>284323
Bump
Аноним 21/05/17 Вск 16:13:09  284366
>>284323
Ты либо добавляешь в кончу флуоресцентный компонент, либо берешь лампу с другой длинной волны, ок?
Аноним 21/05/17 Вск 17:50:54  284370
image099.gif (5Кб, 432x265)
>>284366
аноны, помогите дебилу. Препод меня дрочит вопросом пару дней. Гугл не помогает. Вопрос: какая полярность напряжения питания, чтобы схема была рабочей. Ниже прикрепил изображение, но в моём случае pnp, а не npn, а так таже схема.
Аноним 21/05/17 Вск 17:52:34  284371
>>284370
>>284366
бля, проебался и получилось что ответил на коммент, вместо самостоятельного коммента. Но сути не меняет, вопрос ко всем, а не к отдельно взятому анону. Выручите тупого.
Аноним 21/05/17 Вск 18:10:42  284372
>>284366
Окей, от какой длины волны светится сперма и моча?
Аноним 21/05/17 Вск 18:31:05  284373
>>284372
150~200нм.
Аноним 21/05/17 Вск 18:34:06  284374
>>284370
Противоположная той что у тебя на схеме. Объяснить можно показав ВАХ p-n-p транзисторов. Активный режим у p-n-p транзисторов при отрицательных (относительно эмиттера) напряжениях на базе и коллекторе.
Аноним 21/05/17 Вск 20:28:27  284382
Аноны, реквестирую способы надёжного монтажа дочерних плат под углом (нужно для проекта). Будет примерно 10 соединений.
Аноним 21/05/17 Вск 20:31:38  284383
анон помоги подобрать транзистор но чтоб мощность была не больше 30 ватт, иначе расчеты по пизде идут + в даташите чтоб было тепловое сопротивление корпус-среда и крисстал-корпус
Аноним 21/05/17 Вск 21:23:35  284388
>>284383
О типе транзистора аноны должны догадываться?
MJD44H11 (NPN), MJD45H11 (PNP)
Используй параметрический поиск на mouser.com и digikey.com
Аноним 21/05/17 Вск 21:33:32  284390
>>284388
тип без разницы , спасибо
Аноним 21/05/17 Вск 23:30:14  284397
Задам наверное тупой вопрос.
Но как рассчитать преобразователь частоты на транзисторе, есть частота сигнала и частота гетеродина, мощность и сам транзистор. Просто выбирается точка на характеристиках транзистора? И транзистор выводиться в режим? В шапке нашел только один учебник, но там слишком громоздкие расчеты.И можно ли посчитать просто заменив транзистор эквивалентной схемой?
Аноним 21/05/17 Вск 23:47:24  284399
>>284382
Я бы сделал так:
Дочернюю плату припаяваю в 4 точках на медную проволоку 4мм2, соответственно будет 2 коротких и 2 длинных отрезка. Соединения хуярю на шлейфе.
шутка конечно, термоклея просто вылью дохуя до и все
Аноним 22/05/17 Пнд 00:18:16  284401
неофит кун опять в треде, подскажите в каких случаях какую мощность брать?
Аноним 22/05/17 Пнд 00:43:16  284403
image.jpeg (291Кб, 700x521)
Есть один дисплей для nokia6700c , на зывается lms220gf08.
Как найти ответную часть для его коннектора на шлейфе, чтоб использовать в своих проектах?
Аноним 22/05/17 Пнд 00:54:28  284404
>>284327
Не катит. Там 12 вольт максимум.
Аноним 22/05/17 Пнд 01:47:28  284406
Посоны, что порекомендуете почитать, чтобы хоть как-то начать немножко разбираться в электронике. Интересует чисто теория, паять ничего не собираюсь. На текущий момент знаю ебаное ничего и выключатель для меня что-то вроде черной магии.
Аноним 22/05/17 Пнд 01:49:59  284407
>>284404
Брехня. До 30в.
Аноним 22/05/17 Пнд 01:51:37  284408
>>284264
А если на барахолке найти трансформатор, конденсаторы и диодный мост?
Аноним 22/05/17 Пнд 01:55:35  284409
>>284408
Чтобы за мной потом люди в белых халатах пришли?
Аноним 22/05/17 Пнд 01:57:39  284410
>>284409
А теперь объясни.
Аноним 22/05/17 Пнд 02:52:31  284413
>>284409
Реально же силовой трансформатор надёжнее и нагрузку лучше держит. Объясни нам про белые халаты?
Аноним 22/05/17 Пнд 02:56:18  284414
>>284413
Габариты, вес, цена.
Аноним 22/05/17 Пнд 03:45:14  284415
Посоветуйте что можно собрать на плате 10x15 см. Без распиливания и желательно с максимальным использованием площади. Травить буду ЛУТом.
Аноним 22/05/17 Пнд 03:59:19  284416
>>284415
Тебе чего по-проще или по-интересней? Детали из магазина или с помойки?
Аноним 22/05/17 Пнд 07:05:49  284418
Подскажите какая температура образуется при мощности рассеивания в 1 Ватт? Например 20 Вт мощность рассеивания для микросхемы, это сколько тепла она выделит в градусах цельсия?
Аноним 22/05/17 Пнд 07:44:28  284420
>>284418
Тепло в других попугаях меряется, школьник. Съеби.
Аноним 22/05/17 Пнд 07:47:03  284421
>>284420
Зачем ты сидишь в ньюфаг треде если не отвечаешь нормально и просишь всех съебать долбаеб?
Аноним 22/05/17 Пнд 07:52:46  284422
>>284421
Потому что пошёл нахуй, вот почему. Пиздуй троллить б, дурачок. Сколько тепла тебе в школьном учебнике умные дяди написали. Если ты этим не интересовался, то нехуй тут срать тупой бредятиной.
Аноним 22/05/17 Пнд 07:55:05  284423
>>284422
Хуя какая злая пидорашка. В жизни у тебя видимо все круто.
вопрос по прежнему актуален
Аноним 22/05/17 Пнд 08:02:13  284424
>>284423
>>284418
Это все потому что ты прогуливал в школе физику.
У микросхемы присутствует теплообмен с окружающей средой, интенсивность которого зависит от типа корпуса, разности температур и других факторов.
Аноним 22/05/17 Пнд 08:02:33  284425
>>284423
> пидорашка
Обосрался школьник.
> вопрос
Где вопрос? Ты задал вопрос? Честно? Ньюфажеский по радиотехнике?
Аноним 22/05/17 Пнд 08:04:58  284426
>>284424
Если подавать напряжение на схему то она разве не будет рассеивать тепло? Греться же точно должна
Аноним 22/05/17 Пнд 08:06:35  284427
>>284424
Я просто хуею с унылости троллей. Тут есть один шизик. Тот хотя бы доставляет иногда. А этот школотрололо даже теплоту с температурой путает, а уже усатых дядек троллить собрался.
Аноним 22/05/17 Пнд 08:12:27  284428
>>284426
Блядь. Ну вот например ты насрал в метро. Твоя куча говна воняет. Долго. Количество вони которое оно выдаст есть по аналогии теплота. А вонь в данный момент будет температурой. Но то что ты насрал работникам метро не понравится, и они включают вентиляцию, по аналогии теплоотвод. Твоя вонь становится меньше и быстрее выветривается. Но продолжает вонять потому что её много. Теперь пиздуй читать учебник понятия теплота и температура. И придумай не такую унылую тролололинг спрашивалку, пионэр.
Аноним 22/05/17 Пнд 08:25:25  284429
>>284428
Теплота то какая будет идти от говна? Как узнать?
Аноним 22/05/17 Пнд 08:33:08  284430
>>284429
Воткнуть градусник и засечь время, и просуммировать показания за определённое время. А вот в каких попугаях считают теплоту ты будешь удивлён. Так что скорее пионэр открывай эту замечательную книгу "Учебник по физике для 6-го класса". Ты найдешь в ней множество невероятных и удивительных историй. Ты будешь визжать как шлюшка от просветления!
Аноним 22/05/17 Пнд 08:37:04  284431
>>284430
>Воткнуть градусник и засечь время, и просуммировать показания за определённое время
Блять, я не хочу сжечь микросхему. Мне надо без опыта посчитать до подключения на бумажке нормально будет работать или нет
Аноним 22/05/17 Пнд 08:42:07  284433
>>284431
> Мне надо без опыта посчитать
Что именно ты посчитать собрался пусичька? Ты вопросики то задавай по существу заинька. А то непонятненько нахуясики ты всё так утипусично перепутасики. Давай расказывай пусичка.
Аноним 22/05/17 Пнд 09:19:15  284437
>>284433
запили сиськи
Аноним 22/05/17 Пнд 09:21:08  284438
>>284431
приебень радиатор побольше и не еби мазги, для 1 вата за глаза хватает 10см квадрат
Аноним 22/05/17 Пнд 09:21:34  284439
>>284437
Пиздуй в б.
Аноним 22/05/17 Пнд 09:23:06  284440
>>284438
Я бы поржал когда он обнаружит что для расчета тепловой мощности рассеяния используют интеграл.
Аноним 22/05/17 Пнд 09:28:27  284441
>>284440
ога а для принудительного еще и газодинамику...
Аноним 22/05/17 Пнд 09:31:23  284442
>>284440
Я больше ржу с ебеня который повышает чсв выебываясь на ньюфагов в ньюфаг треде фейспалм
Аноним 22/05/17 Пнд 09:32:12  284443
>>284441
Такие дела! Пили кулстори, чё ты там на бумашке считать собрался. И что собираешь.
Аноним 22/05/17 Пнд 09:33:57  284444
>>284442
Если бы ньюфаг. Походу он даже не брал в руки ни одной слепленой собственоручно махарайки.
Аноним 22/05/17 Пнд 09:36:25  284445
>>284444
То есть под определение ньюфага совсем начинающие не попадают?
Аноним 22/05/17 Пнд 09:39:41  284446
715-13.jpg (234Кб, 1280x960)
Эй, анон!
Мне тут перепало пара лазерных принтеров в убитом состоянии.
Из них ламинатор можно сгородить? Делал кто?
Аноним 22/05/17 Пнд 09:42:47  284447
>>284445
То есть. Берешь схему. По ней пояеш. Нихуя не работиаит.
Прибегает сюда. Отвечает. Я пояю мохорайку но она ниработиат! Вот токое йоба ахуй устройство. Нибейти обоссыти. Это ньюфаг.

А если оно прибегает и, вот вы усатые быстрамнеблять возимите количество теплоты и переведите мне её фтимпиратуру, вынихуянизнаити всё врёти, типлату мне градусник показывает. То это школотролль.
Аноним 22/05/17 Пнд 09:44:21  284448
>>284446
Можно. Но ебли дохуя.
Аноним 22/05/17 Пнд 10:03:18  284449
>>284418
У меня машина 101 л.с., сколько в километрах она едет?
Аноним 22/05/17 Пнд 10:08:18  284450
>>284449
под горку?
Аноним 22/05/17 Пнд 11:47:35  284453
>>284351
>Отрезал от "колечка для ключей" кусок стальной залупы, и сделал невероятно красивое решение с двумя блямбами олова.
Ох, блять.
Аноним 22/05/17 Пнд 11:49:19  284454
>>284362
Жесткий диск, если не ссд, после снятия питания парковал головку в аварийном режиме, чуток его ресурс снизился. Лучше купи новый, чтобы не думать.
Аноним 22/05/17 Пнд 11:50:15  284455
HTB1RVYyOFXXXXX[...].jpg (73Кб, 800x800)
HTB1UJW4OFXXXXb[...].jpg (74Кб, 792x792)
Как будет себя вести эта йоба если на входе будет меньше 4.5? https://www.aliexpress.com/item/5PCS-XM1584-Ultra-small-size-DC-DC-step-down-power-supply-module-3A-adjustable-step-down/32531438467.html

Отдаст на выходе сколько есть, или не включится?

Хочу ей батарейки до 3В выравнивать, а с номинальным входным меньше не нашёл.
Аноним 22/05/17 Пнд 11:55:34  284456
Y3HUb8tnoBw.jpg (116Кб, 654x695)
>>280133 (OP)
Добрый день, сегодня принесли компьютер с неисправной материнской платой пробиты фазы питания. Но эту проблему я устранил, я не могу разобраться в другом: корпус — игровое ведро с боковым окном, на котором заметна сеть неглубоких царапин и клиент попросил меня избавиться от них. Подскажите способы, спасибо.
Аноним 22/05/17 Пнд 12:02:49  284457
>>284455
Не включится.
Аноним 22/05/17 Пнд 12:04:28  284458
>>284454
бред сивой кабылы
Аноним 22/05/17 Пнд 12:06:45  284459
>>284456
к рихтовщику на автосервис, ну или можеш гоей попытаца затереть
Аноним 22/05/17 Пнд 12:12:41  284460
>>284459
>рихтовщику
>стекло
Чтобы он его добил?
Аноним 22/05/17 Пнд 12:20:59  284461
>>284460
это не стекло а орг стекло элементарно полируеца, прикались шаз у всех авто младше 10 лет фары пластиковые
Аноним 22/05/17 Пнд 12:38:49  284462
>>284455
Выходное напряжение будет ниже чем надо.
Аноним 22/05/17 Пнд 14:04:24  284465
>>284458
Доказать можешь или дырявый?
Аноним 22/05/17 Пнд 15:08:15  284468
Пояснить по харчкору, нахуй заземляющий проводник такого же сечения, а не поменьше?
Аноним 22/05/17 Пнд 15:26:19  284470
>>284399
А нет ли для таких целей специальных коннекторов типа PCI?
Аноним 22/05/17 Пнд 15:45:49  284473
>>284468
Чтобы больше электрончиков пролезло.
Аноним 22/05/17 Пнд 16:09:51  284475
>>284465
гомопидорам в принципе ничего не доказываю
Аноним 22/05/17 Пнд 16:12:14  284476
>>284468
по определению должен быть больше подводящего в полтора 2 раза, чтобы если даже наебнеца автомат и несработает отожгет подвод и установка обесточица
Аноним 22/05/17 Пнд 16:15:56  284477
>>284465
Не дырявый, а с отверстием.
Аноним 22/05/17 Пнд 17:23:23  284482
>>284475
Не желаешь общаться с себе подобными?
Аноним 22/05/17 Пнд 17:43:38  284485
MLm-df5pMGo.jpg (102Кб, 585x1040)
>>284374
А можно по продробне? Пожалуйста. Вот именно моя схемка. Усилительный каскад пнп транзисторе с общим коллектором.
Аноним 22/05/17 Пнд 18:02:44  284487
>>284485
Стрелка же нарисована плюс внизу минус вверху
Аноним 22/05/17 Пнд 18:06:51  284489
>>283596
охуеть, это что, бамп ? да, это он
Аноним 22/05/17 Пнд 19:05:48  284492
>>284408
Есть транс под столом сейчас у меня лежит, если интересно могу даже зафотать 100 ватт всего правда учитывая что он еще с советских времен то из него и все 300 выжать можно будет. Но к нему нужно всякие защиты делать, плату разводить и травить, охлаждение для транзисторов городить под это все дело, потом обязательно еще окажется что где-то проебался. Нах надо. Если можно купить на али БП и намного довести до ума?
Пока БП идет кинул 2 метра провод прямиком в системник, 12 вольт всего правда, зато токи очень хорошие. Единственное что если в защиту уходит то комп вырубается. Надо будет какой-нибудь выключатель повесить на него.

Пытаюсь сейчас собрать громкий ионофон на 555 таймере, экспериментальным образом было установлено что трансформатор лучше всего ТДКС с намотанным хотя намотанным это громко сказано - 2 витка всего на него многожильным проводом с диаметром жилы 2,5 мм самый толстый который был в магазине и силовым транзистором irfz44 - играет громко, дуга доходит до 30мм, перепробовал кучу других - играет куда хуже, хорошо играют еще irf644, но они горят как нехуй делать. Планирую транзистор засунуть в масло ибо радиатор греется пизедец как, а активное охлаждение шумное и вообще, какое масло для такого лучше всего использовать моторное или подсолнечное?
Аноним 22/05/17 Пнд 19:07:45  284493
Анонас, что посоветуешь почитать по поводу УНЧ? Чтоб с азов и до практивеских схем.
Аноним 22/05/17 Пнд 19:18:18  284494
>>284493
К выходу 555 таймера в режиме нестабильного мультивибратора динамик через 100нф конденсатор присобачь и будет тебе усилок.
Ну или можешь усилок на 1 транзисторе сделать - схем полно, мощность, правда, оставляет желать лучшего, да и КПД всего 40% ибо класс А.
Если нужно чтобы было бюджетно и ОРАЛО то делай на таймере через мощный полевик.
Ну или можешь заказать кит-набор на али.
Аноним 22/05/17 Пнд 19:28:00  284495
>>284492
>с диаметром жилы 2,5 мм
А какой профит, если почти весь ток в поверхностном слое толщиной 0.2мм?
Аноним 22/05/17 Пнд 19:35:26  284496
>>284494
Ты не понял. Я не хочу собрать один усилитель. Я хочу разобраться, как оно вообре работает и потом городить схемы самому, а не копировать чужое с интернетов.
Аноним 22/05/17 Пнд 19:47:35  284497
>>284495
Профит в том что у многопроволочной жилы куда выше индуктивность чем у однопроволочной соответственно и токоотдача.
Аноним 22/05/17 Пнд 19:52:04  284498
>>284496
Это долго объяснять, мне лень. Единственное что скажу что в 21 веке усилители бывают 2-х видов Ламповые и Класса D. Все остальные либо хуево усиливают, либо сигнал из них выходит с сильными искажениями, да еще и прожорливые одни довольно особенно класс А.
Аноним 22/05/17 Пнд 19:53:18  284499
>>284498
Я не просил тебя объяснять :) я спросил про книгу, где написано как оно вообще
Аноним 22/05/17 Пнд 19:57:08  284500
>>284499
"Электроника Шаг за Шагом", еще на радиокоте и ему подобных сайтах статей на эту тему полно. А еще есть гугл.
Аноним 22/05/17 Пнд 20:22:25  284501
>>284476
Т.е. Пожары приоритетнее ударов током о корпус?

>>284473
Чем в че? чем в анусЯ что, спросил зачем провода толстые?
Аноним 22/05/17 Пнд 21:03:43  284506
>>284501
Чтобы если заземление нуля на подстанции отвалится небыло пожара недостаточной пропускной способности провода. Это конечно при условии что заземляющий провод подключен к земле, что встречается не очень то и часто.
Аноним 22/05/17 Пнд 21:30:40  284508
14662607823170.jpg (44Кб, 1280x720)
>>284497
какой только хуйни тут не прочитаешь
Аноним 22/05/17 Пнд 21:59:42  284512
>>284506
Я тебя не понял. Будто ты несвязную хуйню написал.
Один сказал ты?, что сечение PE надо больше, типа если фаза упадет на корпус, а автомат не сработает, то фаза отгорит из-за меньшего сечения. И тут я про пожар пощутил. Честно говоря не знаю, что будет, если отвалится N и при этом не сработает автомат, ибо я нуфаг. Но мне кажется, в таком случае нихуя отгорать не будет.
А ты что сказать хотел?
Аноним 22/05/17 Пнд 22:09:00  284513
>>284512
Есть отвалится земля нуля то на корпусе твоей пекарни, холодильника, микроволновки и т.д. появится фазовое напряжение. Чтобы этого не произошло и нужен заземляющий провод. Автомат же выбьет только в том случае если где-то возникнет КЗ, например ты захочешь вытереть рукой корпус своего системника от сантиметрового слоя пыли, вот тогда да, автомат выбьет, а тебя ебанет током.
Аноним 22/05/17 Пнд 22:11:18  284514
>>284508
Просто ради эксперимента сравни тестером показания индуктивности многожильного провода и одножильного - увидишь что они существенно отличаются.
Аноним 22/05/17 Пнд 22:50:33  284519
>>284514
Я хуй знает вообще что ты имеешь в виду под "многожильным проводом", литцендрат или просто обычный мягкий провод.

Аноним 22/05/17 Пнд 23:56:36  284527
pv3-pugv-white-[...].jpg (25Кб, 600x600)
>>284519
Блин, многопроволочный конечно же, вечно их путаю.
Как на пике короче.
Аноним 23/05/17 Втр 00:15:49  284531
GALAXY-S8050-pi[...].jpg (6Кб, 201x266)
irf3205-1[1].png (5Кб, 150x262)
У н-п-н транзисторов на схемах стрелка рисуется наружу, как бы по направлению тока, если считать что ток течёт от + к -.
Почему же у н-канальных полевиков стрелку рисуют вовнутрь?
Аноним 23/05/17 Втр 01:03:28  284535
Фото0128.jpg (717Кб, 2048x1536)
Фото0132.jpg (1060Кб, 2048x1536)
Фото0130.jpg (935Кб, 2048x1536)
Фото0131.jpg (856Кб, 2048x1536)
Помогите опознать что это.
Аноним 23/05/17 Втр 01:04:23  284536
img.jpg (475Кб, 2200x1350)
Антоши, у меня случились пиздарики с усилителем, Усилок гибридный ламповый пред, а остольное на транзисторах.
Сначала он самовозбуждался в высокочастотном диапозозне, а сейчас он нахуй перестал работать. В усилке стоит задержа подачи питания накала на лампы, она по виду тоже дохла. Вот схема, что с эим говном делать незнаю. Даже незнаю как начинать тестировать, с чего начинать прозванивать мультиметром?
Вот схема, тольк у меня еще отдельный выход от ламп до наушников.
Аноним 23/05/17 Втр 01:33:48  284537
>>280133 (OP)
Анон, как понять, хватит ли 300мА блока питания на светодиодную ленту из 39 светодиодов (по 3 шт последователно, такие кусочки друг к другу параллельно, дешман с радиорынка у Ашота, кушают ~10-12 вольт) или надо брать 500мА? Что будет, если тока чуть больше/меньше, чем полностью надо? Сгорит/не включится? Насколько это вообще критично?
Аноним 23/05/17 Втр 02:07:27  284540
>>284537
Это сложное дело по сути, если ты проебал спеки или их не было.
Тебе понадобится мегаомметр, попробуй купить Б/У какой-нибудь на авито, и аккуратненько замерить сопротивление всей гирлянды. Затем по закону ома рассчитать силу тока!
Но осторожно, им можно выпилиться. Видел когда-нибудь девайс с ручной динамо-машиной, которым пытают заключенных в фильмах? Это он и есть!
Аноним 23/05/17 Втр 02:11:53  284542
>>284540
> аккуратненько замерить сопротивление всей гирлянды. Затем по закону ома рассчитать силу тока!
Вот, блять, отправил пост и через 15 минут об этом подумал.
Мультиметр есть у бати, это не проблема. Завтра попробую
> Но осторожно, им можно выпилиться. Видел когда-нибудь девайс с ручной динамо-машиной, которым пытают заключенных в фильмах? Это он и есть!
Не понял, о чем ты? Какой нахуй выпилиться? Первый раз слышу
Аноним 23/05/17 Втр 02:18:37  284543
>>284542
Обычный дерьмовый мультиметр даже один светодиод не осиливает, а ты собрался гирлянду мерять. Не пойдет. Ему просто не хватит напруги и он покажет неправильное значения.
Нужен МЕГАомметр. Понимаешь?
Аноним 23/05/17 Втр 03:21:55  284544
>>284535
ИК-барьер.
Аноним 23/05/17 Втр 10:03:18  284550
Как найти банальные провода для монтажа (кнопку там и тд припаивать)?
https://www.chipdip.ru/catalog/wires-and-cables
Или нужно тупо брать кабель обычный и раздирать его?
Аноним 23/05/17 Втр 10:09:31  284551
>>284550
Хз, я спиздил с работы 400 метров МГТФ и мне норм
Аноним 23/05/17 Втр 10:14:04  284552
Блеа, аноны, поискал по треду и такое чувство, что кроме ЧипДипа в ДС2 ничего нету. Походу придется банальные microUSB-папки на али заказывать
Аноним 23/05/17 Втр 10:14:28  284553
>>284537
на ленте должно быть указанно сколько ана потребляет ват на метр.
дальше канкулятр в зубы и считай.
Аноним 23/05/17 Втр 10:27:42  284554
>>284494
>К выходу 555 таймера в режиме нестабильного мультивибратора динамик через 100нф конденсатор присобачь и будет тебе усилок.
Моар, как искать описание и принцип работы. Это типа Е класса что-то получится?
Аноним 23/05/17 Втр 10:28:33  284555
>>284551
Ты это написал, чтобы похвастаться? Зависть, я его покупаю по 20-50 руб/м
Аноним 23/05/17 Втр 10:49:18  284556
1495525752616.jpeg (1805Кб, 2616x1428)
>>284553
Авотхуй. Я бы не спрашивал, если бы была какая-то спецификация (ага к ленте с рынка за 150 деревянных) или обозначения на ней самой
Аноним 23/05/17 Втр 11:16:35  284557
>>284556
обозначения не наней самой, а на упаковке кретин и эту хуйню над спрашивать при покупке...
как вариант подключи к кампухтерной шине +12 вольт и замеряй ампераж
Подскажите протокол для умного дома Аноним 23/05/17 Втр 11:30:49  284561
14955033569930.jpg (161Кб, 810x1080)
Нужно чтобы он мог делать такое:

Например, зажигаем свет. Выключатель генерирует сообщения в общую сеть, "электролампочка" их понимает, но ждёт немного сначала ответа от контроллера. Если ответа нет (контроллер сдох) то лампочка просто реагирует на выключатель включаясь или выключаясь. А если на запрос выключателя ответил контроллер, то лампочка делает то, что в ответе сказал ей сделать контроллер.

Есть такой протокол?
Аноним 23/05/17 Втр 11:32:15  284562
>>284561
бери UDP
Аноним 23/05/17 Втр 11:42:08  284564
>>284555
Хуле так дорого то?
Аноним 23/05/17 Втр 11:43:13  284565
>>284555
https://www.chipdip.ru/product/mgtf-0.12
Я вот такого напиздил. Охуеть, действительно дорого.
Аноним 23/05/17 Втр 11:58:58  284566
>>284562
Мне нужен попроще, UDP подразумевает много первоначальных настроек.
Аноним 23/05/17 Втр 12:19:45  284567
000841.jpg (79Кб, 800x612)
Не знаете случайно, кто производит такие розетки?
Аноним 23/05/17 Втр 12:27:33  284568
>>284566
>попроще
TCP
Аноним 23/05/17 Втр 14:42:10  284576
>>284564
>>284565
Продает монополист в городе, да и город небольшой.
Аноним 23/05/17 Втр 15:57:16  284581
>>284565
Они просто за него хотят дохуя. Покупал 0.07 за 14 или 12, 0.14 за 9 рублей.
Аноним 23/05/17 Втр 16:30:41  284588
image.png (75Кб, 834x850)
Есть такой стул.
Кнопка 3дпт пока не дошла, хочу соединить напрямую, с питанием всё понятно, а вот с джеками и потанцеометрами не разберусь никак. И куда паять Землю джеков?
Аноним 23/05/17 Втр 16:36:19  284590
>>284343
Аноны дело говорят - у тебя там провод в лаковой изоляции. Без аспирина не пропаяешь. Провод на таблетку аспирина (не парацетамола, не анальгина, блядь, мы же не голову лечим) и каплей припоя по нему водишь. Тым не занюхивай, проветривай сразу, ибо Вони.
Аноним 23/05/17 Втр 16:42:34  284591
>>283596
Куча онлайн магазинов типа ЧИП-НН и прочего хлама. На форумах тоже глянь - у дихальта, у кота, у схемнет, у скота - тыщи их
Аноним 23/05/17 Втр 16:44:52  284592
image.png (12Кб, 391x346)
>>284588
так что ли?
Аноним 23/05/17 Втр 16:45:49  284593
>>284537
считай по 5 - 10 МА на светодиод, не ошибёшься, если не сверхъяркие
Аноним 23/05/17 Втр 16:57:58  284595
14351.JPG (30Кб, 820x175)
Безымянный.png (24Кб, 1152x648)
>>280133 (OP)
Сап, ньюфаг ин зис трендж. Пик 1 - условие задачи. Пик 2 - моё решение. Правильно или хуйню написал?
Аноним 23/05/17 Втр 17:28:20  284597
Вопрос. Есть HTPC (пека), есть клава с полу-самодельной подсветкой. В темноте очень удобно, но постоянно забываю её выключать. Включается кнопкой на самой клаве.
Как можно сделать атоматическое отключение питания светодиодов через, 1 минуту, например, после включения?
Из потенциально полезного есть 50 штук NE555 и нахера я сколько купил? и большие транзисторы в корпусе TO-220.
Как можно такое сделать?
Аноним 23/05/17 Втр 17:40:10  284598
K5OmCat0kdo.jpg (88Кб, 600x887)
>>282453
Бамп
Аноним 23/05/17 Втр 17:41:49  284599
>>284592
Да
Аноним 23/05/17 Втр 17:45:13  284600
>>284333
бамп вопросу....
Аноним 23/05/17 Втр 18:19:54  284601
>>284536
С блока питания же. Электролиты проверь, прозвони мощные транзисторы, нагугли даташит на микруху и посмотри что там из нее выходит.
Аноним 23/05/17 Втр 18:32:44  284603
>>284588
оно таки работает, но только когда прикасаюсь к земле джеков, как фиксить? Что есть земля?
Аноним 23/05/17 Втр 18:33:45  284604
tesla34-9.png (13Кб, 500x368)
>>284554
Разве не класс Д?
Берешь в общем вот эту схему. Тr1 убираешь нахуй, на верхний вывод идущий на трансформатор ставишь конденсатор 100нф и резистор за ним, после резистора сразу динамик.
Только полевик используй либо irfz44, либо irf640, либо что-нибудь из маломощных если большая моща не нужна.
Комплементарную пару из двух биполярников можешь не ставить если твой усилок будет работать от напряжений до 16 вольт.
Учти правда что это будет моно, если хочешь стерео то нужно ставить 2 таймера а лучше сразу купить 2 в одном корпусе.
R1 и R2 лучше поставь подстроечные на 10-20к.
Аноним 23/05/17 Втр 18:35:37  284605
>>284604
Можно вообще без полевика и биполярников напрямую делать, но учти что с выхода таймера больше 200мА не получить.
Аноним 23/05/17 Втр 18:58:08  284606
DSCF0674.jpg (871Кб, 1925x1100)
Ставил материнскую плату в корпус, со шляпки винтика отвертка чуть соскользнула и ткнулась носом в отмеченную область. Визуально все в идеале, все порты расположенные в той части платы работают без нареканий. Как еще убедиться что всё обошлось? За что вообще отвечают отмеченные компоненты? Помогите, пожалуйста
Аноним 23/05/17 Втр 18:58:47  284607
>>284595
бля, бампую, нужно до утра точно узнать, не проебался ли я
Аноним 23/05/17 Втр 19:01:35  284608
>>284606
не бойся, включай!
Аноним 23/05/17 Втр 19:02:09  284609
>>284607
В эври циркюите собери и проверь. Делов то.
Аноним 23/05/17 Втр 19:03:44  284610
>>284606
Там резисторы и конденсаторы, если ничего не отвалилось то все норм.
Аноним 23/05/17 Втр 19:06:15  284611
>>284604
Как-то странно на схеме нарисовано питание. -12В относительно чего?

>>284607
Не очень давно такую же или очень похожую задачу я решал тут одному анону, можешь поискать выше по треду.
Аноним 23/05/17 Втр 19:13:51  284612
tesla34-9.png (13Кб, 500x368)
>>284611
-12 вольт это земля, очевидно же. Кстати на схеме ошибка заметил еще когда разводил, но править на схеме было лень. Должно быть как на пике. Если будешь питать от <17 вольт то стабилизатор не нужен, вообще не понятно нахуя его сюда впихнули если схему планировали питать от 12 вольт.
А вот комплиментарную палу на всякий случай лучше поставить ибо микросхема может без нее греться.
Аноним 23/05/17 Втр 19:20:11  284613
>>284608
>>284610

Вытащил плату из умершего китайского моноблока, нашел там такие же элементы, ради интереса попробовал их поковырять и должен сказать что их и нарочно то оторвать не просто, а у меня и вовсе отвертка вскользь проехала с высоты 1см, думаю что всё ок должно быть.
Аноним 23/05/17 Втр 19:26:57  284614
>>284611
>>284607
Посмотрел тред и не нашел своего решения, поэтому посчитал заново. Да, все верно но непонятно что там имеется в виду под КПД.
Если под полезной мощностью имеется в виду мощность, рассеиваемая на резисторах, то все верно. Если это схема обогревателя, то КПД 100% т.к. вся электроэнергия идет в тепло. Если эта схема кроме тепла должна вырабатывать что-то еще, то КПД 0.

>>284612
Обычно пишут напряжения относительно какой-то точки. С этой точки зрения у этой схемы нарисовано питание 24В.
Аноним 23/05/17 Втр 19:48:33  284617
>>284564
мгтф никогда дешевизной не отличался, в основном шел на военные нужды а там экономить не привыкли, в свое время кагда выбивали нашу дивизию выдернул жгут толщиной с руку гдето метра полтора в длину досих пор пользуюсь...
там этих шкафов стоял целый ряд...
был малой и не понимал сколько ништяков проебываю, помню долбили магнитники набрал полные карманы контактов домой пришел накалупал 2 киндер яйца самих контактов, досих пор блядж найти не могу( а там я так думаю иридия не жалели...
кстати впрактически все девяностые жили на этом оборудовании начиная от танталовых кондюков и заканчивая кабелями медными...
люминь тагда вообще нахуй никаму не нужен был...
помни с предком поехали за керамзитом на одну из площадок я грю свинец надо?
он да ну где ты его вазьмеш
подхожу к костравишу и тыкаю палкой, он стоит ржот откуда типа тут свинец)))
я золу разгреб с одного края подкопал и палку сантиметра 3-4 подсовываю под ляпку пытаюсь приподнять х наны еле как отодрал ее от земли там килограм под 100 а то и больше было... палка к хуям сломалась...
золотое время зная коны озолатица можно было...
и не тупо сдавать за бесценок а прикапывать...
но хуля мы малолетки унесеш разли такую ляпку???
помню в лесу около балота целую литейку устроили, нашли какуето крышку х проссыш от чего в донышке у нее трубка с палец, на кирпечи под низ дрова в эту крышку куски свинца какраз от таких лепиндеек...
лили в обычную стальную миску, за вечер после школы мы килограмм 200 переплавили если не больше, повезли барыге на приемку, а тот пидар гнойный говарит все свинец больше не беру, мы и стоим такие блядж куда нах его девать??? повезли в парке заныкаем не провезли и полу километра на тележке ось к хуям лопнула, та тележка на колесиках от моттороллера тулица была...
выкинули нахуй все в канаву...
золотое время....
Аноним 23/05/17 Втр 19:51:05  284618
>>284595
как вы уже заебали своей электротехникой...
сцука еще в институте все подмывало запилить програмулину...
так руки и не дошли...
Аноним 23/05/17 Втр 19:53:35  284619
>>284597
ну и??? ты потролить решил? типа запилите мне схемку минутного таймера на 555?
Аноним 23/05/17 Втр 19:54:15  284620
>>284618
Это задачу по физике дали, именно электротехники у меня нет.
Аноним 23/05/17 Втр 20:16:51  284624
001.JPG (37Кб, 838x371)
002.JPG (83Кб, 835x621)
003.JPG (39Кб, 825x553)
004.JPG (43Кб, 739x592)
>>282453
общая мощность трансформатора 40 ват тупица, а лучше 50.
а кандюки на каждое плечо по 4.7к ...
и вообще блядж на дворе 2017 непрощи ли юзать автомобильные УМЗЧ?
например как шизик? напиках мое творение лет ему будет поболя чем...
и чего только он не пережил...
есть моменты меня еще тагда не удовлетворяющие, но надежность его просто не описуемая, ебать он пережил 2 путешествия первое за 500 км туда обратно правда в багажнике тойоты, второе на скутере на дачу полтора года пылился там ...
я нескажу что там сверх звук, но на 25 гдш качал на даче так, что ажно сасед залез камне на второй этаж без лестницы и попрасил сделать потише...
я в уматину там валялся...
каму интересно будет опишу конструкцию
Аноним 23/05/17 Втр 20:18:18  284625
>>284603
в гугль тупица
земля она же средняя точка
Аноним 23/05/17 Втр 20:21:41  284627
>>284593
А есть какая-то верхняя планка вообще? Если я светодиод запитаю от 2-Амперного телефонного зарядника, он сгорит или будет потреблять ровно столько, сколько ему надо?
Да, я не очень шарю в электрических цепях. Вот если напряжение слишком большое, я знаю, что он может сгореть, а по поводу силы тока хз
Аноним 23/05/17 Втр 20:26:27  284628
>>284604
я вот одного не пойму нахуя там 2 транзюка первый и второй?
с 555 должно же выходить подтягивание к обоим полюсам, а полевик на то и полевик чтобы не жрать ахуевшие токи базы?
прошу не обсывать в 555 схеме дуб дубом, нигде ее не юзаю, а если вдруг надо отдельный мультивибратор (ебать как теперь сексуально теперь среди анимешнигов это звучит) применяю старую схему на ла3 или ла7? карочи на ине логике....
Аноним 23/05/17 Втр 20:43:28  284629
>>284606
лупу залупу в зубы крятин тупой экономящий на битах и выясняй что ты там снес...
сцука сколько можно повторять ИСПРАВНЫЙ ИНСТРУМЕНТ залог успеха.
вполне вероятно снес токоограничительные резисторы того порта что под цифрой1410

мой тебе совет.
если занялся компухтерной сборкой пойди на рынок и купи длинную отвертку сантиметров 40 с ахуительной удобной ручкой которая нравица именно тебе. тамже купи набор бит для шуруповерта в ящичках такие продают чем больше их там будет тем заебись.
если сам не можеш в сварку пойди в любую рихтовочную мастерскую там где есть полу автомат и болгарка.
купи хорошего пива.
найди сварного дай ему эту отвертку и скажи привари мне на нее ответную часть (должна идти в наборе с битами)
дома перед тем как идти к сварному желательно выбить шток и магнитик...
магнитик можно потом от уебанного винта туда присобачить...
я такюя хуету запилил на второй месяц сам после сборки кампов - кстати как и ты заебали соскальзывания в сраку еёбаной отверки...
одну мамку запорол но повезло я там снес кандючек и пару резючков пациент досихпор жив уже 13 год работает...
и вообще маня ты не по адресу, тут липиздронщики а не механики и уж тебмболее сборщики...
Аноним 23/05/17 Втр 20:48:24  284630
>>284601
как раз в микрухах я вообще, то слова нихуя не разбираюсь.
Аноним 23/05/17 Втр 20:52:15  284631
>>284620
нассы своему преподу на ебало это раздел злектрики.
физика блядж у них...
электроны это савершенно другой раздел физики согласен...
но есть много ответвлений например физика заряженых частиц - это какраз твое, а есть физика деформации ту тчистая механика и теплотехника до кучи кстати порой и заряженных частиц... или таже газо динамика...
одно дело считать и совершенно другое дело понимать обшую структуру процесса...
в твоем случае достаточно подойти к преподу и пояснить здесь ток течет сюда тут он протекает так в общем плане произойдет то то и тото все пиздец...
но программулину по пасивным сапративлениям запили формулы ты помниш ...
Аноним 23/05/17 Втр 21:39:22  284634
>>284619
Я типа спрашиваю как проще сделать?
Я ещё придумал - при нажатии на кнопку заряжать конденсатор, который присоеденён к базе транзистора. Он будет плавно разряжаться и подсветка погаснет.
Это проще. Правда не знаю сработает ли.
Аноним 23/05/17 Втр 22:11:23  284637
В своей схеме юзаю таймер ne555, подождите обоссывать. Использую её как триггер Шмитта, выдаёт управляющий сигнал если питание заходит через пороги.
Проблема в том что питание таймера может отключаться, из-за этого микросхема начинает греться и через неё текут какие-то дикие токи, хорошо что у меня источник с ограничением по току.
Я так понимаю, как раз через 2, 6 ноги начинает течь этот большой ток, видимо особенность таймера. Какую защиту можно сюда придумать?
Аноним 23/05/17 Втр 22:56:46  284642
>>284625
В кроне нет средней точки => кидать на минус, но там такая залупа, шо по корпусу идет +
Аноним 23/05/17 Втр 23:02:45  284644
Ребятки, подскажите, как можно уменьшить нарастающий фронт затвора транзистора? Полный заряд затвора 180-270нКл по дш, использую гдт 13:13 витков, драйвер 6-амперный, затворный резистор 5ом. Фронт 250 нс и это меня не устраивает, нужно в пределах 150нс. Возможно материал феррита гдт хуевый?
Аноним 23/05/17 Втр 23:50:37  284648
>>284644
Емкость GS Какая и напряжение управления?
Аноним 23/05/17 Втр 23:56:00  284651
>>284614
>Обычно пишут напряжения относительно какой-то точки. С этой точки зрения у этой схемы нарисовано питание 24В.
Это просто обозначили так чтобы у ньфагов не возникало вопроса "а куда минус подключать?". Впрочем, схему можно питать и от 24, и от 35 вольт, главное элементную базу правильно подобрать.
>>284628
Транзюки это комплиментарная пара - не дают течь через микросхему большим токам, ну и защита микросхемы в случае если полевик провьет я пока свой ионофон настроил 5 полевиков спалил Короче если по простому - без них микросхема будет греться, при том неслабо так.
Аноним 24/05/17 Срд 00:21:41  284653
01.gif (10Кб, 500x389)
>>284597
Сука, какая эта всякая электроника сложная и нестабильная.
Собрал как на схеме, резистор 1 миллион ом, конденсатор 4.7uF
И ещё 2ю ногу подтянул к питанию, а то от прикосновения пальца зажигается.
Вот вам 10 попыток:

Замыкаю очень быстро 2ю ногу на землю:
Лампочка, привязанная к OUTPUT загорается на миллисекунду. Столько же, сколько была замкнута нога на землю - 6 РАЗ
Лампочка горит пару секунд, КАК И ДОЛЖНА - 4 раза

Замыкаю 2ю ногу на землю на пол секунды, будто кнопку нажимаю:
Лампочка, привязанная к OUTPUT загорается на миллисекунду. Столько же, сколько была замкнута нога на землю - 6 РАЗ
Лампочка горит пару секунд, КАК И ДОЛЖНА - 4 раза

Замыкаю 2ю ногу на землю на 2 секунды:
Лампочка, привязанная к OUTPUT загорается на миллисекунду. Столько же, сколько была замкнута нога на землю - 5 РАЗ
Лампочка горит пару секунд, КАК И ДОЛЖНА - 5 раз

Странно. Я думал время замыкания на что-то влияет. Значит не влияет.

И ещё мне кажется время не стабильно. И даже у мужика этого не стабильно https://youtu.be/nZVMMuHVOJ8?t=1m9s
На 1:09 лампочка горит 3 секунды вместо 6, которые она горит в остальное время.
И это я уже не говорю о том, как я пытался время увеличить, подбирая резисторы и конденсаторы. Там вообще какой-то хаос начинается.

ЧЯДНТ?
Аноним 24/05/17 Срд 00:28:04  284654
>>284653
Да. Время замыкания ни на что не влияет. Таймеру достаточно импульса, после этого он ни на что на inpute не будет реагировать пока не пройдет определенный промежуток времени.
Насчет нестабильности - где-то косяк, нестабильность начинает проявляться на куда больших интервалах - 15 мин и более. Тут все должно быть точно, вполне возможно что дело в керамических кондерах - не пожлобись и поставь пленку.
Аноним 24/05/17 Срд 00:46:05  284655
>>284648
4нФ, 15в
Аноним 24/05/17 Срд 01:11:29  284657
>>284627
Не сгорит, там резисторы стоят (ты же про ленту говоришь) - резисторы ему ток ограничат.
Аноним 24/05/17 Срд 01:13:33  284658
>>284637
Ну же, братишки.
Аноним 24/05/17 Срд 01:27:40  284660
>>284655
Посчитай ток который должен зарядить эту ёмкость за эти наносекунды.
Аноним 24/05/17 Срд 03:28:48  284662
ne555.jpg (369Кб, 1527x910)
>>284654
>>284653
Это всё из-за макетки было. Провода какие-то плохо держались.
Спаял на плате, работает. Горжусь собой.
Аноним 24/05/17 Срд 05:08:14  284664
>>284662
У меня новая проблема.
Мне надо 3.3В 300мА.
NE555 выдаёт 4.7 и до 200мА
Питание 5.1В
LM1117-3.3 (которым я хочу получить 3.3В) требует 4,65В на входе.
Пытаюсь выходом NE555 открыть транзистор, но транзисторы выдают ниже 4.65В при входном 5.1В.
Как имея всё это получить 3.3В 300мА?
Аноним 24/05/17 Срд 05:17:08  284665
>>284664
Кстати самый большой транзистор из 5.1В делает 3.6В, а светодиоды горят при 3.4В. Убрать бы 0.3В но нечем. Да и будет зависеть от питания. А это USB а это по википедии 4,75В-5,25В
Аноним 24/05/17 Срд 05:32:21  284666
>>284665
В прииинципе у меня есть boost up модули. Можно из 5 делать 9, подать на транзистор, и уже из этого делать нужные 3.3.
Если до вечера ничего умнее не придумаю, так и сделаю.
Аноним 24/05/17 Срд 09:04:27  284671
>>284634
>Я типа спрашиваю как проще сделать?
это вопрос или утверждение?
в русский письменный хотябы для начала научился, а потом бы лез на майлачи тролить усатых дядек
Аноним 24/05/17 Срд 09:10:42  284672
>>284627
я тебе уже сказал подключай к кампухтерному блоку питания сваю ленту меряй ампераж и считай хватит или нет.
Аноним 24/05/17 Срд 09:18:08  284673
>>284660
0,24A сейчас при 250нс фронте выходит. И это с моими то 6-амперными драйверами. Че делать? Я так понимаю вся проблема в большой индуктивности рассеяния гдт, которая дает такой долгий фронт?
Аноним 24/05/17 Срд 09:20:24  284674
>>284653
мегомный резюк дурная идея, особенно во всяких малоточных схемках...
ставь кондюк больше, резюк в районе 100ком.
и нагугли что такое регистры сдвиговые или теже счетчики...
карочи дурная идея пилить больше секунды таймер на мультивибраторах.
Аноним 24/05/17 Срд 11:10:21  284680
>>284674
Ну это если точность нужна, а если это например лампочка с детектором в прихожей то точность здесь играет последнюю роль.
Аноним 24/05/17 Срд 11:19:28  284682
image.png (284Кб, 600x577)
>>280133 (OP)
Радиач, созрела дурацкая идея - купить китайский защищенный телефон с рацией.
Есть модели одобренные аноном? Какие антенные разъемы стоят на этих поделиях? Можно ли раскрыть их на 2м?

Заранее спасибо.
Аноним 24/05/17 Срд 13:33:14  284690
>>284637
Бамп.
Аноним 24/05/17 Срд 13:41:16  284692
Chum.gif (13Кб, 646x496)
>>284637
Через 2 и 6 ноги не могут течь большие токи. Это входы компараторов. Возможно у тебя сгоревшая микросхема.
Аноним 24/05/17 Срд 15:45:11  284702
>>284692
Вот она и сгорает когда питание отключаешь, я на данный момент уже 3 спалил пока экспериментировал.
Сейчас на 2,6 ноги поставил резистор на пол килоома, чтобы этот большой ток ограничить, вроде норм.
Аноним 24/05/17 Срд 16:30:47  284703
Можно 100uF и 10uF заменить на керамические SMD 22uF и 10uF?
Большие в корпус не влезают.
Аноним 24/05/17 Срд 16:38:43  284705
>>284703
Можно.
Аноним 24/05/17 Срд 17:21:23  284706
>>284702
Ты что-то не так делаешь. У входов компараторов очень большое сопротивление, порядка мегаомов. Не может там быть больших токов.
Аноним 24/05/17 Срд 19:33:32  284712
>>284706
...при штатной работе.
Где-то слышал, что есть такие микросхемы которые не любят когда им на входы подают напряжения, а сами они не запитаны.

Если есть такой таймер, можешь сам попробовать повторить, только подавай от источника с большим током, чтобы с гарантией.
Аноним 24/05/17 Срд 19:56:59  284715
>>284637
>Проблема в том что питание таймера может отключаться
Так ты решишь эту проблему или так и будешь костыли выдумывать?
Аноним 24/05/17 Срд 20:15:17  284718
>>284715
Ну это даже не проблема, скорее особенность схемы.
У схемы как бы два питания, основное и дежурное. Когда дежурное, то лишние микросхемы лучше не питать, чтоб аккамул не разряжать. А основное подключается в параллель к дежурному.
Аноним 24/05/17 Срд 21:12:56  284724
>>284617
Шизик, иди нахуй.
Аноним 24/05/17 Срд 21:13:26  284725
>>284552
Микроника
ИТИС
Элтех
Аноним 24/05/17 Срд 21:23:15  284726
>>284712
Ну ёбана!
Что у тебя за схема такая мудаковатая? Включи 2 и 6 ноги после выключателя, а не до него.
Аноним 24/05/17 Срд 21:37:23  284727
>>284703
Можно вообще их не ставить, если БП нормальный.
Аноним 24/05/17 Срд 23:16:10  284733
>>284726
Ну там кароч не всё так проста.
Это типа схема определения запуска двигателя в машине. Если двигун запущен значит реле нужно замкнуть.
Я поначалу сделал определение уровня напряжения, когда двигун заглушен АКБ выдаёт примерно 12,5в, если хорошо заряжена, когда заведён - начинает крутиться генератор и он выдаёт примерно13-14,5.
Ну вот, для того чтобы 555-таймер мог различать эту разницу его нужно питать от какого-то независимого напряжения которое не плавает. А он ведь как? - сбрасывается когда напряжение больше 2/3 от питания и устанавливается когда 1/3, и если анализировать то напряжение от которого он запитан, то может ничего не получится, потому что эти пороги 1/3 и 2/3 тоже будут плавать вместе с питанием, потому то я и запитал его от кренки 10-вольтовой.
И тут начались чудеса, у меня на столе всё прекрасно работает, всё работает и на машине, если эмитировать запуск двигателя аккумуляторной зарядкой, ставил на ней 14,8в и типа как будто двигун заведён.
А вот когда запускаешь двиг по настоящему и бортсеть начинает питаться от генератора, то уже ничего не работает. Асцилопа у меня в гараже нет, только тестер, но вангую 555-таймер по какой-то причине уходит в генерацию, которую тестером не видно.
Подумав решил сделать по другому. Вывести сигнал с индикатора разряда АКБ, вот на нём когда двиг заглушен 2,5в, когда заведён - напряжение бортсети 13-14,5.

Таким образом на данный момент у меня таймер питается от цепи зажигания, а на 2, 6 ноги заведён этот сигнал с индикатора разрядки АКБ. Можно, конечно, так и оставить, но вдруг питание таймера оборвётся и наступит та ситуация что на пике >>284637 и таймер прикажет долго жить. Хотелось бы его как-то защитить.
Аноним 24/05/17 Срд 23:33:56  284735
34100.jpg (30Кб, 342x421)
Помогите разобраться.
Есть общее питание 5.1 вольта. От него питается NE555 и step up модуль.
Есть NE555 из которой выходит 4.5 вольта, резистором ограничил до 100мА.
Есть NPN транзистор TIP122 с пика. Он на 100 вольт, 5 ампер.
Есть step-up модуль, выдающий 7.6 вольт.
Подключаю к транзистору
Base = 4.5V 100mA от NE555
Collector = 7.6V от step up.
Emitter = 3 вольта и нихуя не работает. Дальше это должно идти в LM317 чтоб получить 3.3 вольта для светодиодов, но там около 1.5 и ничего не горит.
При этом если я поднимаю общее питание до 6.3 то тускло начинают светиться светодиоды (на emitter появляется примерно 4 вольта).
При этом когда я прикладываю щуп к базе (при 5.1 общем питании), всё начинает светиться тоже.

У этого транзистора какие-то особые требования к напряжению на base? Или почему так? Почему он ток пропускать через себя не хочет? И почему при прикладывании мультиметра что-то заставляет его дать больше тока?
Аноним 24/05/17 Срд 23:39:47  284736
>>284735
Ради интереса, замкнул базу транзистора через мультиметр на змелю, 71мА. Тока полно. А он не хочет открываться и пропускать 7.6 вольт через себя.
Аноним 25/05/17 Чтв 00:01:30  284738
>>284736
Есть у меня ещё транзисторы BC817 (45 V, 500 mA NPN general-purpose transistors), приложил поверх этого TIP122 - так же еле светит.
Есть ещё 2N2222, если на BC817 при 6 вольтах еле светит, то когда я прикладываю 2N2222 то всё сильно тускнеет.
Порядок ног соблюдаю. Базу на базу, коллектор на коллектор.
Я в замешательстве и ничего не понимаю.
Аноним 25/05/17 Чтв 00:15:42  284741
Кто-нибудь может объяснить принцип согласовыванного фильтра (коррелятора)?
Аноним 25/05/17 Чтв 00:21:44  284742
555circuit.gif (16Кб, 899x546)
>>284692
Вот схема. Только тразистор т2 коллектор и эммитер местами поменяли, ошибка.
Аноним 25/05/17 Чтв 02:38:04  284754
>>284741
Линейная фильтрация (свертка) и корреляция математически выглядят одинаково. По сути, на выходе линейного фильтра мы видим, как входной сигнал коррелирует с его обращенной импульсной характеристикой. Если взять фильтр с импульсной характеристикой, равной форме импульса входного сигнала (только обращенной задом наперед), то корреляция входного сигнала с ним и, соответственно, выходной сигнал, будет максимальной. А помехи рандомной формы будут плохо коррелировать и подавляться.
Аноним 25/05/17 Чтв 02:55:57  284755
>>284738
>>284736
>>284735
Взял перепаял, чтоб NE555 питалась от boost-up 7.6 вольт и всё заработало. Теперь она выдаёт больше напряжения на base транзистора и он счастлив.
Хотя в даташите я не нашел упоминание о том, что транзистор не будет работать если подать ниже Х вольт на base.
Аноним 25/05/17 Чтв 03:17:04  284756
>>284755
Если ты не нашел в даташите пороговое напряжение транзистора, значит, ты крайне хуёво читал даташит, инфа 146%.
Аноним 25/05/17 Чтв 09:20:52  284759
>>284644
bump
Аноним 25/05/17 Чтв 09:26:10  284761
Как посчитать количество возможных перемычек на плате?
Аноним 25/05/17 Чтв 10:59:29  284766
blob (134Кб, 300x304)
Ребята, какой можно купить хороший электретный микрофон (капсюль) и где? В интернетах всюду советуют panasonic WM-61, но, судя по неоднозначным отзывам на Али, в аутентичности приходится сильно сомневаться.
Аноним 25/05/17 Чтв 11:07:10  284767
123.jpg (82Кб, 633x648)
>>283417
нифига я не разобрался, не работает. Может кто нибудь в паинте хоть нарисовать, стереть лишнее, что куда паять, я хз.
Аноним 25/05/17 Чтв 11:27:15  284768
ыс.jpg (254Кб, 1724x776)
>>284767
Вот картинка, я стер диод и заменил кнопку, просто нарисуйте что куда цеплять. Я полный ноль пока в этом всем пока что, выручайте семпаи.
Аноним 25/05/17 Чтв 11:30:22  284769
фчыч.jpg (253Кб, 1724x776)
>>284768
вот так что ли?
Аноним 25/05/17 Чтв 12:59:35  284777
Есть звуковуха еси юлька, ловит помехи от видяхи (слот прям рядом) и хз ещё чего. Поможет ли убрать питание из слота и подвести внешнее и сложно ли это сделать? Или наводки легко проходят через сигнал или по воздуху от дросселей всяких?
Аноним 25/05/17 Чтв 21:13:12  284804
Ребята, привет. Не знал, куда написать, поэтому напишу сюда. Есть одна разрядная система, в которой разрядный электрод подключен ко вторичной обмотке повышающего трансформатора. На электрод идут импульсы и пачки импульсов с частотой 100 Гц. Амплитуда напряжения около 25-30 кВ. Вопрос: как снять амплитуду? По рассказам пробовали через делитель напряжения 1:1000, но вся мощность уходила на него и разряд не зажигался. Я довольно слаб в этой теме, поэтому почти ничего не могу найти. Насколько я понял, по рассказам, амплитуду удалось снять с помощью "петли связи индуктивным способом". Как мне объясняли потом, снимали чем-то вроде рамочной антенны, которая находилась вокруг провода, питающего электрод. Если кто-нибудь понимает, о чём речь, не могли бы вы помочь мне и объяснить, может подсказать какую-нибудь литературу, в которой такие методы измерений приводятся и конкретно и чётко объясняются?
Аноним 25/05/17 Чтв 21:29:51  284806
>>284804
>рамочной антенны, которая находилась вокруг провода, питающего электрод.
По описанию на трансформатор тока чем-то похоже.
Аноним 25/05/17 Чтв 21:32:11  284807
>>284806
Насколько я помню, речь шла о куске оголённого провода длинной не больше пяти сантиметров согнутого в кольцо и присоединённого к щупам (с делителем 1:10) осциллографа.
Аноним 26/05/17 Птн 00:42:16  284819
Есть где нибудь понятое изложение потенциальной помехоустойчивости по Котельникову?
Аноним 26/05/17 Птн 02:54:07  284821
>>284804
Делитель 200ГΩ-2МΩ. С 2МΩ снимаешь напряжение на мультиметр.
Аноним 26/05/17 Птн 03:00:46  284822
>>284821
>Делитель 200ГΩ-2МΩ. С 2МΩ снимаешь напряжение на мультиметр.
Записал.
А бесконтактно это как-нибудь можно сделать?
Аноним 26/05/17 Птн 03:51:05  284824
>>284822
В каком смысле бесконтактно? Что ты называешь безконтактным? Кстати резистор на двести гигов должен быть высоковольтным.
Аноним 26/05/17 Птн 04:36:20  284825
>>284824
Чтoбы былa гaльваническая рaзвязка, кaк здeсь:
goo.gl/uLQ86N
Чтoбы кaк мoжно мeньше мoщности рaзрядных импульсoв уходилo нa измeрительное устрoйство.
Аноним 26/05/17 Птн 07:50:38  284830
>>284819
> потенциальной помехоустойчивости по Котельникову
Я думаю, что в любой книжке по цифровой обработке сигналов. Только она так не наывается, просто авторы юзают теорвер, чтобы показать, с какой вероятностью переданное значение будет принято с ошибкой.
Аноним 26/05/17 Птн 12:50:41  284838
stm32angle-500x[...].jpg (31Кб, 500x638)
Привет, Радач. Есть плата с stm32F103, а на ней кварц 32768 Гц. Хочу использовать его для RTC. К плате подключен каскад сдвиговых регистров, управляющих 7-ми сегментными индикаторами.
Заметил, что если провести рукой вблизи платы, то RTC ощутимо замедляется. При отсутствии воздействий точность RTC удовлетворительная.
Поясни, анон, почему такое происходит и как можно пофиксить.
Аноним 26/05/17 Птн 13:23:38  284840
Аноны, расчехлил сегодня свою станцию, которую пять лет назад покупал. Значит вставил в сеть, отыскал припой с флюсом. Нагрел паяльничек, подношу припой к жалу, ну чтоб схватил паяльник припой и всё было заебись, но тут вдруг ПРИПОЙ НЕ СХВАТЫВАЕТСЯ КИШКИ РАСПИДОРАСИЛО КАПНУЛО НА ЯЙЦО ГОРЯЧО УМИРАЮ не липнет припой к жалу. Я потупил, нашёл в закромах оксидал, он попшикал, всё классненько. Подношу припой к жалу и он схватывается только в одной маленькой точке, я хз почему. Станция старая китайская баку, жало тоже какое-то дешманское китайское. Помогите советом, ананасы.
Аноним 26/05/17 Птн 13:27:25  284841
>>284840
А я б хотел узнать что делать если припой хуево липнет к жалу пиздатого паяльника weller wmrp.
Иногда заебись, а иногда только к маленькой площади.
Аноним 26/05/17 Птн 13:27:52  284842
Стоит в одном помещении несколько телевизоров/приставок одного производителя (иногда и идентичные модели), у всех инфракрасные пульты и постоянно на нажатия одного пульта реагируют несколько девайсов.
Заклеивать приёмники или надевать трубки на пульты заебало и не особо помогает, даже мешает больше. Разносить приставки тоже не всегда вариант.

Короче, можно ли как-нибудь решить проблему электронно? Поменяв частоты/коды/что оно там в приёмнике и в передатчике так чтобы один приёмник в девайсе понимал только один передатчик в конкретном пульте.
Аноним 26/05/17 Птн 13:28:23  284843
>>284840
Еблан, возьми кусок обычной канифоли, да ткнись поялом в него
Аноним 26/05/17 Птн 13:30:08  284844
>>284843
Пасибки :3333
Аноним 26/05/17 Птн 13:47:41  284845
>>284843
А с моим дорогим паяльником прокатит? Он так то не мой, а предприятия. Не хочу пол зарплаты за новый выкладывать.
Аноним 26/05/17 Птн 13:55:38  284846
>>284845
хватит уже тролить
https://youtu.be/EOqK6qG0Xhw
Аноним 26/05/17 Птн 15:33:23  284847
>>284840
А по моему это китайское дешевое жало обгорело и его только выбрасывать. Я набор из 10 взял, 3 попользовал, 3 за месяц обгорели. Только выбрасывать.
А вот взял медные, это 10 из 10.
Аноним 26/05/17 Птн 15:40:12  284848
>>284624
А вот это интересно.
Показометр от мафона, к нему питальник на автогенераторе (ферритовый транс с синей изолентой??). Под кулером походу усилок-микруха. Два здоровых капа и транзисторы... это питальник чтоли?
Давай раскидай чего ты там нахуевертил.
м с радиокота?
Аноним 26/05/17 Птн 17:32:33  284851
сука, моча, когда ты уже научишься перекатывать до 1500 поста? Я заебался, у меня все виснет нахуй, тред минуты 3 грузится блядь

[Назад][Обновить тред][Вверх][Каталог] [Реквест разбана] [Подписаться на тред] [ ] 1911 | 282 | 515
Назад Вверх Каталог Обновить

Топ тредов
Избранное