Главная Настройка Mobile Контакты NSFW Каталог Пожертвования Купить пасскод Pics Adult Pics API Архив Реквест доски Каталог стикеров Реклама
Доски


[Ответить в тред] Ответить в тред

Check this out!


[Назад][Обновить тред][Вниз][Каталог] [ Автообновление ] 86 | 12 | 13
Назад Вниз Каталог Обновить

Измерение скорости движка Аноним 26/03/17 Вск 19:04:39  276893  
MD30C.png (985Кб, 820x527)
image.png (33Кб, 1920x874)
Хочу измерить скорость вращения вала ДПТ с помощью обратной ЭДС. Для этого я кручу движок, останавливаю его на миллисекунду и меряю напряжение на его контактах. Двигло может вращаться в обе стороны, поэтому и напряжение на нем может быть как положительным, так и отрицательным. Гоняю мотор с помощью драйвера изображенного на первом пике. К выходу этого драйвера то есть параллельно мотору подключил схему с пикрилейтеда номер 2 (генератор синуса выдает +-18 для теста, на месте него в реальной схеме включен мотор), которая почему то не работает, как нужно. По идее эта схема должна конвертить -18 - +18 вольт в +0.15 - +3.15 вольт, но почему-то в реале напряжение не опускается ниже средней точки (1.65 В), если двигло крутится в одну сторону и поднимается выше ее, если в другую. То есть я могу измерять ЭДС на моторе только при его вращении в одну сторону. Вы опытные ананасы и наверно сразу увидите почему мое говно не хочет работать. Спасибо.
Аноним 26/03/17 Вск 21:23:16  276901
>>276893 (OP)
ОП, почему бы не намотать несколько витков на корпус ДПТ - там после усиления будет периодический сигнал засчет недостаточного экранирования.

Далее измеряешь частоту - и получаешь обороты.
Аноним 26/03/17 Вск 22:40:38  276911
>>276901
Интересное предложение. Есть какая-нибудь инфа по этому методу? Только там тоже двуполярный сигнал надо измерять как-то.
Аноним 26/03/17 Вск 22:48:27  276913
>>276911
Инфы никакой, на каком-то форуме находил.
Что за двигатель?

Попробуй намотай витков 50 и к осциллографу.
Аноним 26/03/17 Вск 23:20:58  276920
DeWalt 18v motor.PNG (31Кб, 440x330)
>>276913
>Что за двигатель?
От шуруповерта.

>>276913
>Попробуй намотай витков 50 и к осциллографу.
В какую сторону мотать?
Аноним 26/03/17 Вск 23:24:49  276921
>>276920
>От шуруповерта.
Пойдет.

>В какую сторону мотать?
Это без разницы. Покажи только фотку того, что намотал и осциллограммы.
Аноним 26/03/17 Вск 23:27:49  276922
>>276921
>Это без разницы.
Я имею в виду направление. Можно параллельно валу, а можно перпендикулярно.
Аноним 26/03/17 Вск 23:29:43  276923
>>276922
Параллельно более сложно намотать, давай попробуем перпендикулярно (вокруг двигла).
Аноним 27/03/17 Пнд 00:28:48  276925
image.png (4916Кб, 1766x1191)
>>276923
С 15 витков дает 0.1 вольта вот такого сигнала. Теоретически частоту измерять можно, но ебатни тут тоже немало будет. Плюс, опять же придется что-то с отрицательным сигналом делать во время вращения в обратную сторону. А еще, на высоких частотах сигнал приблизится к частоте ШИМа, и там вообще хуй чего разберешь.
Аноним 27/03/17 Пнд 09:03:55  276939
>>276925
Цифровым осциллографом посмотреть бы.


Аноним 27/03/17 Пнд 12:55:11  276955
>>276939
Я нищеброд.
Аноним 27/03/17 Пнд 14:21:24  276959
14905690349800.jpg (106Кб, 622x1038)
>>276893 (OP)
Поясните, почему схема на втором пике может не работать? Нормально же симулируется.
Аноним 27/03/17 Пнд 14:33:13  276960
image.png (968Кб, 597x704)
Есть идеи, зачем могут быть нужны обведенные транзисторы? Остальные 8 - это часть моста, я проверил. А эти непонятно зачем тут стоят. Модель у них точно та же что и у мостовых. Истоки у них соединены с землей моста, а стоки звонятся с истоками, если даже замкнуть затвор с истоком. Судя по отсутствию резисторов на затворах, эти транзисторы работают не в высокочастотном режиме.
Аноним 27/03/17 Пнд 15:32:20  276962
>>276960
Защита от переполюсовки.
Аноним 27/03/17 Пнд 15:49:47  276965
>>276962
Они обратные диоды что ли из этих транзисторов используют?
Аноним 27/03/17 Пнд 15:54:33  276966
>>276965
https://www.google.ru/search?q=reverse+polarity+protection+mosfet&newwindow=1&espv=2&source=lnms&tbm=isch&sa=X&ved=0ahUKEwiKjdyv3fbSAhXpPZoKHc0nDHQQ_AUIBigB&biw=1920&bih=984#imgrc=Ypc6DZ4Gj9tIRM:
Аноним 27/03/17 Пнд 16:09:07  276968
Попробую собрать симметричную схему тогда, как напике. По идее она должна убрать проблему. Но я все-равно не понимаю, почему асиметричная фейлит. Почему-то, если подключить один из контактов двигателя к земле через резистор естессно осцил начинает хуйню показывать вместо обратной ЭДС.

>>276966
Интересно. Спасибо.
Аноним 27/03/17 Пнд 16:09:23  276969
image.png (40Кб, 1920x874)
>>276968
Пик забыл
Аноним 27/03/17 Пнд 16:19:49  276970
>>276968
Так это же не относительно земли надо смотреть.
Тут нужен дифференциальный усилитель.
И делители нафиг - пара резисторов и двунаправленные стабилитроны.
Аноним 27/03/17 Пнд 16:24:21  276971
>>276970
>Так это же не относительно земли надо смотреть
Дак я и смотрел относительно земли в первой схеме. Я привязал одну точку двигателя к земле, а вторую измерял. Но почему-то это не сработало ИРЛ, хоть и работает на модели.

>>276970
>И делители нафиг - пара резисторов и двунаправленные стабилитроны.
Мне напряжение нужно измерять, а не факт наличия сигнала. Стабилитроны засрут все.
Аноним 27/03/17 Пнд 16:25:56  276972
>>276971
НЕ относительно земли.
Аноним 27/03/17 Пнд 16:27:14  276973
>>276971
Какая кстати форма тока через двигатель?
Может проще ток померить?
Аноним 27/03/17 Пнд 16:42:41  276975
>>276972
>НЕ относительно земли.
Жопой читаю. Почему нельзя относительно земли? Двигатель же свободно в воздухе висит, если отключить все феты моста.

>>276973
>Какая кстати форма тока через двигатель?
Не смотрел. Там придется частоту тогда мерять, а не напряжение. Попробую на ток перейти, если с ЭДС не выйдет
Аноним 27/03/17 Пнд 17:34:42  276984
image.png (40Кб, 1920x874)
Репорчу результат касательно схемы на пикче.

1. Когда двигатель стоит на месте, в точках ADC1 и ADC2 имеем по 1.8 вольта (все правильно).
2. Когда двигатель вращается в одну сторону, в точке ADC1 напряжение поднимается выше 1.8 вольта пропорционально скорости вращения (все правильно). А в точке ADC2 по прежнему 1.8 вольта (а должно быть меньше на величину пропорциональную скорости вращения).
3. Когда двигатель вращается в другую сторону, в точке ADC2 напряжение поднимается выше 1.8 вольта пропорционально скорости вращения (все правильно). А в точке ADC1 по прежнему 1.8 вольта (а должно быть меньше на величину пропорциональную скорости вращения).

Похожая ситуация наблюдалась и в схеме из оп-пика - там напряжение тоже не хотело ползти ниже средней точки.

В чем может быть дело? Какая-то странная хуйня происходит.
Аноним 27/03/17 Пнд 19:17:18  276993
>>276984
Попробуй прокрутить двигло без моста и померить всё тоже самое.
Аноним 27/03/17 Пнд 20:04:00  276996
image.png (41Кб, 1920x874)
>>276993
Кажется я уже понял в чем дело. Ебучие диоды в мосте обосрали мне всю малину. Придется убирать верхние резисторы теперь и работать в диапазоне от 0 до 3.3, а не от 1.8 вольта. Боюсь так не удастся погасить синфазную помеху, но ничего другого не остается.
Аноним 27/03/17 Пнд 20:08:59  276997
>>276996
Расскажи про этот Н мост?
Там какой проводимости транзисторы стоят?
Аноним 27/03/17 Пнд 20:09:50  276998
Хотя падажжи. Синфазное говно будет на обоих входах АЦП либо в плюсе, либо в минусе. То, что в минусе обрежется диодами, а то что в плюсе замеряется обоими входами. Вычитаем одно из другого. ... PROFIT!
Аноним 27/03/17 Пнд 20:11:00  276999
>>276997
N-Channel. Вот шит: http://www.wggk.net/upload/product/file/NCE40H12K%20data%20sheet.pdf
Аноним 27/03/17 Пнд 20:19:58  277000
image.png (39Кб, 1920x874)
Сэмулировал синфазную помеху. Выглядит пиздато.
Аноним 27/03/17 Пнд 20:20:40  277001
>>277000
А как там по напряжению понять сколько оборотов?
Аноним 27/03/17 Пнд 20:22:47  277002
>>277001
Напряжение умноженное на константу скорости мотора = скорость.
Аноним 27/03/17 Пнд 22:38:44  277012
>>276925
Я не понял, настроиться-синхронизироваться на сигнал слабо что ли? Впервые осцилл в руки взял? Даже развертка по горизонтали смещена влево.
Аноним 27/03/17 Пнд 23:21:42  277021
Так ты снимаешь напряжение с обмотки, которую намотал вокруг двигателя? Зачем столько еботни, если она у тебя гальванически отвязана от обмоток двигателя и ты можешь делать с ней всё, что хочешь?

У меня кстати тоже была такая идея, и я хотел намотать две взаимоперпендикулярные обмотки, а потом вычислять мгновенную скорость в любой фазе двигателя путём вычисления корня из суммы квадратов напряжений. Но радач не проникся моей гениальной идеей и посоветовал тупо поставить оптопрерыватель или датчик холла
Аноним 27/03/17 Пнд 23:50:09  277025
>>277012
>настроиться-синхронизироваться на сигнал слабо что ли?
Я настроился. Хули еще то надо?

>>277021
>Так ты снимаешь напряжение с обмотки, которую намотал вокруг двигателя?
Нет. Я отключаю все феты моста и замеряю напряжение на обмотке якоря пока двигатель свободно вращается.

>>277021
>вычислять мгновенную скорость в любой фазе
Если бы взлетело, тут наверно положение можно было бы вычислить. Но шум конешн заебет.
Аноним 28/03/17 Втр 00:02:24  277027
>>277025
Ну так а в чём твоя проблема? По-моему, у тебя всё пиздато получается. Главное АЦП сэмплить сигнал в правильное время между включениями мосфетов. Единственный минус в том, что ты не можешь 100% шим в этом случае подать. Вообще твоя схема мне напоминает 3-resistor network из этой статьи
http://www.st.com/resource/en/application_note/cd00020086.pdf
Аноним 28/03/17 Втр 00:20:39  277030
>>277027
>Ну так а в чём твоя проблема?
После этого >>277000 проблемы больше нет. До этого я забыл про диоды в мосфетах и бугуртил, не понимая что за хуйня происходит.

>>277027
>Главное АЦП сэмплить сигнал в правильное время между включениями мосфетов.
Авотхуй. Во время шима семплить сигнал вообще не выходит - индуктивность обмотки якоря дает просраться. Из-за нее в нормальных драйверах движок даже коротят на время низкого импульса шима. Поэтому приходится останавливать шим, немного ждать и только тогда мерить.
Аноним 28/03/17 Втр 00:36:13  277031
>>277030
> Поэтому приходится останавливать шим, немного ждать и только тогда мерить.
Ну я это и имел в виду. Как в статье рисунок 8, floating phase. У тебя выход шим может находиться в четырех состояниях
+V мотор подключен в прямой полярности
-V мотор подключен в обратной полярности
0 оба вывода мотора подключены к земле
floating мотор вообще не подключен
У тебя шим между какими состояниями переключает (для положительного направления вращения)?
+v -v +v -v?
+v 0 +v 0?
+v f +v f?
Если последний вариант, то можно шим не отключать, а подобрать фазу тактового сигнала ацп, чтобы он срабатывал после перехода в состояние floating
Аноним 28/03/17 Втр 02:19:31  277033
>>276893 (OP)
Ты удивишься, но такой дурью никто не мается.
Советую напечатать на прозрачной пленке круг с делениями и насадить это на вал. Ну и считать импульсы оптопарой, как в принтерах. Если сделаешь еще и нуль-метку, то сможешь даже положение вала всегда знать.
Просто, дешево, надежно.
Аноним 28/03/17 Втр 02:21:25  277034
>>277031
>+v 0 +v 0
Этот. Во floating mode перевожу отдельным сигналом пришлось ради этого допиливать драйвер.

>>277031
>+v f +v f
В этом режиме мотор плохо стартует, имеет малый момент и греется.

>>277031
>+v -v +v -v
Забавный режим. Неужели так делают?
Аноним 28/03/17 Втр 02:22:55  277036
>>277033
>Ты удивишься, но такой дурью никто не мается.
Пообещал чуваку сделать измерение на основе обратной ЭДС. Теперь вот отдуваюсь.
Аноним 28/03/17 Втр 02:28:53  277038
>>277036
насади на вал круглый магнит, а вокруг него неподвижную катушку, ну ты понял
чем не обратная эдс?
Аноним 28/03/17 Втр 02:35:42  277039
>>277034
> Забавный режим. Неужели так делают?
Ну типо ускорение-торможение, хотя такое я по аудио знаю, в усилителях класса d так из-за того, что ты не можешь подавать слишком короткие положительные/отрицательные импульсы при малых амплитудах входного сигнала. В принципе, аудио динамик тоже электромеханика, основанная на силе Лоренца
> Во floating mode перевожу отдельным сигналом пришлось ради этого допиливать драйвер.
Да, знакомая фигня, на моём stm32f4 это было нетривиально сделать
Аноним 28/03/17 Втр 10:57:57  277061
>>277033
Оптику нафиг. Надо на датчиках холла делать.
Аноним 28/03/17 Втр 12:22:02  277079
>>277061
>>277038
Умные все больно дохуя. А вы не думали что насаживать дополнительное говно на вал может быть просто на просто некуда?
Аноним 28/03/17 Втр 12:34:36  277080
>>277079
Наматывать говно на вал - в стиле /b
Аноним 28/03/17 Втр 13:48:10  277091
>>277079
Поставь мост и считывай через заряжаемую ёмкость.
Аноним 28/03/17 Втр 14:12:42  277098
>>277079
А у тебя обмотка на статоре или на роторе?
Аноним 28/03/17 Втр 14:51:04  277103
>>277098
На роторе.

>>277091
>Поставь мост и считывай через заряжаемую ёмкость.
>мост
А ничего, что там напряжение начинается от 0.2 вольта?
Аноним 28/03/17 Втр 14:55:05  277104
image.png (85Кб, 1920x986)
Считывается вот такое говно. Я его конечно усредняю, но показания все равно прыгают на +-50 RPM. Хотя если вал тормозить рукой, то показания падают, как и должны.
Аноним 28/03/17 Втр 14:58:01  277105
>>277104
Ого! Это напряжение на двигле?
Аноним 28/03/17 Втр 15:03:21  277107
>>277105
Да. Теоретически можно его частоту еще оценивать, а не только величину. Но это конешн еботня будет.
Аноним 28/03/17 Втр 15:03:56  277108
>>277105
Не в вольтах конечно, а в единицах АЦП.
Аноним 28/03/17 Втр 15:07:21  277110
>>277107
Тот шум - с частотой шима?
Если так - то в матлабе хуйня вопрос: гугли как сделать bandstop фильтр и задави нах эту помеху.
Потом натрави autocorrelation на то, что получилось - и получишь что надо.
Дальше уже легко частоту получишь
Аноним 28/03/17 Втр 15:18:06  277112
>>277110
>Тот шум - с частотой шима?
Не думаю. Шим я на время измерений отключаю, поэтому полагаю, что это щетки шумят. Этот шум не проблема - он должен хорошо гасится усреднением. Проблемой скорее всего являются низкочастотные колебания, которые сложно как-то скомпенсировать на таком коротком промежутке времени. Увеличивать промежуток значительно тоже не выйдет - двигатель простаивает в этот момент.
Аноним 28/03/17 Втр 15:21:16  277114
>>277110
>Дальше уже легко частоту получишь
А, ты про частоту. Тогда можно попробовать. Но опять же, в этот промежуток убралось всего 2.5 периода низкочастотной волны, которая предположительно пропорциональна частоте вращения. То есть на низких скоростях, времени измерения может просто не хватить, чтобы захватить хоть один период.
Аноним 28/03/17 Втр 16:17:38  277121
>>277103
>А ничего, что там напряжение начинается от 0.2 вольта?
Используй германиевые диоды. А еще лучше германиевые точечные диоды.
Аноним 28/03/17 Втр 16:23:31  277123
>>277121
>Используй германиевые диоды
Если ты пообещаешь, что они идеально линейные и не засрут мне измерение, то ок.
Аноним 28/03/17 Втр 21:50:32  277214
>>277123
Если большого тока давать не будешь, то все будет заебись. Используй ток <1mA
Аноним 29/03/17 Срд 16:38:08  277320
>>277091
Расскажи подробнее что имеется ввиду?
Аноним 29/03/17 Срд 17:09:40  277329
>>277320
Он предлагает выпрямить сигнал с движка, но не подозревает, что нелинейность диодов обосрет все к хуям. К тому же кондер надо как-то разряжать.
Аноним 30/03/17 Чтв 01:54:06  277449
Изобретатели бля
токовый шунт большего чем обмотки сопротивления в паралель мотору и мерь на нём ток
Аноним 30/03/17 Чтв 03:01:48  277452
>>277449
Смотри в шапку. Если ты не знал, то ДПТ переводится как двигатель ПОСТОЯННОГО ТОКА, понимаешь? То есь там ток ПОСТОЯННЫЙ, смекаешь? Это значит, что понятие частоты к нему неприменимо, и таким образом невозможно измерить обороты
Аноним 30/03/17 Чтв 03:27:11  277454
>>277452
там щетки и ламели а значит 3\6\9\12\15\21 раз за оборот сопротивление двигателя равно бесконечность
Аноним 30/03/17 Чтв 11:56:55  277498
>>277454
Блин, не получилось тебя затралить. На самом деле, идея охуенная, как я сам сразу не додумался. Есть же вообще гальванически развязанные датчики тока, то есть можно даже за входы АЦП не переживать
Аноним 30/03/17 Чтв 12:44:41  277502
>>277454
Ты ток ДПТ видел когда-нибудь ИРЛ?
Аноним 30/03/17 Чтв 13:06:58  277506
>>277502
~50-100mA пульсации обратного тока на шунте будут чуть больше половины то есть 30-60 mA
в школу пиздуй а то опоздаешь на продлёнку
Аноним 30/03/17 Чтв 13:13:12  277507
>>277502
А ты? Давай скрин с осцилла, если такой дохуя умный
Аноним 30/03/17 Чтв 13:29:51  277509
>>277507
Я не твоя мамаша что бы всем давать...
тебе сказали, значит верь
Аноним 30/03/17 Чтв 23:07:50  277706
14620522728020.jpg (19Кб, 319x303)
Какие еще существуют немеханические методы измерения скорости дц-мотора?
Аноним 30/03/17 Чтв 23:44:30  277717
ОП хуй.
Смотри жесткие диски.
В них у мотора 3-4 (чаще 3) вывода, никаких датчиков холла, вообще нихуя. Зато хитровыебанный очень умный драйвер, который определяет обороты лишь по потребляемому току. И поддерживает их с филигранной точностью.
Аноним 31/03/17 Птн 00:26:13  277725
>>277706
ОП, забей на измерение ЭДС или какие-то обмотки вокруг двигателя.
Большинство приводов постоянного тока, которые умеют поддерживать скорость в разомкнутом контуре (т.е. без таходатчика), восстанавливают её математически через параметры двигателя, напряжение и измеренный ток. Ток можно измерять хоть шунтом в "-" шине моста, хоть датчиком Холла последовательно с двигателем - тут уже как тебе больше понравится. Потом ОУ для смещения/масштабирования сигнала датчика и на АЦП.
Аноним 31/03/17 Птн 00:56:14  277728
>>277717
>потребляемому току
Там BLDC стоит, ебанашка. А по току ты только момент сможешь определить, тем более в безщеточном движке, где нет бросков тока из-за коллектора. Алсо даже на обычном ДПТ я не наблюдал скачков тока - судя по всему индуктивность якоря не дает ему особо меняться.
Аноним 31/03/17 Птн 00:58:07  277730
>>277725
>измеренный ток
Бля, да вы заебали. Как по току определять скорость, если ток пропорционален моменту, а не скорости?
Аноним 31/03/17 Птн 01:05:11  277732
>>277728
И как же по твоему там поддерживается 7200 об/мин? Кроме выводов обмоток там нихуя нет.
Аноним 31/03/17 Птн 01:45:45  277733
>>277732
Обратную ЭДС и меряют вероятно. Часть обмоток не активна в конкретный момент времени - можно уизмеряться.
Аноним 31/03/17 Птн 02:14:10  277734
>>277733
Ну вот, почему ОП не может это повторить?
Аноним 31/03/17 Птн 02:16:43  277735
>>277734
У меня мотор щеточный.
Аноним 31/03/17 Птн 02:33:13  277737
>>277735
ЭТО ЧИТАЛ?
http://www.ellab.ru/SiteAssets/Pages/AWD10/%D0%A0%D0%AD_AWD10_v1.2.pdf
Аноним 31/03/17 Птн 10:14:20  277766
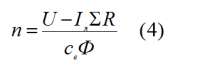
1.png (2Кб, 319x120)
>>277730
Ну прежде чем орать, что мы заебали, мог бы поискать в гугле уравнения ДПТ или как выглядят его механические характеристики. Там для определения скорости обычная линейная формула, зависящая от тока якоря.
Если нагрузка на двигателе у тебя реактивная (которая постоянно тормозит его независимо от направления вращения), а контроллер управляет ШИМом, то напряжение на двигателе тебе постоянно известно и его можно даже не измерять. Сопротивление якоря можно или измерить или посчитать через ток КЗ (Stall Amperage) и номинальное напряжение. Ну а Voltage Constant из твоей таблицы это 1/сФ.
Аноним 31/03/17 Птн 10:41:02  277771
>>277766
Есть инфа про реальное применение подобного метода или только маня-формула для сферического двигателя в вакууме? Полагаю, что в реальности ситуацию может много что обосрать. Например, индуктивность якоря.
Аноним 31/03/17 Птн 11:53:52  277789
>>277771
По подобному принципу построены практически все асинхронные векторные бездатчиковые привода, где расчет скорости происходит в математическом блоке-наблюдателе через фазные токи и напряжения (Vacon NXS/NXP, Bosch Fv/EFC, Schneider Electric Altivar 71 и херова гора других им подобных).
Для приводов постоянного тока такая система точно присутствует в Siemens SINAMICS DCM, в Mentor MP и в некоторых старых советских комплектных ЭТУ.
Хотя, если ты называешь главное уравнение ДПТ "маня-формулой", то можешь дальше изобретать велосипед. Да и как индуктивность якоря, которая наоборот сглаживает все пульсации тока, может поднасрать в измерениях мне не понятно, ну да ладно.

Аноним 31/03/17 Птн 12:10:29  277794
>>277789
Ок ок, ты меня убедил. Есть какая-нибудь статья на эту тему? Не обязательно на русском.
Аноним 31/03/17 Птн 14:22:37  277823
>>277789
>ак индуктивность якоря, которая наоборот сглаживает все пульсации тока, может поднасрать в измерениях мне не понятно
Очень просто. Из-за индуктивности, ток в обмотке будет постепенно расти во времени при неизменном приложенном напряжении, а не сразу достигнет максимально возможного значения при данном напряжении. Это может быть критично при наличии ШИМа - ток будет пилообразным.
Аноним 31/03/17 Птн 16:49:24  277848
ОП, сними осциллограмму тока цифровым осциллографом, тогда посмотрим.
Аноним 31/03/17 Птн 17:01:39  277850
>>277848
Да хотя бы нормальным ИСПРАВНЫМ аналоговым полупроводниковым, а не ламповым 1 мгц.
Аноним 31/03/17 Птн 17:08:20  277851
>>277823
Это был сарказм. Естественно ток якоря из-за ШИМ будет содержать пилообразную составляющую, вот только важно не ее наличие, а размах относительно действующего тока, который определяется нагрузкой на валу. Думаю, что у такого двигателя индуктивность якоря будет около несколько сотен мГн и уже на нескольких килогерацах ШИМа можно будет ложить хер на пульсации тока, потому что они будут несоизмеримыми по амплитуде с действующим током якоря. А даже если они и будут, то это легко пофиксить RC-фильтром после датчика или поднятием частоты ШИМ.
>>277789
Извини, конкретную статью посоветовать не могу, но уверен, что гугл завалит тебя ссылками по запросу "sensorless speed control" или "speed observer". А в русском сегменте интернета довольно неплохо расписаны механические характеристики ДПТ из которых все становиться понятно.

[Назад][Обновить тред][Вверх][Каталог] [Реквест разбана] [Подписаться на тред] [ ] 86 | 12 | 13
Назад Вверх Каталог Обновить

Топ тредов
Избранное