Главная Настройка Mobile Контакты NSFW Каталог Пожертвования Купить пасскод Pics Adult Pics API Архив Реквест доски Каталог стикеров Реклама
Доски


[Ответить в тред] Ответить в тред

Check this out!


[Назад][Обновить тред][Вниз][Каталог] [ Автообновление ] 166 | 16 | 63
Назад Вниз Каталог Обновить

Халявного эл-ва тред Аноним 25/01/17 Срд 17:52:48  268348  
223021264253244.jpg (27Кб, 800x318)
Наверняка тема поднималась не раз, она же достаточно интересна, странно что об этом нет FAQ.
Речь о генераторах не требующих обслуживания.
Один из известных мне способов получения эл. – преобразовывать в него радиочастоты. Сейчас и gsm, и 3/3.5/3.9/4g, и вайфаев полно и т. д.
О втором я слышал, т. е. читал что можно что-то воткнуть в землю (проводник) и получать т. о. эл., куда второй то конец – просто вверх как "антенну"?
Довайте, знатоки, пишите что знаете.
Насчёт 1го способа – интересно играет ли роль трёхмерность форм антенн, на сколько они эффективней плоских?(Наверно важно повёрнута ли плоская к источнику?) На что смотреть при гуглении покупных антенн (чтоб побольше вырабатывали), на чувствительность? Как преобразовать в 5в?(какое напряжение они вообще дают?) И вообще, антенны мобильные имеют + и - или 1 выход?(или когда как?)
Знаю, что антенны дают очень мало, нужны будут большие и/или много.
Кстати, подумал, а не в том ли принцип 2го способа, что антенна ловит радиосигналы и всё в землю идёт?
Аноним 25/01/17 Срд 22:47:30  268459
Хм
Аноним 25/01/17 Срд 23:19:47  268466
1. Идешь к ближайшей ЛЭП с напряжением не меньше 10кВ.
2. Берешь катушку со стальным сердечником.
3. Кладешь катушку перпендикулярно ЛЭП.
4. Снимаешь мощность.
5. ...
6. Бутылка в жопе от блюстителей порядка PROFIT.
Аноним 25/01/17 Срд 23:39:20  268471
>>268466
Это воровство, а не ловля бесплатной халявы. ¡!
Аноним 26/01/17 Чтв 00:24:24  268480
>>268471
Что упало, то пропало.
Аноним 26/01/17 Чтв 00:29:05  268483
>>268480
Бред, оно не падает, а вертится, а ты либо снимаешь, либо нет.
Аноним 26/01/17 Чтв 02:21:50  268494
>>268471
А описанный в ОП отбор полезной энергии радиоволн — это не воровство?
Аноним 26/01/17 Чтв 03:01:21  268497
>>268494
Ты отсталый? Она бесплатна, ловить её не противозаконно, как воздух.
Аноним 26/01/17 Чтв 08:31:32  268508
>>268348 (OP)
>Халявного
Сначала прочел "халяльного" и орнул. Электричество, добытое с именем Аллаха.
Аноним 26/01/17 Чтв 08:46:36  268512
>>268494
Чтобы добыть сколько-нибудь заметное количество электроэнергии из чужих радиоволн - нужно со своей антенной залезть в крайне небезопасное по напряженности поле, вплотную к передатчику.
Помню продавались пассивные наклейки со светодиодиком на телефон - так чтоб этот несчастный светодиодик светился (единицы милливатт) - его антенну нужно было прилепить строго напротив антенны на корпусе телефона. А ведь у GSM что-то типа 2 ватт в импульсе.
Аноним 26/01/17 Чтв 09:00:26  268514
>>268512
Ну были же приемники с питанием "свободной энергией". Что если собрать целый массив таких приемников?
Аноним 26/01/17 Чтв 10:30:01  268522
>>268514
Они высосут весь радиоэфир. Радиополиция спалит это в течение часа, а в течение 2-го найдут твою черную радиодыру и дадут пизды.
Аноним 26/01/17 Чтв 11:14:20  268525
>>268348 (OP)
Энергия, которую несут электромагнитные волны, зависит от мощности генератора (излучателя) и расстояния до него. По научному это звучит так: поток энергии, приходящийся на единицу площади, прямо пропорционален мощности излучения и обратно пропорционален квадрату расстояния до излучателя.

Допустим рядом с тобой в 500 метров передатчик 100вт, теперь посчитай сколько халявной энергии ты высосешь. Ума хватит рассчитать?
Аноним 26/01/17 Чтв 11:42:38  268530
200JUclwWMF3FDc[...].gif (20Кб, 200x200)
Делим 100 ватт на 500 метров, получаем 0,2 ватта на окружность.
Делим 0,2 ватта на 3,14 получае мощность 0,08 ватта.
Для плеера, думаю хватит питания. Можно ещё зарядное устройство такое сделать - чтобы копило радиоволны в литиевый аккумулятор круглосуточно, а потом от него заряжать что-то или смотреть телевизор.
А если учесть, что таких передатчиков тысячи вокруг, то вполне можно и 2-3 ватта высосать из эфира.
Аноним 26/01/17 Чтв 11:42:55  268531
>>268530
>>268525
Аноним 26/01/17 Чтв 13:35:02  268550
>>268530
>Делим 100 ватт на 500 метров, получаем 0,2 ватта на окружность.
>Делим 0,2 ватта на 3,14 получае мощность 0,08 ватта.
Ну ты и дегенерат. Как и любой среднестатистический халявщик, кстати.

Для справки правильный ответ: на таком расстоянии ты сможешь собрать не больше 32 мкВт 0.000 032 Вт с одного квадратного метра, облучаемого этим передатчиком.
Аноним 26/01/17 Чтв 14:31:43  268558
>>268522
Это шутка такая? С каких пор нельзя ловить волны лол
Аноним 26/01/17 Чтв 14:34:21  268561
>>268525
Нет такой задачи пока. Зачем узнавать скол ко я поймаю, интересно просто ловить. Вайфаев у меня вокруг куча, мобил. сети тож. ловит, антенна в 100м за окном кстати.
Аноним 26/01/17 Чтв 15:09:46  268566
анзор.jpg (54Кб, 537x807)
>>268558
с таких, что они предназначены для радио а не для твоего гаража. Рекламодатели бабосы платят чтобы их слушали а не лампочки жгли, а часть этих бабосов идет в радионадзор. Тем более, что ты можешь ослабить и волны спецчастот а это уже сравнимо с терактом.
Аноним 26/01/17 Чтв 15:56:21  268574
Аальная пробка из меди, элемент пельтье, массивный радиатор, сидение в Бургут-тредах.
Аноним 26/01/17 Чтв 16:22:35  268579
>>268566
>>с каких пор?
>с таких, что они предназначены для …
ясно.
>Рекламодатели бабосы платят чтобы их слушали а не лампочки жгли, а часть этих бабосов идет в радионадзор.
Суть вопроса была в том по какому такому правилу мне нельзя иметь большую антенну (gsm к примеру), или нельзя ей пользоваться на своё усмотрение и т. д.
Аноним 26/01/17 Чтв 17:43:30  268599
>>268483
Пф, оно излучается так что как и радиоволны в бесконечность. Хочу и ловлю, законом не запрещено.
Аноним 26/01/17 Чтв 18:56:02  268629
>>268599
Вообще фигню несёшь. Оно вращается вокруг провода (гугли правила большого пальца), законом запрещено т. К. Это воровство, гугли кучу судебных случаев.
Аноним 26/01/17 Чтв 19:38:55  268639
>>268483
Это поле рассеяния, если снимать на уровне земли, то с лэп ничего сверх обычного не пропадает, т.к. земля для малых токов очень даже хороший проводник. Вот если приближать к проводам свой токосъемник, увеличивая k-связи этакого псевдотрансформатора и/или емкость между проводником и тросами лэп - тогда да, потери растут.
Аноним 26/01/17 Чтв 19:49:23  268641
>>268512
Хуйня.
1. 2 ватта - устаревшая лет на 20 инфа, 1 ватт да и тот - по праздникам, на GSM900, когда до вышка на грани слышимости находится.
2. Современная электроника в активном режиме может потреблять в разы меньше этого жалкого светодиода, а во сне, так вообще на порядки.
3. Харвестеры радиоволн (как раз стовых диапазонов) вполне себе производятся, продаются, продаются занедорого, значит покупаются активно и используются.
Аноним 26/01/17 Чтв 19:53:07  268642
>>268525
От антенн сильно зависит. Эти 100 ваттей могут быть на тарелке диаметром в пару десятков метров и частоте в гигагерцы, в таком случае, не находясь в луче ничего не увидишь над шумами.
Аноним 26/01/17 Чтв 19:53:45  268643
>>268629
> Оно вращается
Хуяется. Ты представляешь вообще какой там коэффициент потокосцепления?
Аноним 26/01/17 Чтв 19:55:15  268644
>>268574
Давно так планшет заряжаю. Бугурт-треды - говно, кстати, эффективнее читать новости и комментарии к ним.
Аноним 26/01/17 Чтв 20:18:51  268652
>>268639
Чтобы снимать на уровне земли надо землю убрать, ты убираешь землю – потери снижаются, ставишь свою катушку – потери снова растут. Воровство.
Аноним 26/01/17 Чтв 20:26:53  268653
>>268641
Не могу нагуглить никаких харвестеров готовых. Как на англ?
Аноним 26/01/17 Чтв 22:35:49  268676
Пишу в эпичный тхрэд. Аноны, есть кабели 110кВ. Каждая фаза отдельным кабелем. Как посчитать необходимое количество витков, чтобы снять с них 220В?
Аноним 27/01/17 Птн 19:28:28  268773
>>268676
Я бы обосрался подходить к 110кв кабелю, а тем более скручивать его витками.
Аноним 27/01/17 Птн 23:58:25  268825
>>268676
Речь о подземном изолированном кабеле? Ты его не согнешь в витки с приемлемым радиусом. Если ты про лэп - считай нужную длину кабеля который будет висеть параллельно под свою мощность и как-нибудь стабилизируй/ограничивай напряжение.
Аноним 28/01/17 Суб 00:00:29  268828
>>268825
>и как-нибудь стабилизируй/ограничивай напряжение.
кпд уровня /b/
Аноним 28/01/17 Суб 00:37:32  268832
>>268773
>>268825
Да, речь о подземном, маслонаполненном кабеле 110кВ. Я не его собираюсь в витки накручивать, а на него намотать провод 1.5кв.мм. шоб снимать халявное лектричество. Физику чтоли вспоминать? Может подскажете?
Аноним 28/01/17 Суб 00:38:57  268834
>>268832
>маслонаполненном
ахуеть, такое бывает?
Аноним 28/01/17 Суб 00:39:55  268835
>>268832
>а на него намотать провод 1.5кв.мм
Хуйня, у тебя меньше 110кв не будет. Врядли ты его понизишь без масляных трансформаторов.
Аноним 28/01/17 Суб 00:44:15  268838
>>268834
Бывает. Бывает даже маслонаполненные высокого давления. 1500мм.кв х 500кВ. Вот к такому я бы обосрался подходить.
Аноним 28/01/17 Суб 00:45:19  268839
>>268835
> у тебя меньше 110кв не будет
С одного витка сразу 110кВ? Я давно школу закончил, но что-то подсказывает, что ты ошибаешься.
Аноним 28/01/17 Суб 15:06:01  268918
>>268832
Если он однофазный, то собери вокруг него трансформатор, где кабель будет прдставлять собой полвитка первички, а вторичка сам подбери экспериментально.
Если трехфазный, ты соснешь.
Аноним 28/01/17 Суб 15:51:16  268925
>>268828
А у тебя нет других вариантов.
>>268832
> а на него намотать провод 1.5кв.мм. шоб снимать халявное лектричество
И ничего не получишь, наматывать витки вокруг провода ничего не даст, а их емкости для нормальной мощности не хватит.
Аноним 29/01/17 Вск 00:18:53  269135
Так и что, никто не знает как снять энергию с радиоволн?
Аноним 30/01/17 Пнд 05:29:35  269328
>>268839
Согни тот что 110 киловат в виток и получишь меньше
Аноним 30/01/17 Пнд 05:30:09  269329
>>269328
Блядь киловат
Киловольт
Фикс
Аноним 30/01/17 Пнд 09:43:19  269339
>>269135
тебе энергию снять или хотя бы лампочку зажечь?
Аноним 31/01/17 Втр 16:53:13  269546
>>269339
>тебе энергию снять или хотя бы лампочку зажечь?
И в чём разница? Чтоб оназажглась энергия нужна, снять с антенны её какбы.
Аноним 31/01/17 Втр 17:21:32  269548
>>269546
разница в том что с антенны ты снимешь МИКРОватты, а для лампочки нужны вполне конкретные ватты.
Радиоволны из жопы не летят. Мегаваттных передатчиков в стране давно нет, кроме РЛС. Напряженность поля(и энергия им передаваемая) падает квадратично от расстояния.
Да и вообще блять тебе сколько лет? Ты учебник физики за 8 класс открывал?
Аноним 31/01/17 Втр 22:08:33  269590
>>269548
Зависит от размеров антенн же ало
Аноним 31/01/17 Втр 22:10:44  269591
>>269548
Вот доебались малр да мало, вас спрашивают как снять энергию, при чём в оп-посте сказано что понятно что её будет мало.
Аноним 01/02/17 Срд 08:59:25  269631
>>269590
> Зависит от размеров антенн же ало
Не, ну если заебашить антенну такого размера шоб она касалась аниенны передатчика, то можно и пару лампочек сжечь.
Аноним 01/02/17 Срд 11:45:19  269643
>>269591
так сделай широкополосную антенну размером с дом и свети лампочкой, в чем проблема?
>как
широкополосная антенна размером с небо и алаха, широкополосный же трансформатор, выпрямитель, лампочка.
Аноним 01/02/17 Срд 18:01:00  269671
>>269643
У антенны + и - или 1 контакт? Мощность будет зависеть от чувствительности? Если + и -, то трансформатор что делать должен, напряжение преобразовывать? Как узнать напряжение выдаваемое антенной которую я пока не купил? Выпрямитель делает из ac dc?
Аноним 01/02/17 Срд 19:51:27  269678
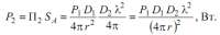
1.png (6Кб, 434x71)
>>269591
Энергия "снимается" с антенны в любом радиоприемнике. Причем в радиоприемниках обычно стараются снять с антенны максимум мощности.

>>269671
>Мощность будет зависеть от чувствительности?
У антенн нет такого параметра. Чувствительность - это параметр радиоприемника.
Смотри формулу на картинке. P2 - мощность сигнала на выходе приемной антенны, P1 - мощность передатчика, D1 и D2 - коэффициенты усилений передающей и приемной антенн, лямбда - длина волны, r - расстояние.

А теперь прикинем все это для базовой станции GSM. Допустим мощность будет 50 Вт, антенна всенаправленная, соответственно D1 = 1. Коэффициент усиления приемной антенны, предположим 100. Расстояние до базовой станции 100 метров. Длина волны приблизительно 0,15 метров.
Получается мощность около милливатта.

Все-таки ответь на вопрос того анона >>269548
>Да и вообще блять тебе сколько лет? Ты учебник физики за 8 класс открывал?
Аноним 01/02/17 Срд 20:16:34  269679
>>269678
Ну усиление пропорционально мощности будет?
За 10 лет подзабылся учебник.
Как сделать приёмник толком не понял.
Аноним 01/02/17 Срд 20:25:36  269680
>>269679
*мощность пропорциональна усилению
Аноним 01/02/17 Срд 21:16:58  269689
>>269679
>За 10 лет подзабылся учебник.
он и не знался. Тебе по-русски говорят ты - обосрался. Нет, не хочу, хочу сэкономить три рубля.
Аноним 01/02/17 Срд 21:18:15  269690
>>269689
Обосраося в чём лол? И при чём здесь экономия мда.
Аноним 01/02/17 Срд 21:21:19  269692
>>269690
Ну как в чём:
– я знаю, что антенны дают очень мало
– хаха ты же прлучишь очень мало, ты обосрался! Как по мне так это обсирульки!
Аноним 01/02/17 Срд 21:27:54  269695
blob (24Кб, 809x507)
>>269690
при тот что подобные темы создают как правило дауны, которые платят за свет 300р но хотят платить еще меньше. Я тебе даже нарисую.
Смотри как убого. Все для тебя.
Аноним 01/02/17 Срд 21:28:26  269697
>>269695
А мне не для экономии.
Аноним 01/02/17 Срд 21:31:24  269699
>>269697
а для школьного проекта?
Аноним 01/02/17 Срд 21:49:43  269704
>>269699
Для зарядки.
Аноним 01/02/17 Срд 21:52:04  269706
>>269695
Не шарю в схемах, что там изображено..
Аноним 01/02/17 Срд 22:05:42  269710
>>269704
для зарядки эффективнее и компактнее будет самая всратая солнечная батарея.
>>269706
погугли, не заставляй слать тебя нахуй
Аноним 01/02/17 Срд 22:06:42  269711
>>269704
Как я прикинул выше, с одной такой https://ru.aliexpress.com/item/GSM-20dBi/32786062498.html GSM антенны, у тебя получится не больше одного милливатта.

Прикинем сколько времени придется заряжать средний телефонный аккумулятор.
Напряжение аккумулятора около 3,7 В, емкость 1000 мА/ч. Получается в аккумуляторе 3,7 В 1 А 3600 с = 13320 Дж энергии. Как известно, Ватт - это Джоуль за секунду, поделим 13320 Дж / 0,001 Вт = 13320000 с = 3700 часов = 154 дня.
Аноним 01/02/17 Срд 22:09:31  269712
blob (435Кб, 900x600)
>>269711
>154 дня.
но ведь саморазряд...
Аноним 01/02/17 Срд 22:22:37  269714
>>269710
А ты с чегофто взял, что солнечную батарею я паралельно не србираюсь использовать?
Они, кстати, тоже ничтожно мало вырабатывают не на солнце.
>погугли
Прям "обощначения радиоэлементов" или как?
Аноним 01/02/17 Срд 22:25:33  269715
>>269714
> ничтожно мало вырабатывают не на солнце.
на два-три порядка больше антенны того же размера.
Аноним 01/02/17 Срд 22:27:44  269716
>>269715
Надо тестить.
Аноним 01/02/17 Срд 23:00:40  269726
>>269716
Не надо, можно опять же прикинуть порядок.
https://ru.wikipedia.org/wiki/%D0%98%D0%BD%D1%81%D0%BE%D0%BB%D1%8F%D1%86%D0%B8%D1%8F
Среднегодовая мощность для России больше 80 Вт/м^2. Можно прикинуть относительно площади той антенны, но я прикину для солнечной батареи за 73 рубля https://ru.aliexpress.com/item/Solar-Panel-6V-1W/32775654698.html
Площадь батареи 0,0066 м^2, даже с КПД 2%, получается 10 мВт. Реально КПД недорогих батарей 10...15%.
Аноним 01/02/17 Срд 23:04:05  269728
>>269726
>10...15%.
Что надо чтобы поднять хотя бы до 50%?
Аноним 01/02/17 Срд 23:06:55  269729
>>269726
Не 2 процента надо считать. В десятки раз меньше она вырабатывает без солнца. Можеи в сотню.
Аноним 01/02/17 Срд 23:35:36  269731
>>269728
У солнца спектр большой и 17%это очень неплохо.
Вот только не нужно т. к. Есть ветрогенераторы и гэс.
Аноним 01/02/17 Срд 23:38:13  269733
>>269729
Зайти на википедию, посмотреть карту среднегодовой инсоляции никак нельзя? 80 Вт/м^2 это с учетом всего уже, кроме КПД самой батареи. Более того, солнечную батарею можно располагать перпендикулярно световому потоку.
Аноним 01/02/17 Срд 23:50:21  269736
>>269731
>У солнца спектр большой и 17%это очень неплохо.
Ну так и все таки, что надо сделать чтобы поднять хотя бы до 50? Панели жрут только определенный узкий спектр?
Аноним 02/02/17 Чтв 00:37:09  269745
>>269736
Он не оч узкий
Аноним 02/02/17 Чтв 00:38:04  269746
>>269733
А с чего ты взял что человек с солн. батареей будет на улице находиться?
Аноним 02/02/17 Чтв 00:48:12  269750
>>269733

>, солнечную батарею можно располагать перпендикулярно световому потоку.
Не очень удобно если из солн. плёнки сшита одежда.
Аноним 02/02/17 Чтв 18:57:47  269804
быдлу - палю годноту : между нулем розетки и батареями отопления/водоснабжения в старых домах,где они еще железные и заземлены - может навестись несколько вольт и до одного ампера тока.Суто в том что "ошметкам" на нуле как бы дают выбор - или километры проводов до "земли" на подстанции (если дом не заземлен ,старый),или вот она - "рядышком",хоть и через нагрузку. У меня получалось 3 вольта и до ампера на к.з., мелкий приемник орал,лампочка светила.Минус - хер его знает,может ли кого из сосётей током ебнуть при таком подключении.


умным людям - идею на обсуждение : Детекторный приемник,настроенный на 50 Гц (да-да,те что в розетке),антенна вдоль проводки.Или даже не столько детекторный сколько удвоитель-утроитель напряжения,или преобразователь.Взлетит,как думаете ?
Аноним 02/02/17 Чтв 21:15:19  269814
>>269804
погугли про реализацию систем дальней связи с подводными лодками.
Аноним 02/02/17 Чтв 22:44:23  269821
>>269804
>быдлу - палю годноту : между нулем розетки и батареями
Это воровство
Аноним 02/02/17 Чтв 22:45:52  269822
>>269804
>антенна вдоль
Это воровств
Аноним 03/02/17 Птн 00:48:55  269833
>>268522
>Они высосут весь радиоэфир.
Если кто что тут и высосет откуда, то только твоя мамка говно из жопы мертвого бомжа.
Аноним 03/02/17 Птн 14:47:17  269873
>>268348 (OP)
Предлагаю обсудить остановку электросчётчиков.
Аноним 03/02/17 Птн 15:15:17  269879
>>269873
обсуждай
Аноним 03/02/17 Птн 15:44:45  269886
>>269873
Как они вообще устроены?
Аноним 03/02/17 Птн 15:56:00  269887
>>269886
купи самый дешевый, ебни молотком и узнаешь
Аноним 03/02/17 Птн 16:00:41  269889
>>269887
Проше pfc-фильтры отовсюду повытаскивать.
Аноним 03/02/17 Птн 16:37:30  269892
Если из розетки забирать каким нибудь ключем (ламповым) много, но за очень короткие временные отрезки, то счетчик соснет? Забирать быстрее чем нарастание напряжения в его части схемы которая измеряет?
Аноним 03/02/17 Птн 17:03:41  269897
>>269892
> Если
Счетчик фиксирует направление полной мощности со всеми ее составляющими в прямом и обратном направлении, хранит эту информацию с привязкой ко времени. При этом пользователю можно снимать показания энергии по ее приращению за определенный период времени, например, текущие или выбранные из календаря сутки, месяц или год либо — накоплению на определенное назначенное время.

Фиксация значений активной и реактивной мощности за определенный период, например, 3 или 30 минут, как и быстрый вызов ее максимальных значений в течение месяца значительно облегчает анализ работы энергетического оборудования.

В любой момент можно просмотреть мгновенные показатели активного и реактивного потребления, действующего тока, напряжения, частоты в каждой фазе.
Аноним 03/02/17 Птн 17:38:28  269907
>>269897
А за реактивную мощность тоже надо платить?
Аноним 04/02/17 Суб 00:41:00  269973
14572948443911.webm (5046Кб, 560x420, 00:00:40)
>>269907
У Пахомии кончаются деньги, платить за фсиё свтановится всё более обязательно.
Аноним 04/02/17 Суб 01:32:05  269982
>>268348 (OP)
О, хороший тред. У меня как раз вопросы есть.
Какое напряжение и ток доступно в телефонном кабеле?
А в кабеле от телевизора? Там же тоже что-то быть должно.
Аноним 04/02/17 Суб 06:46:33  269995
>>269889
Из электроплиты вытащи. Еще из железной дороги и алюминиевых заводов.
Аноним 04/02/17 Суб 15:01:55  270043
>>269706
Bump
Аноним 04/02/17 Суб 16:40:49  270053
>>269995
У меня нет железной дороги и алюминиевого завода. Да и электроплиты тоже нет. Есть микроволновка с трансформатором и таймером от оки.
Аноним 05/02/17 Вск 11:38:38  270154
>>270053
В ней тоже нет PFC.
Аноним 05/02/17 Вск 18:57:55  270206
>>270154
Я про то и пишу, что мне не поможет изъятие пфц. Что можно сделать для экономии живя на 12 этаже? Через меня в стене проходит выхлопная труба с других этажей, в ней всегда тепло, можно из этого выгоду извлечь? Например сделаю тепловую трубу на ацетоне уже делал, выведу в квартиру и к ней подключу много peltier их я видел только на картинке, боюсь обосраться?
Аноним 06/02/17 Пнд 04:57:32  270280
DSC0069.jpg (258Кб, 1280x720)
DSC0070.jpg (227Кб, 1280x720)
DSC0071.jpg (248Кб, 1280x720)
DSC0072.jpg (241Кб, 1280x720)
>>269886
Электрик-кун подъехал и готов вам показать, что внутри.
Аноним 06/02/17 Пнд 05:15:21  270281
DSC0073.jpg (194Кб, 1280x720)
>>269897
Тут говорится про yoba электронные счётчики, такие если и стоят где, то в подвале подъезда или на подстанции от которой питается район. На пикче программа для одной из марок таких счётчиков, через которую можно посмотреть все данные по энергии.

Электрик-кун
Аноним 06/02/17 Пнд 06:15:33  270282
>>270280
Адово проиграл с единственной отечественной микросхемы. Вот вам прикол: ее цена - от 20 до 50% стоимости девайса.
Я ковырял вещи поинтереснее: блоки ЭКЛЗ от кассовых аппаратов (святая святых под 7 печатями). Там все залито компаундом, но если его соскрести, то взору откроются крутые STM-овские контроллеры, память и... отечественная микросхема-шифратор в таком же никелевом корпусе. Когда узнал ее цену, охуел. Блок ЭКЛЗ стоит 10к, 1/3 стоимости - цена той микросхемы.
Аноним 06/02/17 Пнд 06:48:53  270283
>>270282
Ну и что? Если бы это была микросхема от Analog Devices - ее стоимость была бы еще выше.
А так этот счетчик в розницу копейки стоит.
Аноним 06/02/17 Пнд 09:38:57  270290
>>270280
>>270281
Спасибо тебе, расскажи поподробнее, эти счётчики считают всю нагрузку? В аппаратуре стоят спец. фильтра, чтобы не сдвигать фазу - так вот современные счётчики будут считать правильно, если эти фильтра выдернуть? Как их наебать? Магнит работает, но его надо непосредственно на счётчик класть, что палевно. ВОт эти ребята не пиздят:? http://otmotka.net/video_instrukcii/197-ostanovka-elektroschetchika-so-ea05m1-master.html
Аноним 06/02/17 Пнд 09:49:04  270292
Небольшой облом для магнитодаунов:
в большинстве счетчиков, которые могут в общение хотя бы по паре проводов, есть примитивный магнитный датчикзачастую в самом контроллера счетчика. Магнитная активность пишется в журнал и потом пидораху могут посадить на бутылку. Счетчиков за 500р это не касается.
Аноним 06/02/17 Пнд 09:54:46  270293
1397838058033.jpg (74Кб, 562x452)
>>270292
>Счетчиков за 500р это не касается.
В гараже стоит двухтарифный меркурий, дома тоже. Счётчики не дорогие, магнит успешно практикуется на обеих уже несколько лет. Рикамендую. А про датчик не знал, буду знать, спасибо. Ещё бы список моделей, но это было бы уже слишком, наверное.
Аноним 06/02/17 Пнд 09:59:05  270295
>>270293
старые счетчики еще наебываются магнитами, а новые проще потрошить.
Со списком моделей не помогу. Самый верный вариант наебать - купить такой же счетчик и ознакомиться с содержимым и функционалом.
Аноним 06/02/17 Пнд 10:19:26  270297
>>270295
>ознакомиться с содержимым и функционалом.
Хм. В водяных счётчиках, если их разобрать, есть механизм юстировки, который позволяет занизить показания счётчика до десяти процентов. Наверняка и в электронный счётчик, сняв аккуратно пломбу, можно поставить какой-нибудь шунт и иметь десяти-двадцати-процентный дисконт на электричество. До уровня отпускных цен китайцам 150 копеек/киловат, лол, конечно, уйти не получится, но и то неплохо.
Аноним 06/02/17 Пнд 10:33:19  270298
Screenshot2017-[...].png (103Кб, 854x480)
DSC0074.jpg (251Кб, 1280x720)
>>270290
Как наебать счётчик рассказать не могу, ибо не знаю. В этих простых счётчиках стоит микросхема sa4301a, даташит сам найдёшь. Как я понимаю она переводит мощность и вращает двигатель циферблата. Слышал, что эти движки успешно стопарятся неодимовым магнитом, но сейчас везде наклеивают антимагнитные пломбы, которые окрашиваются в чёрный цвет при срабатывании.
Аноним 06/02/17 Пнд 10:37:10  270299
14098917010460.gif (4854Кб, 450x235)
>>270298
>SA4301A
Спасибо, гляну!
Аноним 06/02/17 Пнд 10:39:12  270300
>>270297
сколько же ты платишь, что 10% для тебя существенная сумма?
Аноним 06/02/17 Пнд 10:43:37  270301
>>270300
Дело не в этом, а в том, что хуйзнаеткуда уходят мои деньги, платежи и налоги. Нихуя не прозрачно, с теплом вообще пиздец. Эта срана сильно задолжала своему народу и продолжает сильно брать в долг у него.
Аноним 06/02/17 Пнд 10:54:07  270303
>>270301
ну ты же понимаешь, что сказал хуйню? От того что ты сэкономишь 10%, твои деньги уходить в дерьмо не перестанут.
>нихуя не прозрачно
а ты готов сам заполнять декларацию и относить ТРЕТЬ СВОИХ денег в налоговую каждый год? Готов сам ебать управляющую компанию за каждый ржавый вентиль в подвале? Не думаю. Зато ты решил начать свой протест в воровства сраных 10% воды. Ну успех, чо.
Аноним 06/02/17 Пнд 11:41:53  270305
>>270303
>а ты готов сам заполнять декларацию и относить ТРЕТЬ СВОИХ денег в налоговую каждый год?
Ты не поверишь, я с удовольствием. Но при этом есть одно "но". Я отдаю деньги. А чинуши их тратят. Не по назначению. А проконтролировать я их могу максимум через сайт госзакупок, всё. Понимаешь?
Аноним 06/02/17 Пнд 12:54:39  270307
>>270305
я то понимаю. Но остальным похуй, а у нас тут правит большинство.
Аноним 06/02/17 Пнд 12:59:42  270309
>>270307
>остальным похуй, а у нас тут правит большинство
Вот поэтому я стараюсь всегда покупать по акции и с дисконтом электричество и прочие коммунальные:З.
Аноним 06/02/17 Пнд 13:11:01  270310
>>270309
не думаю что экономия пары косарей в месяц сделает меня быть счастливым
Аноним 06/02/17 Пнд 18:35:32  270326
>>270307
>а у нас тут правит большинство
Прокукарекал петух из-под шконки энергетической сверхдержавы. Меньшинство пишет правила для большинства.
>>270310
Если у тебя зп 10к, то сделает.
Аноним 06/02/17 Пнд 18:37:54  270327
>>270281
электрик кун могу я по вашим сетевым электрическим протоколам брутфорсить свой счетчик на доме/подстанции через розетку? Твоя программа у меня есть.
Аноним 06/02/17 Пнд 21:42:15  270351
>>270327
Что могу сказать: протоколы, по которым передается информация о показаниях не защищены практически ничем. Т.е. аутентификация, авторизация, все это там сделано на достаточно хуёвом уровне. Типичная схема: через rs-232 или 485 подключаемся к счетчику и снимаем с него показания, а потом через GPRS модем передаем их.

Через розетку ничего брутфорсить нельзя, т.к. по силовым линиям эта информация не передается, по крайней мере я не слышал о таких моделях счетчиков.


мимо год проработал подмастерьем на установке АИИС КУЭ
Аноним 07/02/17 Втр 09:43:04  270394
>>270326
не знаю кто для кого что пишет, но стадо оно стадо и есть. У меня в подвале с неделю уже течет вода из прогнившей трубы обратки отопления. Я заметил эту хуйню дня 4 назад, сначала значения не придал, думал мочя просочилась. В субботу нашел источник мочетечения, позвонил дежурному сантехнику, он пришел посмотрел и съебался. Я понял что нихуя не будет. Написал объяву повесил в падке. Вчера вода еще текла. Если и за сегодня стадо не почешется - пойду откачаю воду мотопомпой и буду ебать домоуправление. Тут разруха то реально в головах.
Аноним 07/02/17 Втр 16:07:38  270422
>>270394
И сам же на бутылку присядешь, как те, кто дорогу за свои деньги отремонтировал. Начал с себя.
Аноним 07/02/17 Втр 17:46:34  270438
>>270422
мы тут с рождения на бутылку присевшие
Аноним 07/02/17 Втр 19:24:57  270452
>>268348 (OP)
Живу в частном доме, в подвале закопал стальную полосу длиной около метра к ней подключил провод и провод подключил к розетке предварительно отключив в розетке ноль. В эту розетку подключил пеку. В итоге пека может работать круглые сутки и счетчик не крутит. Полгода полет нормальный. Можно снять примерно 500 вт мощности, дальше напряжение падает ниже 180-160 в и большинство приборов отключается. Пробовал увеличить площадь заземляющего устройства, чтобы увеличить мощность, но безрезультатно.
Аноним 07/02/17 Втр 19:40:01  270454
>>270452
Надеюсь хоть протеины в простое майниш. Только тяга к бессмертию цель способно оправдать такое средство воровство.
Аноним 07/02/17 Втр 19:45:53  270456
>>270454
Хотел занятся майнингом(не протеинов), но майнить bitcoin в 2017 с ПК уже нереально хотя в 2012-2013 так оплачивал интернет
Аноним 07/02/17 Втр 19:47:20  270457
>>270454
>ко-ко
>майниш
>куд-кудах
Ь
>>270452
Расскажи нам о своём счетчике, вангую, что подключен неправильно, фаза-ноль поменяй местами и начнет считать.
Аноним 07/02/17 Втр 19:52:27  270458
>>270457
>вангую, что подключен неправильно
Вроде бы как да. Много лет назад электрики приходили проверять, сказали что
>подключен неправильно, фаза-ноль поменяны местами
но никаких указаний на замену или правильную установку не давали.
Счётчик обычный дисковый СО-496
Аноним 07/02/17 Втр 20:02:49  270460
>>270458
Святое дело, гугли "трансформатор обратного тока" вообще будешь назад сматывать.
Аноним 07/02/17 Втр 20:08:31  270462
>>270460
Назад он наверное мой счетчик не сможет мотать, если просто кинуть фазу на землю счетчик пытается мотать назад, но похоже там стоит какой то стопорный механизм. То есть диск отклоняется на небольшой градус в обратную от нормального вращения сторону и останавливается.
Аноним 07/02/17 Втр 20:16:08  270463
>>269678
В крупном городе станций не одна и не две + всякие вайфаи в каждой квартире.
Аноним 08/02/17 Срд 06:11:42  270506
>>269706
Бамп
Аноним 08/02/17 Срд 07:24:37  270507
>>270463
Во всем мире станций еще больше.
Ты не учитываешь то что мощность обратно пропорциональна квадрату расстояния. К тому же эта оценка для направленной антенны, для всенаправленной результат будет в 100 раз меньше, но еще примутся сигналы от других станций.

>>270506
Все правильно изображено, но в такой схеме необходимо согласовывать импедансы.
Аноним 08/02/17 Срд 08:12:01  270509
>>270507
Не знаю что и как согласовывать.
Спрашивалось что там изображено.
Аноним 08/02/17 Срд 09:21:42  270513
>>270509
вся суть мамкиных воров. Ничего знать не хочу, хочу нахалаву хоть что-нибудь
схема моя, про согласование тактично умолчал
Аноним 08/02/17 Срд 10:03:06  270515
>>270351
>по силовым линиям эта информация не передается
Есть такие счётчики Матрица, которые умеют в передачу по силовым проводам.
Аноним 09/02/17 Чтв 10:26:41  270671
>>270513
Знать хочу.
Воровать не собирался.
Аноним 09/02/17 Чтв 10:42:45  270672
antenna on a ch[...].jpg (34Кб, 800x600)
Как же нагуглить плёночные wifi-антенны нормальных размеров? Почему их не могу найти, типа пикрила? Тут нашёл чёто похожее нг это для сканеров кажется http://www.metafas.nl/en/innovation/rfid-antennas/
Аноним 09/02/17 Чтв 16:03:24  270724
>>270672
Ну чё вы не знаете чтоли?
Должна же быть хотя бы гдето печать таких плёнок хотябы на заказ..
Аноним 09/02/17 Чтв 16:08:20  270725
>>270724
погуглить flexible pcb antenna пробовал?
китайцы делают гибкие печатные платы
Аноним 09/02/17 Чтв 16:47:50  270729
>>270725
Чёт мелочь только. В теории можно вырезать из фольги, на какие нужны формы?
Аноним 09/02/17 Чтв 16:55:43  270730
>>270729
>какие нужны формы?
а вот этому вопросу посвящены сотни тысяч профильных книг и статей с зашкаливающими дозами матана. Если тебе под конкретный частотный диапазон - то гугли готовые конструкции, их достаточно много. И вообще, нахуй тебе именно гибкая антенна?
Аноним 09/02/17 Чтв 16:59:56  270734
>>270730
Мне не гибкая нужна а тонкая и плоская, они дешевле всего.
Как гуглить то.. щас попробую
Аноним 09/02/17 Чтв 17:12:21  270736
Нк нагуглил. ( самодельная wifi антенна плоская/из фольги )
>>270734
Аноним 09/02/17 Чтв 17:13:05  270737
*не
Аноним 09/02/17 Чтв 17:16:02  270739
>>270736
а я тебе подскажу, почему ты не нагуглил
потому что ты гуглил на русском языке, а кроме гейпорно с карликами и сериалов так ничего не найдешь
попробуй собачий diy pcb wifi antenna
Аноним 09/02/17 Чтв 17:35:53  270743
16dBi Panel Ant[...].JPG (23Кб, 500x474)
>>270739
Ну вот квадраты какието предлагают, только почему, если выше на плате полоска змейкой.. что лучше интересно.
Аноним 09/02/17 Чтв 17:36:36  270744
Мне бы чтото что можно последовательно соединить.
Аноним 09/02/17 Чтв 17:43:13  270746
Ок я возьму фольгу и на чтото наклею и понесу кудато где есть лазерная вырезка, чтоб вырезать по форме лишнее. Наверно взлетит.
Аноним 09/02/17 Чтв 17:49:07  270748
>>270746
ты прежде чем заниматься хуйней - подумай. И скажи куда и для чего тебе антенна? И почему ты, черт возьми, ее не купишь, раз не соображаешь в этом нихрена?
Аноним 09/02/17 Чтв 17:51:27  270749
>>270748
http://www.carookee.de/forum/broadcasting/13/inside_2_4Ghz_Panel_Antenna.17565369.0.01105.html
вот еще форум господ самодельщиков
Аноним 09/02/17 Чтв 17:57:35  270750
>>270748
Просто ловить вайфаи соседени например.
Покупные дороги, не сравнить с фольгой.
Аноним 09/02/17 Чтв 18:00:57  270753
blob (14Кб, 405x256)
>>270750
ну прямо скажем если 2к для тебя дорого, то делать самодельную плоскую выйдет не дешевле и хуже.
для твоих целей отлично подойдет CANTENNA!11
http://www.wikarekare.org/Antenna/WaveguideCan.html
Аноним 09/02/17 Чтв 18:01:58  270754
>>270753
Цилиндр из фольги?
Аноним 09/02/17 Чтв 18:02:38  270755
>>270753
>фольга не дешевле 2к
М ясен
Аноним 09/02/17 Чтв 18:03:54  270756
>>270749
Чёт непонятная шапка, рефлектор у неё фоном? Зачем? Нало без.
Аноним 09/02/17 Чтв 18:10:21  270757
*надо
Аноним 09/02/17 Чтв 19:54:52  270775
>>270460
Храповик.

>>269804
Смотрел недавно что там между землёй и нулём творится.
Дома между батареей и нулём - 2,5 V p-p, 50 гц. На работке, между нулём и землёй - 100 mV p-p, 66 КГц.

Откуда такая ебенячья частота?
Аноним 09/02/17 Чтв 20:52:39  270785
>>270754
это блять консервная банка, суть антенны - подбор консервной банки под длину волны
>>270755
из фольги можно сделать только шапочку. Антенна на 12-16Дб это порядка 5-8дм.кв. текстолита, корпус-противовес, затраты на травление разъемы и стойки
>>270756
ты наверное удивишься, но антенны нуждаются в противовесе, а направленные еще и в рефлекторе, такие дела...
Аноним 09/02/17 Чтв 22:22:20  270805
>>270775
>между нулём и землёй - 100 mV p-p, 66 КГц.
Маня не знает про импульсные блоки питания?
Наводки, наводочки.
Аноним 10/02/17 Птн 06:38:27  270837
>>270785
Чё за противовес? На плате выше просто зм6йкой полоска, хочу так же.
Аноним 10/02/17 Птн 14:59:01  270880
>>270805
Знаю, а как же. Там кроме светодиодных и люминесцентных светильников с электронным ПРА нихуя нет, я всегда считал что они срут в сеть от сотни килогерц.
Аноним 10/02/17 Птн 16:30:28  270893
>>270282
Поддержка отечественного производителя.
Аноним 10/02/17 Птн 19:35:09  270924
>>270893
Если не обязательное требование. А то вдруг ЗАКЛАДКИ. Боже упаси.
Аноним 10/02/17 Птн 19:42:52  270926
>>270282
Криптографический сопроцессор (КС), выполняющий следующие функции: приём данных от КП для формирования КПК; вычисление значения КПК с использованием алгоритма криптографического преобразования в соответствии с ГОСТ 28147-89 в режиме выработки имитовставки; накопление текущих сменных итогов, ведение счетчиков номеров смен; передача в КП вычисленных значений КПК и накопленных значений сменных итогов.Архив — реализованный на базе флэш-памяти модуль, обеспечивающий долговременное хранение данных активизации, данных о кассовых операциях и сменных итогов. Данные хранятся вместе с КПК, выработанным КС на их основе.

В соответствии с ГОСТ 28147-89ЭКЛЗ должна содержать криптографический ключ, полученный в установленном порядке и сохраняемый в тайне.

Ключевая информация ЭКЛЗ не относится к сведениям, составляющим государственную тайну, и классифицируется как конфиденциальная информация.

ЭКЛЗ должна сохранять конфиденциальность ключевой информации в течение всего срока использования ключа.

ЭКЛЗ при разработке должна пройти криптографические, инженерно-криптографические и специальные исследования (тематические испытания), целью которых является оценка достаточности мер противодействия возможным угрозам безопасности информации, определенным моделью нарушителя, изложенной в техническом задании на разработку такого средства криптографической защиты информации. При положительных результатах экспертизы тематических испытаний ФСБ России выдает разработчику ЭКЛЗ сертификат соответствия.

Ключи для ЭКЛЗ формируются на основе мастер-ключей, выдаваемых ФСБ России для создания ключей ЭКЛЗ.

Аноним 11/02/17 Суб 05:59:26  271033
>>270805
Может, у тебя неподалеку какой-то шизик собрал печку с ВЧ преобразователем и топит её.
Аноним 11/02/17 Суб 16:51:29  271085
>>270880
>от сотни килогерц
Отнюдь, 30-150 кГц, дальше потери на переключение.
Аноним 15/03/17 Срд 23:33:19  275496
Расскажу как я снимал мощность с эфира на отрезок алюминиевого провода длинной 20 см, при этом в доме работали все электрические приборы, как будто от сети.
В общем, антенна отрезок алюминиевого провода должна быть правильной длинны и формы и правильно ориентированной в пространстве. Лучшие результаты получаются с дисковым счетчиком, и старыми добрыми пробками, четыре штуки, по паре на вводе и выходе из счетчика. Если вставить алюминиевую пойдет и медная антенну между парой пробок фазы, или нуля, то бесплатная энергия из эфира наполнит твою проводку, главное не высосать ее всю и не присесть на бутылку во время этого занятия.
>>268676
Тебе поможет трансформатор тока надеюсь ты еще не обуглился. Собираешь магнитопровод, наматываешь обмотку, подбираешь количество витков и регулируешь магнитный зазор до необходимого напряжения, стараешься не сдохнуть. Напряжение будет зависеть от тока в вв кабеле, поэтому может меняться в широких пределах, к твоему трансформатору нужен стабилизатор напряжения.

[Назад][Обновить тред][Вверх][Каталог] [Реквест разбана] [Подписаться на тред] [ ] 166 | 16 | 63
Назад Вверх Каталог Обновить

Топ тредов
Избранное